
국내 생산 지황 ‘토강’ 품종의 품질 특성 및 등급 기준 설정
This is an open access article distributed under the terms of the Creative Commons Attribution Non-Commercial License (http://creativecommons.org/licenses/by-nc/3.0/) which permits unrestricted non-commercial use, distribution, and reproduction in any medium, provided the original work is properly cited.
Abstract
The quality of R. glutinosa can fluctuate based on factors such as cultivation region and harvest timing. This may result in differences in product quality. Therefore, in this study, we aimed to evaluate the quality of fresh R. glutinosa produced in Korea and to establish criteria for establishing standards applicable to the agricultural supply chain.
R. glutinosa ‘Togang’ samples harvested from major production areas were analyzed for rhizome diameter distribution, drying yield, juicing yield, catalpol content, and antioxidant activity. The rhizomes were classified into five categories according to their diameters, and their production ratios were evaluated. The distributions were as follows: 11–15 ㎜, 5–10 ㎜, 16– 20 ㎜, over 20 ㎜ and ≤ 5 ㎜. While there were no significant differences in drying and juicing yields by diameter, the catalpol content was the highest in the 11–15 ? category. The antioxidant content was higher in thin rhizomes with 2,2-azino-bis (3-ethylbenzothiazoline-6-sulfonic acid and 2,2-diphenyl-1-picrylhydrazyl radical scavenging activitites following a similar pattern.
In this study, we successfully established a quality evaluation and grading system based on the rhizome diameter. The finding can enable farmers and industry professionals to efficiently produce, process, and distribute R. glutinosa, thereby enhancing its industrial applicability and increasing market competitiveness.
Keywords:
Rehmannia glutinosa, Quality Characteristics, Criteria, Standards서 언
지황 [Rehmannia glutinosa (Gaertn.) Libosch. ex Steud.]은 한국 전통 의학에서 오랜 역사를 가진 중요한 약용작물로 다양한 질병의 치료와 건강 증진을 위해 사용되어왔다. 특히, 지황은 면역력 강화, 혈액 순환 개선, 간 보호, 당뇨 치료 등 다양한 효능으로 널리 알려져 있으며, 이러한 효능은 지황 주요 성분인 catalpol과 polyphenol, flavonoid, iridoid glycoside, aucubin 등 다양한 2차 대사 산물에 의해 결정된다 (Lee et al., 2017; Chung et al., 2021). 그러나 지황의 품질은 생산물의 상태, 재배 지역, 재배 방식, 수확 시기, 가공 방법 등 여러 요인에 의해 크게 영향을 받을 수 있으며, 이러한 변동성은 최종 제품에 큰 영향을 미칠 수 있다.
품질의 차이는 이용자에게 일관된 품질의 제품을 제공하는 데 어려움을 초래할 수 있기 때문에 여러 작물 분야에서 품질관리를 위한 품질 평가를 실시하고 기준을 마련하여 소비자에 제공하기 위한 연구가 필요하다.
과수의 경우 사과, 감귤, 배 등 과일류 품질 평가 및 등급 규격화 연구가 이루어져 있고 (Koh and Hyun, 2011), 채소는 고추 capsaicin 함량과 색상이 중요한 품질 지표에 사용될 수 있음이 연구된 바 있다 (Hwang et al., 2011).
약용작물인 인삼의 경우 재배 환경, 수확 시기, 가공 방법 등에 따라 품질의 차이가 있어, 이를 표준화하기 위해 다양한 품질관리 방안이 연구되고 있어 품질관리가 농산물의 시장 경쟁력을 결정하는 중요한 요소임을 시사한다 (Lee et al., 2012; Jeong et al., 2016; Nam et al., 2018).
그러나 국내에서 생산되는 지황에 대한 품질 평가 및 기준 설정에 대한 연구는 상대적으로 부족한 상황이다. 기존의 연구들은 주로 지황의 재배 방법이나 1차 가공 등의 품질 연구에 집중되어 있으며 (Kim et al., 2020; Kown et al., 2023), 이는 지황의 생산물의 품질을 안정적으로 유지하고, 경쟁력을 강화하는데 있어 장애요인이 될 수 있다.
약용작물의 유통경로는 생산물에서 제조업자까지의 농산물 유통 경로와 원료를 가공한 의약품 유통 경로로 나누어져 있으며, 다양하고 복잡하다 (Lee, 1993; Jang and Lee, 1999). 지황의 경우도 이와 같이 농가에서 생산된 지황은 제조업자와 직접 계약재배를 통해 수매하거나, 수집상 또는 도 · 소매 상인을 통해 거래된다. 객관적 품질 등급 없이 수매자의 관능 평가나 제조업체의 등급 기준을 적용하다 보니, 농가에서 생산물의 정확한 등급과 수매가격을 예측하기가 어렵다. 또한 지황을 구매하는 중간 유통업자나 제조업체의 경우에도 지황의 품질이 일관되지 않아 이에 대한 품질관리 비용과 노력이 추가적으로 발생하고 있다.
