
파종 시기에 따른 잇꽃의 생장 특성과 건물생산성
; Tae Jin An2
; Yong Il Kim3
; Jeong Hoon Lee4
; Eun Ji Choi5 ; Young Guk Kim6
; Jae Ki Chang7
This is an open access article distributed under the terms of the Creative Commons Attribution Non-Commercial License (http://creativecommons.org/licenses/by-nc/3.0/) which permits unrestricted non-commercial use, distribution, and reproduction in any medium, provided the original work is properly cited.
Abstract
Safflower (Carthamus tinctorius L.) is a useful medicinal crop in Korea. The optimal sowing time in the central region is mid-March. This study was conducted to determine the growth characteristics according to the sowing period and number of days after sowing. This basic data would be useful in cultivating safflower.
Starting in mid-March, plants were sown 10 times at 15-day intervals. Thirty plants were harvested from day 30. The dry weight and leaf area were measured. The seed yield was surveyed at the time of the final harvest. Maximum relative growth rate (RGR) and net assimilation rate (NAR) were observed in the early growth phase. Among the growth analysis characteristics, the crop growth rate (CGR) of individual plants and leaf area index (LAI) of canopy were highest during the flowering period. The seed yield was highest in the fourth sowing treatment phase (April-16th). The seed germination rate was high in the first and second sowing treatments phase (March-16th and April-1st) due to seed decay during the rainy season.
Considering the rate of seed decay and germination, it is important to sow as early as possible in the first sowing treatment phase (March-1st) and harvest before the rainy season.
Keywords:
Carthamus tinctorius L., Crop Growth Rate, Growth Analysis, Seed Germination, Seed Yield서 언
잇꽃 (Carthamus tinctorius L.)은 국화과 (Compositae)에 속하는 일년생 혹은 월년생 초본으로 붉은색 꽃과 풍부한 종자유로 고대 시대부터 재배해 온 작물이며 (Mokhtari et al., 2013), 우리나라에서는 골 형성 촉진과 골다공증 및 류머티즘치료를 위해 사용하였다 (Koyama et al., 2006).
홍화 (紅花)는 잇꽃의 관상화로 대한민국약전에 수록되어 어혈을 제거하고 통증을 멈추는 데에 처방되고 있고 (MFDS, 2020), 홍화자 (紅花子)는 잇꽃의 종자(열매)로 대한민국약전외한약 (생약)규격집에 수록되어 약재로 사용하며 홍화자 기름에는 혈액순환, 해독 및 항콜레스테롤 작용이 있다고 알려져 있으며, 동맥경화 및 화장품 원료로서 항산화 효과 등도 밝혀졌다 (Cox et al., 1995; Zhang et al., 1996; Espin et al., 2000; Prescha et al., 2014).
국내에서 잇꽃의 재배 역사는 오래되었으나 재배면적은 주로 경북, 전남 지역에 국한되어 있으며 재배면적이 크지 않다. 그러나 최근 잇꽃의 생산량 및 재배 면적은 상승세를 보이는데 '13년 115 ton (42 ㏊)이 생산되었으며 '16년에는 175 ton (67 ㏊)이 생산되었고, '19년에는 209 ton (75 ㏊)이 생산되어 재배면적과 생산량이 모두 증가하는 추세이다 (MAFRA, 2020). 그러나 수입산에 비하여 가격 경쟁력이 약하여 안정적인 국내 생산 기반이 필요한 약용작물 중 하나이다.
우리나라 장마철과 잇꽃의 채종 시기가 맞물리게 되면 끝이 닫힌 항아리 모양의 화기 구조로 인해 종자 불량을 초래하게 되기 때문에 파종 시기를 앞당겨 실시하거나 일부 비가림하우스 재배 등을 이용하고 있다. 하우스 재배시 수량증가 효과는 10 a 당 소득 6,705 천원으로 3,675 천원인 노지 대비 82% 수준의 소득 향상을 이룰 수 있으나 (Kim et al., 1999), 시설 내의 연작장해를 고려해야 하며 유지비용을 포함한 장기적인 시설비 회수 문제를 염두에 두어야 한다. 자가수정작물로 알려진 잇꽃의 육종 연구를 위하여 제웅을 실시한 후 소화 보호용 캡 (protecting cap)을 이용하여 총포를 보호하여 수정 및 결실률이 높였으며 (Oh et al., 2020), 현재 다양한 기관에서 잇꽃의 우량 품종 육성 연구가 진행 중이다.