따라서 본 연구에서는 국내 생산 지황의 품질을 평가하고 결과를 바탕으로 농산물 단계의 유통 현장에서 이를 적용하기 위한 지황 품질 등급 기준을 설정하고자 하였다.
재료 및 방법
1. 시험 재료
본 연구의 시험 재료는 국내에서 가장 많이 재배되고 있는 지황 품종 ‘토강’ (Rehmanni glutinosa ‘Tognag’)을 대상으로 수행하였다. 국내 주요 생산지인 충북 음성 (3 농가), 충남 금산 (3농가), 전북 정읍 (1농가), 경북 영주 (3농가) 총 4 지역의 10 농가에서 생산한 지황을 이용하였다.
지황 정식은 2020년 4월 27일경 실시하였고, 10월 20일경 수확하였다. 시료는 각 재배 포장에서 5 ㎡ 씩 3 반복 수확하였으며, 품종육성기관인 국립원예특작과학원 약용작물과로부터 ‘토강’ 품종 진위를 확인하였다.
2. 굵기 분포
지황 수확물의 굵기 분포 특성을 조사하기 위하여, 수확물을 지황의 굵기에 따라 5 단계 (5 ㎜ 미만, 5 ㎜ - 10 ㎜, 11 ㎜ - 15 ㎜, 16 ㎜ - 20 ㎜, 20 ㎜ 초과)로 구분하고 분포 비율을 조사하였다.
3. 건조 수율 및 착즙률
건조 수율은 농업용 열풍 건조기 (UDS-2511F, KyungDong Navien Co., Ansan, Korea)로 55℃에서 1주일 이상 완전히 건조하여 1 반복 당 1 ㎏씩 3 반복 건조중량을 측정하였고, 착즙률은 압착 방식의 가정용 착즙기 (H300L, Hurom L.S Co., Ltd., Kimhae, Korea)를 사용하여 1 반복 당 500 g 씩 3 반복 착즙하여 조사하였다 (Han et al., 2024).
4. Catalpol 함량 분석
동결건조된 지황 분말 0.2 g을 무게를 달아 50% 메탄올 10 ㎖과 혼합하고 5 분간 voltexing한 후 50℃에서 초음파 추출기 (LK-U105, Sungdong Ultrasonic Co, Ltd, Seoul, Korea)를 이용하여 2 시간 추출하였다. 추출된 시료는 원심분리기 (Fleta 5, Hanil Scientific Industrial Co, Ltd, Kimpo, Korea)를 사용하여 12,000 rpm에서 10 분간 원심분리 후 추출물의 상등액을 0.2 ㎛의 nylon membrane filter (Whatman, Clifton, NJ, USA)로 여과하였다. 분석 전 알코올의 농도가 10% 이하가 되도록 water로 희석 후 기기에 주입하였다.
Catalpol의 분리 및 정량 분석은 high performance liquid chromatography (HPLC, Osaka soda, Osaka, Japan)를 사용하였다. Column은 Capcell Pak C18 UG120 (460 ㎜ × 4.6 ㎜, 5 ㎛, Shiseido Co., Ltd., Tokyo, Japan)을 사용하였으며 UV detecter을 이용하여 파장을 206 ㎚에 고정하여 검출하였다. 컬럼 온도는 30℃, 유속은 0.8 ㎖/min, 주입량은 10 ㎕ 조건으로 분석하였고 HPLC 이동상은 2% acetonitrile을 사용하였으며 분석 시간은 15 분이었다. Catalpol 표준품은 Sigma-Aldrich (St. Louis, MO, USA) 제품을 구매했으며 1000, 500, 250, 125, 62.5, 31.25, 15.625 ㎍/㎖의 농도로 희석하여 사용하였다..
5. 항산화 성분 및 활성
지황 추출물은 동결건조한 지황을 분쇄하여 지황 10 g에 100% 에탄올 (EtOH) 250 ㎖을 넣어 교반기 (JSSI-070T, JSR, Gongju, Korea)에 200 rpm, 20℃로 overnight을 실시한 후 추출하였다. 에탄올 추출물은 감압농축기 (Rotavapor R-300, Buchi Labortechninik AG, Flawil, Switzerland)를 통해 40℃에서 용매를 완전히 휘발한 후 농축된 잔사는 DMSO (dimethylsulfoxide)에 용해하여 200 ㎎/㎖의 농도로 조제하였으며, 각 실험에 필요한 농도로 희석하여 사용하였다.
총페놀함량 검정은 Folin-Ciocalteu’s phenol reagent가 추출물의 폴리페놀 화합물에 의해 환원되어 몰리브덴 청색으로 발색하는 것을 원리로 하여 측정하였다 (Folin and Denis 1912).
각 추출물 (2 ㎎/㎖) 100 ㎕에 2% Na2CO3 용액 2 ㎖를 5 분 동안 반응시킨 후 50% Folin-Ciocalteu’s reagent 100 ㎕를 첨가하였으며 5분 반응 후 750 ㎚에서 흡광도를 측정하였다.
표준물질로 gallic acid를 이용하여 표준 곡선을 작성한 후 총 폴리페놀 함량 (gallic acid equivalent, GAE · ㎎/100g)을 계산하여 나타내었다.
추출물 (2 ㎎/㎖) 250 ㎕에 증류수 1.25 ㎕을 가하고 5% sodium nitrite 용액 75 ㎕를 가하였다. 6 분간 방치 후 10% aluminium chloride 용액을 150 ㎕를 가하였다. 5 분 방치 후 1M sodium hydroxide 500 ㎕를 가한 후 흡광도 값을 510 ㎚에서 측정하였다.
표준물질로는 (+)-catechin을 사용하여 표준 곡선을 작성한 후 총 플라보노이드 함량 (equivalent, CE · ㎎/100g)를 계산하여 나타내었다.
0.2 mM 2,2-diphenyl-1-picrylhydrazyl (DPPH) 용액 1 ㎖에 추출물 (2 ㎎/㎖) 50 ㎕를 가하였고 표준물질로 Trolox를 같은 양을 첨가하였다. 흡광도의 변화는 정확히 30 분 후 520 ㎚에서 측정하였다.
Trolox를 이용하여 표준 곡선을 작성한 후 시료의 항산화력 (trolox equivalent antioxidant capacity, TEAC)을 계산하였으며 TEAC · ㎎ /100g sample로 나타내었다.
7.4 mM의 2,2-azino-bis (3-ethylbenzothiazoline-6-sulfonic acid (ABTS)와 potassium persulfate 2.6 mM을 하루 동안 암소에 방치하여 ABTS 양이온을 형성시킨 후, 이 용액을 735 ㎚에서 흡광도 값이 1.0 이 되도록 증류수로 희석하였다. 희석된 ABTS 용액 1 ㎖에 추출물 (5 ㎎/㎖) 50 ㎕를 가하였고, 표준 물질로 같은 양의 trolox를 첨가하였으며 흡광도의 변화를 정확히 60 분 후에 측정하였다.
Trolox를 이용하여 표준 곡선을 작성한 후 시료의 항산화력 (trolox equivalent antioxidant capacity, TEAC)을 계산하였으며 TEAC · ㎎/100 g sample로 나타내었다.
실험결과는 SAS Enterprise Guide 4.2 (Statistical Analysis System, 2009, Cray, NC, USA)로 분석하였고, 결과값을 평균치 ± 표준편차 (means ± standard deviation)로 나타내었다. 시료 간의 유의적인 차이는 Duncan’s Multiple Range Test (DMRT)로 유의수준 5%에서 검증하였다 (p < 0.05).
결과 및 고찰
1. 굵기 분포 특성
지황의 주요 산지의 생산물에 대한 품질 분포를 확인하기 위하여 굵기에 따라 5 단계로 구분하고 생산 비율을 조사하였다. 그 결과 5 ㎜ 이 하가 9.88 ± 4.61%, 5 ㎜ - 10 ㎜가 24.16 ± 2.31%, 11 ㎜ - 15 ㎜가 31.44 ± 4.56%, 16 ㎜ - 20 ㎜가 22.03 ± 1.52, 20 ㎜ 이상이 12.49 ± 2.9%의 비율로 분포하였다 (Table 1). 이 중 가장 많은 비율을 차지한 굵기는 11 ㎜ - 15 ㎜ 였으며, 통계적으로 다른 굵기와 유의한 차이를 보였다.
일반적으로 지황 재배 농가가 생산물을 수매할 때 상품성에 따라 상품 (上品), 중품 (中品), 하품 (下品)으로 등급을 구분하는데 관례적으로 상품 (上品)의 굵기는 보통 15 ㎜ 이상, 중품 (中品)의 경우 12 ㎜ 내외, 하품 (下品)은 10 ㎜ 이하이다. 보통 상품 (上品)과 중품 (中品)은 등급에 따라 가격의 차이는 있으나 판매가 가능한 굵기로 전체의 약 65.96%를 차지했고, 판매가 어려운 하품 (上品)은 34.04%였다.