잇꽃은 약용작물 중에서도 최적온도에서의 발아소요일수가 3 일 이내로 굉장히 짧으며 생육 기간이 100 일 이내로 짧아서 남부지방에서는 2 기작도 가능하다. 종자가 발아하면 종자 내의 화학적 조성과 영양가가 달라지는데 잇꽃의 발아 후 3일이 경과한 발아 종자는 발아 전 종자보다 아스코르브산 함량, 총 페놀 함량 및 항산화 활성이 증가하였고, 불포화 지방산을 증가시키고 포화지방산을 감소시켜 종자유의 품질을 향상시키는 것으로 보고되었다 (Shirvani et al., 2016).
최근 수중시간모델 (hydrotime model)을 이용하여 종자 발아를 예측하는 모델을 만드는 연구가 시작되었는데, 이 작업을 통하여 다양한 환경에서 수집된 잇꽃 재배종의 발아를 예측하는 수학적 모델을 구축하였고 (Tabatabaei and Ansari, 2017), 이를 더욱 확장하여 열수 시간을 이용하여 기본 온도를 정량화하여 잇꽃 종자 발아에 대한 온도와 수분 퍼텐셜의 영향을 연구하였다 (Bidgoly et al., 2018).
작물 생산성은 생육 단계와 시기에 따라 크게 변하는데 잇꽃에 대한 연구는 부족한 실정이다. 작물 생장은 고유의 생산성과 환경 요인과의 상호작용에 의해 결정되며 (Monsi, 1960; Evans and Hughes, 1962), 이로써 동화물질의 전류, 분배 및 축적에 변화가 발생하고 경제적 이용 대상의 수량도 변하게된다 (Pooter et al., 1990; Heuvelink and Buiskool, 1995).
본 연구는 우리나라 중부 지방의 잇꽃의 파종 적기로 알려진 3월 중순을 시작으로 일정 간격으로 파종하여 생육 특성, 건물 생산성 및 수량을 조사하여 재배기술 확립의 기초 자료로 활용하고자 실시하였다.
재료 및 방법
1. 시험 재료
연구의 재료는 국립원예특작과학원 인삼특작부 약용작물과 (Eumseong, Korea) 시험포장에서 2019년에 채종하여 상온에서 밀봉 보관한 잇꽃 (Carthamus tinctorius L.) 종자를 이용하였다. 우리나라 중부지방의 잇꽃 파종 적기로 알려진 3월 중순 (3월 16일)을 시작으로 8월 1일까지 15 일 간격으로 시험포장에 종자 직파하였고, 파종 후 30 일째 되는 날부터 15 일 간격으로 10 주씩 3 반복으로 수확하여 조사하였다.
2. 재배 방법
재식 거리는 1 m 이랑에 3 줄, 조간거리는 30 ㎝, 주간거리는 15 ㎝로 하여 파종하였고, 파종 후 10 일가량 지났을 때 1 주 1 본으로 솎음하였다. 시비는 10 a당 질소 10 ㎏, 인산 7 ㎏, 칼리 7 ㎏을 뿌렸으며 멀칭은 이랑에 폴리에틸렌 검정색 필름을 이용하여 피복하였고 잡초방제를 위하여 고랑에는 부직포 멀칭을 하였다.
3. 생장특성 조사
잇꽃의 생장특성 조사는 파종 시기별 (1 차 - 10 차) 및 파종 후 일수 (DAS, days after sowing)에 따라 진행되었다. 파종 후 30 일이 된 시점부터 15 일 간격으로 10 주씩 3 반복으로 수확하여 잎이 건조되기 전 엽면적을 조사하였고 잎, 줄기, 뿌리, 꽃 부위로 분류하여 건물중을 조사하였다.
개화에 필요한 적산온도 계산을 위하여 기상청의 지역별 상세 관측 자료 (AWS)를 이용하였다. 건조중량 측정을 위하여 65℃에서 24 시간 건조 후 무게를 측정하였으며 엽면적은 WindDIAS image analysis system (Delta-T; ADC, London, England)을 이용하여 측정하였다.
최종 수확기에는 초장 (㎝), 경경 (㎜), 주당분지수 (개/주), 주당두화수 (개/주), 주당립수 (개/주), 백립중 (g/100립), 종자 수량 (㎏/10a)을 조사하였고 형질들 간 상관관계 분석을 실시하였다.
4. 종자 발아 조사
발아시험은 90 ㎜ × 15 ㎜ petri-dish (SPL Inc., Pocheon, Korea)에 filter paper (Whatman, Buckinghamshire, England)를 깔고 멸균한 증류수를 충분히 적신 후 50 립 4 반복으로 치상하여 조사하였다. 유근이 종자의 종피를 뚫고 2 ㎜ 이상 나온 것을 발아의 기준으로 하여 매일 계산하였다.
Petri-dish는 셀로판테이프로 밀봉하여 20℃ growth chamger (Multi-Room Incubator, Vision Scientific Ltd., Bucheon, Korea)에서 12 시간 광/12 시간 암 조건으로 설정하였다.
5. 지방산 분석
잇꽃 종실 지방산인 리놀레산 (linoleic acid)과 올레산 (oleic acid)의 분석 전처리를 위하여 종자 시료를 0.5 ㎝의 크기로 절단한 후 freeze Mill 장비를 이용하여 고운 분말 상태로 제조하였다.
시료 0.5 g을 Teflon cap이 있는 4 ㎖ 바이알에 첨가하였으며 정량 시 internal standard (ISTD)를 함께 첨가하였다. Methylation mixture [MeOH : benzen : DMP (2,2-dimethoxy-propane) : H2SO4 = 39 : 20 : 5 : 2] 를 2 ㎖, heptane 1 ㎖를 넣어 흔든 후 80℃에서 2 시간 추출한 후 0.2 ㎛ 필터를 이용 여과한 후 상온 냉각하여 형성된 두 층중에서 상층액을 일정량 추출하여 Agilent 7890A (Agilent, Santa Clara, CA, USA)를 이용하여 GC-FID (GC with Flame Ionization Detector) 로 분석하였으며 GC 분석조건은 Table 1과 같다.
6. 건물생산성 평가
엽면적과 건물중 자료를 기반으로 단위시간과 건물중에 대한 건물중의 증가 속도를 나타내는 지표인 상대생장률 (RGR, relative growth rate), 단위시간과 엽면적에 대한 건물중의 증가 속도인 순동화율 (NAR, net assimilation rate), 단위 지표 면적당 엽면적의 비율을 나타내는 엽면적지수 (LAI, leaf area index), 단위시간 당 엽면적지수에 대한 건물중의 증가 속도인 작물생장률 (CGR, crop growth rate) 등을 아래의 식에 따라 산출하였고 (Evans, 1972), 잇꽃 부위별 건물의 경시적 변화, 지상부와 지하부 건물중의 비 T/R율 (ratio of aboveground to root biomass) 및 광합성 기관과 비광합성 기관의 건물 중 비 P/N율 (photosynthetic organ and non-photosynthetic organ dry weight ratio)을 조사하였다.
Relative growth rate, RGR (g/g/day)= (ln W2− ln W1)/(t2− t1)
Net assimilation rate, NAR (g/m2/day)= [(W2−W1)(ln LA2− ln LA1)]/[(t2− t1)(LA2− LA1)]
Leaf area index, LAI (m2/m2)= [(LA2+ LA1)/2][1/GA]
Crop growth rate, CGR (g/m2/day) = NAR × LAI
W2와 W1는 t2, t1때의 건물중, LA1와 LA2은 t2, t1때의 엽면적, LW1와 LW2는 t1, t2때의 엽건물중, GA는 잎이 덮고 있는 땅면적을 나타낸다.
7. 통계 분석
통계분석은 SAS Enterprise 7.1 (SAS Institute Incopporation, Cary, NC, USA) 프로그램을 사용하여 일원분산분석 (One-way ANOVA)을 하였고, Duncan’s Multiple Range Test (DMRT, p < 0.05)를 이용하여 처리 간 평균값의 유의성을 검정하였다.
결과 및 고찰
1. 파종 시기별 출아일, 개화일 및 개화적산온도
우리나라 중부지방 잇꽃 (Carthamus tinctorius L.)의 파종적기인 3월 16일을 시작으로 15 일 간격으로 총 10 차에 걸쳐 파종하였을 때 출아소요일수는 1 차 - 3 차 파종까지는 9일 - 10 일이 소요되었으나 파종 시기가 늦어질수록 감소하여 4 차 파종 이후로는 3 일가량이 소요되었다 (Table 2).