재배 농가의 소득에 직접적으로 영향을 미칠 수 있는 생산물의 굵기 분포 비율은 품종, 수확시기에 따라 차이가 큰 특성이다 (Han et al., 2024). 따라서 이번 연구 결과는 농업인이 지황 재배 시 품종을 선택하거나, 연구자가 지황 품종을 개발할 경우 지하경의 굵기에 대한 목표 설정에 도움을 줄 수 있다.
2. 건조 수율 및 착즙량
건조 수율은 5 ㎜ 이하가 18.40 ± 1.64%로 가장 적은 수치였고, 5 ㎜ - 10 ㎜가 19.13 ± 1.46%, 11 ㎜ - 15 ㎜가 19.69 ± 1.30%, 16 ㎜ - 20 ㎜가 20.24 ± 1.05% 였으며, 20 ㎜ 이상이 20.85 ± 1.03%으로 가장 큰 비율을 보였다. (Table 3). 그러나 20 ㎜ 이상과 5 ㎜ 이하의 굵기에서만 서로 통계적으로 유의하였을 뿐, 나머지는 통계적 차이가 없어 굵기에 따른 건조 수율의 차이는 크지 않은 것으로 볼 수 있었다.
또한 기존에 지황 품종 및 육성 계통을 대상 연구한 건조 수율은 19.13% - 25.4%로, 수확시기의 조건, 건조 방법 등의 차이를 고려한다면 비슷한 수준의 결과라 할 수 있다 (Oh et al., 2012; Han et al., 2024). 결과적으로 지황 굵기별 건조 수율은 시장에 유통이 잘 되지 않는 굵기 5 ㎜ 이하에서만 건조 수율이 낮은 것으로 확인되었다.
건지황 제조 시 건조 수율은 굵기의 영향이 크지 않은 것으로 볼 수 있으나 약용작물은 건조 온도와 시간에 따라 catapol 함량, 항산화 성분, 항산화 활성의 효과에 차이가 발생할 수 있기 때문에 (Lee et al., 2008; Kim et al., 2020), 굵기에 따른 건조 온도와 시간에 따른 효율 및 성분함량 변화 등의 산업적 이용을 위한 추가 연구가 필요하다고 하겠다.
착즙률은 가장 많은 굵기가 5 ㎜ 이하로 54.27 ± 0.69% 였으며, 그 뒤로 11 ㎜ - 15 ㎜가 53.73 ± 0.80 %, 5 ㎜ - 10 ㎜가 53.42 ± 0.60%, 16 ㎜ - 20 ㎜가 53.41 ± 0.21였으며, 가장 많은 적은 굵기는 20 ㎜ 이상으로 52.19 ± 1.16였다. 착즙률에서도 건조 수율과 마찬가지로 5 ㎜ 이하와 20 ㎜ 이상에서 통계적으로 유의하였으나 나머지에서는 차이가 없었다 (Table 2).
지황은 보통 경옥고 제조용으로 생지황을 착즙하여 사용하거나, 건조한 건지황 또는 여러 번 찌고 말리는 과정을 거쳐 숙지황의 형태로 이용한다 (MFDS, 2024). 따라서 지황의 착즙률과 건조 수율은 지황의 가공 공정에 많은 영향을 줄 수 있는 주요 요인이며 특히, 지황 수확시기의 토양 수분함량에 따라 생육 차이가 발생할 수 있고 (Kown et al., 2023), 수확물의 착즙률과 건조수율에 차이를 나타낼 수 있다.
본 연구 결과는 산업현장에서 목적에 따라 지황의 원료를 선택하고, 재배 농가에는 용도에 따라 지황 생산물을 분류하여 판매처에 공급할 수 있는 중요한 자료로 활용될 것이다. 또한 가공 효율을 최대화 하기 위해 수확 시기 환경에 따른 품질의 차이 등의 추가적인 연구가 필요하다고 할 수 있다.