1 차 파종 처리를 시작으로 개화소요일수를 조사한 결과 처음에는 84 일이 소요되었으나 파종 시기가 늦어질수록 감소하는 경향을 보여 40 일대 후반을 나타냈다. 기상 관측 자료 (AWS)에 따르면 잇꽃 생육 시기의 평균 기온은 3월에 7.0℃, 4월에 10.2℃, 5월에 17.8℃, 6월에 23.4℃ 그리고 7월에 23.1℃를 나타냈다 (KMA, 2020). 중부지방 기준 잇꽃의 생육은 3월 파종을 시작으로 6 - 7월까지 이어지는데 시간이 지남에 따라 평균 기온이 올라가기 때문에 생육기 기온은 높아지게 된다.
출아 이후부터 개화까지 합산한 온도를 보았을 때 1 차 파종 처리에는 26,119.2℃였다가 점점 감소하여 5 차 파종 처리에서 21,307.2℃였으나 6 차 파종 처리부터 다시 증가하여 10 차 처리인 8월 1일 파종에서는 26918.4℃까지 증가했다.
식물의 종자는 알맞은 수분, 산소, 온도 조건이 주어지면 발아하는데 평균 온도가 7.0℃로 낮은 3월에는 출아 소요일이 9 일로 길었으나 평균온도가 17.8℃인 5월에는 4 일만에 출아한 것으로 나타나, 출아소요일수에 온도가 관여함을 알 수 있다.
일반적으로 식물의 개화 반응은 온도에의 영향을 많이 받는데 생육기 온도가 올라가면서 잇꽃에서는 개화적산온도를 달성하는 데 소요되는 일수가 줄어들었다. 잇꽃의 화성은 중일성이며 장일에서 개화가 촉진된다고 보고되었으며 (Dajue and Mundel, 1996), 1 차 파종을 시작으로 장일로 갈수록 개화 소요일수가 줄어들었으며, 6월 중순 이후 절기 상 하지를 지난 이후에는 단일 조건이 되어감에 따라 개화가 지연되어 개화소요일수는 다시 증가하였다 (Table 2).
2. 파종 시기별 잇꽃 생육일수 및 지상부 특성
대부분 지하부를 이용하는 약용작물과는 달리 잇꽃은 지상부를 사용하는 작물이기에 지상부 생육이 중요하다. 잇꽃의 꽃과 종자는 한방 재료로 사용되지만 한약재로서의 가치 뿐만 아니라 어린잎과 종자는 식용가능 부위여서 새싹 및 식품으로서의 가치도 높다.
3월 16일을 시작으로 15 일 간격으로 파종하였을 때, 1 차 파종 처리는 7월 6일에 수확하여 총 112 일 생육하였으며, 수확기 초장 93.6 ㎝, 경경 12.4 ㎜, 주당분지수 15.5 개로 다른 처리에 비하여 지상부 특성이 우수하였다 (Table 3).
이후 생육 일수는 2 차 파종 처리에서 총 98 일, 3 차 파종 처리에서 97 일을 걸쳐 5 차 처리의 73 일까지 낮아졌다가 이후 다시 증가하는 경향을 보였는데 이는 개화적산온도가 감소하다가 증가하는 경향과 유사하였으며 (Table 2), 생육기 온도가 생육 기간에 영향을 미친 것으로 생각된다.
지상부의 경경은 1 차 파종 처리에서 12.4 ㎜로 다른 파종처리에 비하여 유의적으로 높았으며, 분지수는 3 차 및 4 차 처리에서 14.7 개 – 14.9 개로 다른 처리보다 유의적으로 높았다. 8 차 및 9 차 처리는 지속적인 강우가 내리는 장마기에 초기 생육이 겹쳐 습해를 견디지 못하고 전 개체가 고사하였다. 10 차 파종 처리는 생육기 온도가 낮아짐에 따라 생육 일수가 다시 길어져서 107 일로 증가하였으며 생육 온도 부적합 및 태풍으로 인한 수광량 부족 등의 이유로 정상적인 생육을 이어가지 못하였으며, 초장 26.8 ㎝, 경경 4.1 ㎜, 분지수 2.4 개로 다른 파종 처리에 비해 생육 지표들이 전반적으로 낮았다 (Table 3).
3. 파종 시기별 잇꽃 결실 특성
홍화 (紅花)는 잇꽃의 꽃으로 대한민국약전에 수록되어 어혈을 제거하고 통증을 멈추는 데에 처방되고 (MFDS, 2020), 홍화자 (紅花子)는 잇꽃의 종자로 대한민국약전외한약 (생약) 규격집에 수록되어 약재로 사용하며 종자의 기름 성분에는 혈액순환, 해독 작용이 있다고 알려져 있으며 다양한 항산화 효능도 밝혀졌다 (Cox et al., 1995; Zhang et al., 1996; Espin et al., 2000; Prescha et al., 2014). 잇꽃은 최종 수확물이 종자이기 때문에 본 시험의 파종 처리에 따른 결실 특성을 비교하는 것이 필요하다.
총 주당두화수는 3 차 처리가 22.5 개로 다른 처리에 비해 유의적으로 많았으며 주당립수는 1 차 처리가 551.5 개로 유의적으로 높았다 (Table 4). 백립중 (g/100립)은 4 차 처리에서 4.4 g으로 유의적으로 높았으며 잇꽃의 수량을 나타내는 지표인 종자 생산량 (㎏/10a)은 4 차 처리에서 304.0 ㎏/10a, 3 차 처리에서 285.3 ㎏/10a로 다른 처리에 비하여 유의적으로 높았다 (Table 4).
벼의 수량구성요소에는 주당 이삭수, 이삭당 입수, 등숙률, 천립중이 있으며 이들의 곱으로 수량이 정해지게 되며, 주당 이삭수가 많고 이삭당 입수가 많으며 등숙이 좋고 충실하여 천립중이 높을 때 수량이 높아지게 되는 것이다.
잇꽃의 경우 주당두화수는 3 차에서 유의적으로 높았고, 주당립수는 1 차, 3 차, 4 차 처리에서 유의적으로 많았다. 수량을 나타내는 종자 생산량은 3차에서 285.3 ㎏/10a, 4 차에서 304.0 ㎏/10a로 높았다.
그러나 잇꽃은 개화·결실기 강우의 영향이 있어 종자 부패율이 2 차 처리에서 3.7%로 다른 처리에 비해 유의적으로 부패 증상이 낮았으며, 4 차 처리는 종자부패율이 9.7%로 1 차, 3 차에 비해 높았다. 따라서 백립중 (g/100립)은 4 차 처리에서 높았으나 종자부패율이 9.7%로 1 차 및 2 차 처리에 비해 높아서 발아율이 상대적으로 낮은 것으로 나타났다. 종자부패율은 5 차에서 16.3%, 6 차에서 35.7%, 7 차에서 78.0%로 파종 시기가 늦어질수록 유의적으로 증가하는 것을 알 수 있으며 따라서 6 차, 7 차 처리는 다른 처리에 비해 발아율이 유의적으로 낮은 것으로 추론된다.
발아율은 1 차에서 5 차까지의 처리에서 다른 처리에 비해 유의적으로 높았으며 실용적인 종자의 발아율인 80%를 나타냈다. 그러나 이 80%대의 발아율은 95% 이상을 나타냈던 2019년 채종 종자에 비하여는 낮았으며 (data not shown), 2020년 지속적인 장마의 영향이 큰 것으로 생각된다.
잇꽃의 종자 생산 관련 지표들 간의 상관관계 분석 결과, 모든 형질 간 고도로 유의한 상관관계가 있었으며 (Table 5), 특히 종자 수량 (㎏/10a)과의 상관관계에서 주당립수, 백립중, 주당두화수는 초장과 분지수에 비하여 높은 유의성을 보였다.
따라서 주당립수가 많고 백립중이 높은 개체를 선발하여 품종으로 개량하는 선발육종법, 혹은 주당두화수를 높이는 적심 등의 재배방법을 통하여 수량을 높일 수 있는 것으로 사료된다.
4. 파종 시기별 잇꽃 종자 지방산 함량
잇꽃의 파종 시기별 대표적인 불포화지방산인 리놀레산과 올레산의 함량을 분석한 결과 1 차 파종 처리에서 리놀레산 138.0 ppm, 올레산 16.4 ppm으로 다른 파종 처리에 비하여 유의적으로 높았으며 파종 시기가 늦어 생육 기간이 짧아질수록 함량이 감소하는 경향을 나타냈으며 리놀레산과 올레산의 상대적인 비율은 약 8 : 1에 해당했다 (Table 6).
잇꽃의 지방산 함량은 생육일수가 가장 길었던 1 차 파종처리에서 다른 파종처리에 비하여 유의적으로 높았으며 생육일수가 가장 짧았던 10 차 파종 처리와는 함량에서 10 배 이상 차이가 났다 (Table 6). 잇꽃은 한약재로서의 가치 뿐만 아니라 어린잎과 종자를 식용할 수 있어 식품으로서의 가치도 높으며, 1 차 파종 처리에서 지방산 함량이 높으므로 식품으로서의 가치가 가장 높다고 할 수 있다.