3. Catalpol 함량
Catalpol 함량 분석 결과 지황 지하경의 굵기와 catalpol 함량 사이에는 명확하게 차이가 있음이 나타났다. 굵기 11 ㎜ - 15 ㎜는 32.10 ± 0.59 ㎎/g로 가장 높았으며, 5 ㎜ - 10 ㎜가 23.93 ± 0.40 ㎎/g, 5 ㎜ 이하가 20.37 ± 0.16 ㎎/g로 굵기가 가늘어 질수록 통계적으로 유의하게 감소하였으며, 16 ㎜ - 20 ㎜와 20 ㎜ 이상에서는 카탈폴 함량이 약간 감소하여 각각 29.32 ± 0.19 ㎎/g, 28.77 ± 0.76 ㎎/g로 나타났다 (Table 3).
Huang 등 (2022)은 지황 지하경의 굵기에 따른 catalpol 함량 분포 연구에서 15 ㎜를 기준으로 차이가 발생하는 것으로 보고한 바 있다. 이번 연구 결과는 기존 결과와 유사하였으며, 너무 굵은 굵기에서는 오히려 함량이 감소할 수 있음을 알 수 있었다.
또한 국내에서 생산되는 지황의 catalpol 함량 품질에 대한 기준은 설정되어있지 않으나 중국의 기준인 0.2% (2㎎/g) 보다 매우 높아 지황을 이용하는데 굵기에 따른 품질 차이에는 문제가 없었다 (Tong et al., 2014).
식물은 이차대사산물을 종류에 따라 다양한 세포에 저장하며, 일반적으로 수용성 이차대사산물은 액포에 저장한다 (Al-Khayri et al., 2023). 지황 지하경의 해부학적 구조는 일반적인 쌍자엽식물과 유사하고, 주로 주피 (periderm)와 관다발 조직 (vascular bundle)으로 구성되어 있으며 지하경이 굵어지는 과정에서 많은 유세포들이 형성된다 (Xue et al., 2004).
따라서 수용성인 catalpol 함량은 비교적 액포가 많은 유세포에 주로 저장되고, 지황의 지하경 굵기 형성에 유세포가 크게 작용하는 점을 미루어 볼 때, 굵은 지하경의 catalpol 함량이 높은 경향을 보일 수 있다. 다만 지하경의 길이가 보통 25 ㎝ - 30 ㎝로 길고 전체적 형태가 윗부분의 가는 부분에서 시작해 아랫부분으로 갈수록 굵어지는 긴방추형의 형태를 이루기 때문에 일정 수준 굵기부터는 catalpol 함량에 변화에 큰 차이가 없게 되는 점을 확인하였다.
현재까지 지황은 총 13 품종이 개발되어 있다. 이 중 품종보호등록 품종은 총 10품종이며 (Kim et al., 2023), 지황 재배 농가와 산업체는 각각의 목적에 맞는 품종을 선택하고 이용할 수 있다. 그러나 일부 품종 및 계통에 관한 성분 함량 등의 연구만 제한적으로 수행되었다. 따라서 향후 모든 품종별 유효성분 함량 등 추가적인 연구를 통하여 재배자, 산업체 등이 목적에 따라 품종을 선택할 수 있도록 정보를 제공할 필요가 있다.
4. 항산화 성분 및 활성
지하경의 굵기에 따라 총 폴리페놀과 플라보노이드의 함량 차이는 뚜렷하게 나타났다.
총 폴리페놀 함량은 5 ㎜ - 10 ㎜일 때 63.39 ± 1.36 GAE · ㎎/100g로 가장 높게 나타났고, 5 ㎜ 이하에서 61.07 ± 0.40 GA · ㎎/100 g로 두 번째로 높았다. 그 다음으로 11 ㎜ - 15 ㎜가 39.51 ± 1.49 GAE · ㎎/100 g, 20 ㎜ 이상이 35.84 ± 1.04 GAE · ㎎/100 g, 16 ㎜ - 20 ㎜가 30.9 ± 0.79 GAE · ㎎/100 g로 비교적 가는 굵기에서 함량이 높고 굵은 굵기에서 낮은 경향이었다 (Fig. 1A).
Antioxidant compounds contents of R. glutinosa rhizome by diameter.(A); total polyphenols, (B); total flavonoids. Values represent means ± standard deviation (n = 3). Means with difference letters are significantly different at 5% by Duncan’s Multiple Range Test (DMRT, *p < 0.05).
총 플라보노이드 함량의 경우에도 비슷한 결과였는데, 5 ㎜ 이하와 5 ㎜ - 10 ㎜가 각각 53.76 ± 0.69 CE · ㎎/100 g, 52.88 ± 0.96 CE · ㎎/100 g로 가장 높게 나타났으며, 11 ㎜ - 15 ㎜가 32.98 ± 0.87 CE · ㎎/100 g로 그 다음으로 높았다. 가장 낮은 굵기는 20 ㎜ 이상과 16 ㎜ - 20 ㎜으로 각각 26.51 ± 0.42 CE · ㎎/100 g, 25.36 ± 0.53 CE · ㎎/100 g의 함량이었다 (Fig. 1B.).