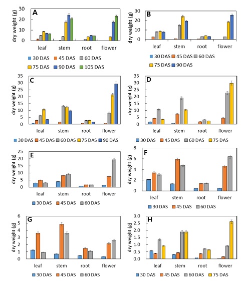
5. 파종 시기별 파종 후 일수에 따른 잇꽃 부위별 건물중
파종 시기와 파종 후 일수에 따른 잇꽃의 잎, 줄기, 뿌리, 꽃의 부위별 건물생산성은 Fig. 1에서 보는 바와 같다. 시기상 2020년 6월 말부터는 우리나라에 기록적인 장마가 시작하여 8차 (7/1 파종) 및 9 차 (7/16 파종) 처리는 전 개체가 고사하여 건물중 변화 결과에서 생략되었다. 장마 이후 이어진 태풍시기에 개화·결실기가 맞물린 5 차 (5/15 파종) 및 6 차(6/1 파종) 처리는 생육이 매우 저조하였다 (Fig. 1E, F).
Dry weight of leaf, stem, root and bud (flower) according to days after sowing (DAS) by sowing date.(A); sowing date is Mar-16 (1st), (B); Apr-1 (2nd), (C); Apr-16 (3th), (D); May-1 (4th), (E); May-15 (5th), (F); Jun-1 (6th), (G); Jun-16 (7th), (H); Aug-1 (10th).
파종 후 개체의 건물중 변화는 기관별 분포를 볼 때 파종 초기에는 잎, 줄기 및 뿌리의 영양 생장기관 무게가 증가하다가 시간이 경과함에 따라 감소하면서 생식 생장기관인 꽃의 비율이 증가하는 경향을 나타냈다 (Fig. 1).
1 차 파종 처리에서 파종 후 30 일에 잎은 0.11 g, 줄기 0.01 g, 뿌리 0.01 g이었으나 45 일에 각 1.38 g, 0.19 g, 0.13 g을 나타냈고, 60 일에는 4.83 g, 3.86 g, 1.28 g까지 생육했으나 (Fig. 1A), 이 시기에 아직 개화는 일어나지 않았다 (Table 2). 파종 후 75일째부터 화뢰가 형성되면서 꽃의 무게 측정이 가능하여 파종 후 75일에 잎, 줄기, 뿌리, 꽃의 무게는 8.58 g, 17.69 g, 3.66 g, 3.60 g였으며 파종 후 90일에 6.89 g, 24.22 g, 4.79 g, 17.65 g으로 영양생장기관은 최고점을 나타냈다. 이후 파종 후 105일에는 잎, 줄기, 뿌리는 6.32 g, 20.77 g, 4.51 g으로 감소하였으나 꽃의 무게는 23.13 g으로 계속 상승했다 (Fig. 1A).
잇꽃은 꽃과 종자를 사용하는 작물로 본 실험에서도 전체 식물체에서 꽃이 차지하는 무게 비율은 지속적으로 증가했으며 개화가 시작된 이후 12%에서 73%까지 증가하였다. 1 차 파종은 개화 후 75 일부터 생식 생장기관의 무게 측정이 가능했으나 (Fig. 1A), 2 차 파종 처리는 개화 후 60 일경부터 측정이 가능했고 (Fig. 1B) 3 차, 4 차 파종 처리는 개화 후 45 일경부터 측정이 가능했다 (Fig. 1C, D). 이는 생육기 온도가 올라감에 따라 개화적산온도를 달성하는 데 필요한 기간이 짧아진 것으로 추론된다 (Table 1).
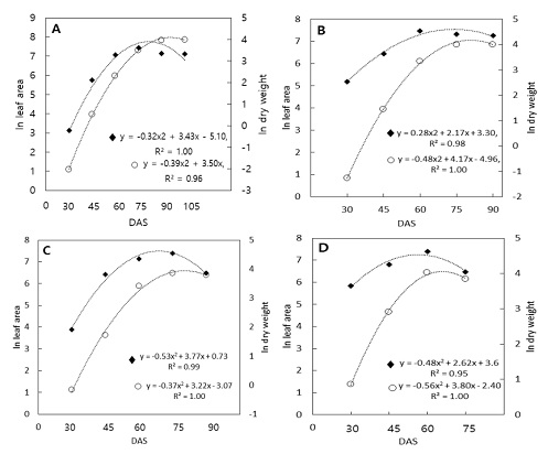
6. 파종 시기별 엽면적 및 건물중
잇꽃 재배의 수익성과 연관되는 지표인 종자수량 (㎏/10a)이 200 ㎏/10a 이상이었던 1 차 (Mar-16), 2 차 (Apr-1), 3차 (Apr-16), 4 차 (May-1) 파종 처리에 대하여 엽면적과 건물중의 변화 양상을 조사하였다 (Fig. 2 and Table 3).