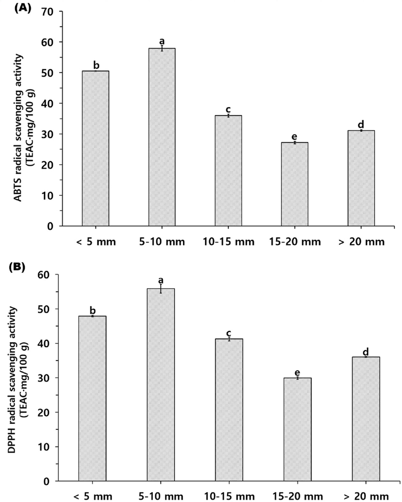
ABTS 라디칼 소거능은 지하경의 굵기가 5 ㎜ – 10 ㎜일 때 57.94 ± 0.93 TEAC · ㎎/100g으로 가장 높았다. 이어서 5 ㎜ 이하에서 50.55 ± 0.06 TEAC · ㎎/100g, 11 ㎜ - 15 ㎜가 36.00 ± 0.50 TEAC · ㎎/100g, 20 ㎜ 이상이 31.10 ± 0.25 TEAC · ㎎/100g, 16 ㎜ – 20 ㎜가 27.18 ± 0.38 TEAC · ㎎/100g이었다. (Fig. 2A).
Antioxidant activity of R. glutinosa rhizome by diameter.(A); ABTS radical scavenging, (B); DPPH radical scavenging. Values represent means ± standard deviation (n = 3). Means with difference letters are significantly different at 5% by Duncan’s Multiple Range Test (DMRT, *p < 0.05).
DPPH 라디칼 소거능의 경우에도 같은 결과였는데, 5 ㎜ - 10 ㎜일 때 55.89 ± 1.27 TEAC · ㎎/100g으로 가장 높았다. 5 ㎜ 이하가 47.94 ± 0.21 TEAC · ㎎/100g, 11 ㎜ - 15 ㎜가 41.26 ± 0.53 TEAC · ㎎/100g, 20 ㎜ 이상이 36.06 ± 0.13 TEAC · ㎎/100g, 16 ㎜ - 20 ㎜가 29.93 ± 0.34 TEAC · ㎎/100g이었다 (Fig. 2B).
페놀화합물은 식물의 여러 부위에서 합성되는 2차 대사 물질로 식물에 중요한 생리적 작용을 한다. 식물은 가뭄, 염분 고온 등 비생물적 스트레스 환경에 노출되었을 때, 플라보노이드 같은 폴리페놀 성분의 합성을 증가시켜 불량한 환경에 대응한다 (Han et al., 2013; Sharma et al., 2019).
본 연구 결과에서는 catalpol 성분과 달리 굵기가 비교적 가는 지하경에서 높은 함량을 보였는데, 이는 지황의 생육 중 가뭄등의 요인에 의해 생육이 좋지 않은 개체의 지하경에 많은 폴리페놀과 플라보노이드 성분이 축적 되어 기인하였음을 알 수 있다. 또한 ABTS와 DPPH의 라디칼 소거능이 가장 높은 굵기는 총 폴리페놀과 총 플라보노이드 함량이 가장 높기 때문인 것으로 볼 수 있다.
결과적으로 지황의 지하경은 비교적 가는 굵기에서 항산화 성분을 가장 잘 축적하고 최대의 항산화 효과를 보일 수 있음을 나타낸다고 하겠다. 이러한 결과는 지황의 항산화 효과를 활용하기 위한 제품 생산 시 고품질 원료 선택에 있어 중요한 기준 역할을 할 수 있을 것으로 생각된다.
5. 품질등급기준 설정
현재 국내에서는 지황 품종이 다양하게 재배되고 있으며 품종에 따른 특성에 따라 품질의 차이가 발생할 우려가 있다. 따라서 지황의 등급 규격은 굵기, 건조 수율, 착즙률 등 연구 결과를 바탕으로 설정하였으며, 품종에 따른 등급의 편차를 최소화하기 위하여 길이는 등급에 고려하지 않았다. 또한 굵기에 따른 크기를 기준으로 생산물의 고르기, 굵기, 결점 등을 종합하여 특 (premium grade), 상 (superior grade), 보통 (normal grade)으로 구분하여 품질등급 기준을 작성하였다.
굵기에 따른 크기를 level 2 (2L), level 1 (L), medium level (M), 등급 외로 구분하여 크기 구분표를 작성하였으며, 2L은 20 ㎜ 이상, L은 15 ㎜ 이상에서 20 ㎜ 미만, M은 10 ㎜ 이상에서 15 ㎜ 미만, 등급외는 10 ㎜ 이하로 하였다 (Table 4).
결점은 작게 조각나 상품성이 없는 것, 표면손상이 30% 이상으로 유통이나 저장 등의 문제가 우려되는 것, 부패하여 상품으로 이용할 수 없는 것으로 하였다 (Fig. 3).
Defective type of R. glutinosa rhizome.(A); fragmented or broken, (B); surface damage over 30%, and (C); decayed. Scale bar indicated 1 ㎝.
특 등급은 크기 구분표에서 정한 굵기가 다른 것이 5% 이하인 것으로, 굵기 구분표에서 2L, L, M인 것, 표면에 흙 등의 이물질 제거 정도가 뛰어난 것, 결점과가 없고 등급 외 굵기가 1% 이하인 것으로 설정하였다 (Fig. 4A).
Quality standard grade of R. glutinosa rhizome.(A); premium grade, (B); superior grade, and (C); normal grade. Scale bar indicated 5㎝.
상 등급은 크기 구분표에서 정한 굵기가 다른 것이 10% 이하인 것, 굵기 구분표에서 2L, L, M인 것, 표면에 흙 등의 이물질 제거 정도가 뛰어나 것, 결점과가 없고 등급 외 굵기가 1% 이하인 것으로 설정하였다 (Fig. 4B).
보통 등급은 낱개의 고르기가 특 · 상에 미달하는 것, 굵기 구분표에서 2L, L, M인 것, 표면에 흙 등의 이물질 제거 정도가 뛰어나 것, 결점과가 없고 등급 외 굵기가 5% 이하인 것으로 설정하였다 (Fig. 4C).
본 연구 결과를 통해 제시되는 지황의 품질 등급 기준은 농업인에게 생산물을 균일한 품질로 구분하여 상품성을 향상시킬 수 있으며, 산업체는 규격화된 지황을 수매하여 별도의 선별 등 후 처리 없이 균일한 품질의 원료를 이용하여 비용을 절감할 수 있을 뿐 아니라, 정확한 정보 표시를 통한 지황의 공정거래 환경을 조성하는데 기여할 수 있을 것으로 생각된다.
References
-
Al-Khayri JM, Rashmi R, Toppo V, Chole PB, Banadka A, Sudheer WN, Nagella P, Shehata WF, Al-Mssallem MQ, Alessa FM, Almaghasla MI and Rezk AA. (2023). Plant secondary metabolites: The weapons for biotic stress management. metabolites. 13:1-37. https://www.mdpi.com/2218-1989/13/6/716, (cited by 2024 september 23).
[https://doi.org/10.3390/metabo13060716]
- Chung Y, Kim TY and Kang Y. (2021). New insight of perspective requirements in standardization and modernization for prepared Rehmannia root(Rehmannia glutinosa Liboschitz ex Steudel). Korean Herbal Medicine Informatics. 9:9-28
-
Folin O and Denis WO (1912). On phosphotungstic-phosphomolybdic compounds as color reagents. Journal of Biolologycal Chemistry, 12:239-249.
[https://doi.org/10.1016/S0021-9258(18)88697-5]
-
Han JW, Hur M, Jeong JT, Lee JH, Yoon YH, Ma KH, Park WT and Kim YG. (2024). Breeding of the new variety Rehmannia glutinosa ‘Hanbangae’ for mechanical harvesting. Korean Journal of Medicinal Crop Science. 32:279-284.
[https://doi.org/10.7783/KJMCS.2024.32.5.279]
-
Han YL, Lee SY, Lee JH and Lee SJ. (2013). Cellular flavonoid transport mechanisms in animal and plant cells. Korean Journal of Food Science and Technology. 45:137-141.
[https://doi.org/10.9721/KJFST.2013.45.2.137]
-
Huang YT, Ando H, Tsujino M, Yoshihara K, Zhang L and Sasaki Y. (2022). Study on catalpol content in Rehmannia glutinosa root, an important ingredient in Kampo prescriptions. Biological and Pharmaceutical Bulletin. 45: 955-961.
[https://doi.org/10.1248/bpb.b21-01095]
-
Hwang IK, Kim HY, Lee J, K HR, Cho MC, Ko IB and Yoo SM. (2011). Quality characteristics of Cheongyang pepper(Capsicum annuum L.) according to cultivation region. Journal of the Korea Society of Food Science and Nutrition. 40:1340-1346.