Leaf area and dry weight according to days after sowing (DAS) by sowing date.(A); sowing date is Mar-16, (B); Apr-1, (C); Apr-16, (D); May-1.
엽면적은 파종 후 초기에 활발한 영양생장이 일어나고 광합성을 하면서 높은 증가율을 보였다가 개화기 이후 점차 둔화되었고 건물중도 비슷한 경향을 나타냈다 (Fig. 2).
작물은 영양생장을 많이 하여 엽면적이 넓을수록 광합성 속도는 증가하고 잎의 노화 속도는 느려진다고 보고되었다 (Buchanan-Wollaston, 1997). 그러다가 잎이 노화되면서 엽면적은 둔화되는데 이 시기는 4 개 파종 처리에서 모두 파종 후 60 일 - 75 일 전후이며, 건물중은 엽면적보다 둔화되는 시기가 다소 늦어 1 차에서 3 차 처리까지는 파종 후 90일, 4 차 처리는 60 일에 감소하였다. 엽면적이 감소되는 시기는 영양생장 이후 생식생장으로 전환되는 시점과 유사하며 이 시기부터 화뢰 (꽃)의 무게 측정이 가능하였다 (Fig. 1).
따라서 엽면적이 감소하는 시기에 저장기관 (sink)으로부터 동화생산기관 (source)으로의 전류가 일어나 생식생장 기관의 증대가 일어나는 것으로 추론된다.
7. 파종 시기별 T/R 율 및 P/N 율
잇꽃 식물체의 지상부와 지하부 건물중의 비인 T/R율은 파종 후 생육 초기에 증감의 변화를 겪다가 줄기 신장기부터 수확기까지 완만히 증가하는 경향을 나타냈다 (Fig. 3). 1 차 파종 처리는 파종 후 45 일까지 증가하였다가 소폭 감소했다가 다시 증가했으며 (Fig. 3A) 2 차에서 4 차 파종 처리는 파종 후 30 일에 높았다가 45 일에 가장 낮은 값을 보인 후 다시 증가하는 경향을 보였다 (Fig. 3B - D).
Ratio of aboveground to root biomass (T/R ratio) and photosynthetic organ and non-photosynthetic organ dry weight ratio (P/N ratio) according to days after sowing (DAS) by sowing date.(A); sowing date is Mar-16, (B); Apr-1, (C); Apr-16, (D); May-1.
동화기관 (photosynthetic organ)과 비동화기관 (non-photosynthetic organ)의 비율을 나타내는 P/N 율은 파종 시기나 파종 후 일 수에 관계없이 지상부의 비율이 지하부에 비하여 모두 높았다 (Fig. 3). 3 차, 4 차 파종 처리가 1 차, 2 차 처리에 비하여 T/R 율이 생육 후반부에 높았는데 이는 생육기 고온으로 인하여 영양생장에서 생식생장으로 전환되는 기간이 상대적으로 짧아 지상부의 생장조건이 둔화된 것으로 추론된다 (Table 1).
약용작물 백수오는 지하부를 이용하는 약용작물로 개화기경 T/R율이 가장 높았다고 보고되었으나 (Kim et al., 2014), 잇꽃은 이와 상반되게 개화기 이후까지 꾸준히 증가하는 결과를 나타냈다.
동화기관 (photosynthetic organ)과 비동화기관 (non-photosynthetic organ)의 비율을 나타내는 P/N 율은 모든 처리에서 생육 초기 파종 후 30 일에 가장 높다가 파종 후 일수가 지날수록 점차 감소하는 경향을 보였다 (Fig. 3). 생육이 진전됨에 따라 식물 전체에서 광합성 기관이 차지하는 구조적 비중이 낮아지는 것으로 판단된다.
8. 파종 시기별 상대생장률 및 순동화율
상대생장률 (RGR)과 순동화율 (NAR)은 대부분 식물에서 생육 초반에 높은 값을 보이며 1 회 혹은 2 회의 최댓값을 보인 후 감소하는 패턴이 일반적이라고 보고되었다 (Evans, 1972). 또한 단위 시간동안 식물체 무게에 대한 건물중의 복리적 증가 현상을 나타내는 RGR의 경시적 변화는 작물의 종류, 재배환경에 따라 다르다고 보고하였는데 (Evans, 1972) 잇꽃은 파종 후 45 일경에 높은 RGR을 보인 후 점차 감소했다 (Fig. 4).