[https://doi.org/10.3746/jkfn.2011.40.9.1340]
- Jang CS and Lee JW. (1999). Production and marketing analysis of medicinal plants. Korean Journal of Forest Economics. 7:76-91.
-
Jeong SJ, Ko KW, Kang JY, Jang SW and Lee S. (2016). A Study on a ginseng grade decision making algorithm using a pattern recognition method. KIPS Transactions on Software and Data Engineering. 5:327-332.
[https://doi.org/10.3745/KTSDE.2016.5.7.327]
- Kim YB, Chang KJ, Park CH and Park SU. (2023). The study for the production of Rehmannia glutinosa and the import movement and the improving methods of distribution. Journal of Practical Agriculture and Fisheries Research. 25:5-11.
-
Kim YJ, Ma KH, Han JW, Lee SH, Chang JK and Han SH. (2020). Quality characteristics of Rehmannia glutinosa dried at different drying temperature. Korean Journal of Food Preservation. 27:17-24.
[https://doi.org/10.11002/kjfp.2020.27.1.17]
-
Koh SB and Hyun CS. (2011). Setting the Korean mandarine quality standards based on consumer preference survey. Journal of the Korea Academia-Industrial Cooperation Society. 12: 2430-3438.
[https://doi.org/10.5762/KAIS.2011.12.8.3430]
-
Kown AR, Kim SI, Seong BJ and Guak S. (2023). Effect of rhizome residues and soil fumigation on growth, root rot, and yield of Rehmannia glutinosa ‘Togang’ in successive cropping. Korean Journal of Medicinal Crop Science. 31:235-246.
[https://doi.org/10.7783/KJMCS.2023.31.4.235]
- Lee JI. (1993). Import and export status of medicinal crops and their future countermeasures in Korea. Korean Journal of Medicinal Crop Science. 1:191-201.
- Lee KS, Kim GH, Lim HH, Seong BJ, Lee HC and Lee YG. (2008). Physicochemical characteristics on main and fine root of ginseng dried by various temperature with far-infrared drier. Korean Journal of Medicinal Crop Science. 16:211-217.
-
Lee SH, Yoon JS, Kim JK, Park CG, Kim SC, Jung CS, Chang JK and Kim YB. (2017). Aucubin, catalpol, and GABA contents in different plant parts of Rehmannia glutinosa cultivars. Korean Journal of Medicinal Crop Science. 25:16-21.
[https://doi.org/10.7783/KJMCS.2017.25.1.16]
-
Lee SW, Park JM, Kim GS, Park KC, Jang IB, Lee SH, Kang SW and Cha SW. (2012). Comparison of growth characteristics and ginsenosides content of 6-year-old ginseng(Panax ginseng C. A. Meyer) by drainage class in paddy field. Korean Journal of Medicinal Crop Science. 20:177-183.
[https://doi.org/10.7783/KJMCS.2012.20.3.177]
- Ministry of Food and Drug Safety(MFDS). (2024). The Korean pharmacopoeia. Ministry of Food and Drug Safety. Cheongju, Korea. p.1669-1700.
-
Nam KY, Hwang GB, Lee DY, Han JS, Noh HJ, Kim DH and Kim GS. (2018). Variation in content of marker compounds and quality of processed white ginseng of different cultivation ages from different region. Korean Journal of Medicinal Crop Science. 26:408-416.
[https://doi.org/10.7783/KJMCS.2018.26.5.408]
- Oh HL, Kim NY, Lee KJ, Yang KH, Doh ES, Song MR, Park JY and Kim MR. (2012). Proximate, mineral and sugar composition of Rehmannia glutinosa by cultivars. Journal of the East Asian Society Dietary Life. 22: 365-370.
-
Sharma A, Shahzad B, Rehman A, Bhardwaj R, Landi M and Zheng B. (2019). Response of phenylpropanoid pathway and the role of polyphenols in plants under abiotic Stress. Molecules. 24:2452. https://www.mdpi.com/1420-3049/24/13/2452, (cited by 2024 September 23).
[https://doi.org/10.3390/molecules24132452]
-
Tong S, Chen L, Zhang Q, Liu J, Yan J and Ito Y. (2014). Separation of catalpol from Rehmannia glutinosa Libosch. by high-Speed countercurrent chromatograph. Journal of Chromatographic Science. 53:725-729.
[https://doi.org/10.1093/chromsci/bmu114]
- Xue JP, Zhang AM, Liu J and Xu XF. (2004). Morphogenesis in formative process of tuberous root in vitro from Rehmannia glutinosa. China Journal of Chinese Materia Medica. 29:31-34.