Relative growth rate (RGR) and net assimilation rate (NAR) according to days after sowing (DAS) by sowing date.(A); sowing date is Mar-16, (B); Apr-1, (C); Apr-16, (D); May-1.
1 차 처리에서는 파종 후 45 일에 0.17 g·g−1·day−1로 최댓값을 보인 후 점차 감소하였으며, 2 차 처리에서는 파종 후 45 일에 0.18 g·g−1·day−1로 최댓값을 보인 후 점차 감소하였으며, 3 차 및 4 차 파종에서도 비슷한 경향을 보였다. 파종 후 45 일은 시기적으로 영양생장기인 줄기 신장기에 해당하며 본엽기가 지나고 줄기가 매우 빠르게 신장하며, 곧이어 생식 생장이 시작되게 된다.
잇꽃의 줄기 신장기에는 원줄기에서 가지가 많이 발생하며 줄기 맨 위 상단에 가지가 뻗쳐 나오면 줄기는 더 이상 자라지 않고 생식생장으로 전환되어 꽃망울이 생기고 개화한다. 따라서 생식생장 이전에 식물체 무게에 대한 건물중을 증가시키는 시기라 가장 높은 RGR 값을 보인 것으로 추론되며 개화기 이후 급격하게 생장량이 둔화되는 경향을 보였다.
NAR은 단위 엽면적 및 단위 시간당 건물중의 증가율, 즉 광합성에 의한 물질 생산속도에서 호흡작용에 의한 물질 소비속도를 뺀 단위 엽면적 당 광합성 능력을 나타내는 지표로 잇꽃에서는 파종 후 45 일에서 60 일 경 급증하여 제 1 극대기를 나타내었다가 생식생장 시기를 거치면서 감소하였다. 생육 초기에 잇꽃은 줄기 신장기에 가지를 뻗어서 다분지를 형성하며 잎을 많이 생성하며 파종 시기별로는 1 차 파종에서 전반적으로 높았다. 엽수의 분화가 많아지면서 NAR이 높아지는 것으로 생각되며 영양생장이 끝나고 생식생장 시기에 개화하면서 감소하는 경향을 나타냈다.
9. 파종 시기별 작물생장률 및 엽면적지수
작물생장률 (CGR)은 하루 중 m2 당 건물중의 증가 속도를 나타내며 1 차 파종 처리에서 파종 후 75 일에 31.41 g·m−2·day−1로 최댓값을 보이고 그 후 점차 감소하는 경향을 보였으며 (Fig. 5A), 2 차 파종 처리에서 파종 후 75 일에 35.63 g·m−2·day−1로 최댓값을 보인 후 감소하였으며 (Fig. 5B), 3 차 및 4 차 파종의 경우 파종 후 60 일에 각각 최댓값을 보인 후 감소하였다 (Fig. 5C and D).
Crop growth rate (CGR) and leaf area index (LAI) according to days after sowing (DAS) by sowing date.(A); sowing date is Mar-16, (B); Apr-1, (C); Apr-16, (D); May-1.
CGR은 생육 초기 줄기신장기부터 개화기 전까지 급상승하다가 개화기경 최고점을 찍고 감소하는 경향을 보였다. 1 차 파종에서 잇꽃의 개화는 파종 후 84 일이었으며, 2 차 파종에서는 72 일, 3 차 및 4 차 파종에서는 각각 61 일과 52 일이었다 (Table 2). 약용작물 작약의 CGR은 줄기신장기와 개화기에 높았다고 보고되어 잇꽃의 결과와 유사하였다 (Kim et al., 1998).
엽면적지수 (LAI) 는 단위 면적의 공간 내 있는 모든 잎의 면적에 단위면적을 나눈 값을 나타내며 파종 시기별로 LAI의 양상은 비슷하였다. 잇꽃의 엽면적지수는 개화기에 최대였고 그 이후 잎의 노화 및 탈엽에 따라 엽면적이 감소하면서 엽면적지수 또한 감소하였다 (Fig. 2).
벼의 LAI는 출수기에 가장 높았으며 (Kim and Song, 1975), 약용작물 작약의 LAI는 개화기에 가장 높아 (Kim et al., 1998) 본 잇꽃의 실험 결과와 유사하였다. 1 차 파종의 경우 파종 후 90 일에 3.0 (Fig. 5A), 2 차 파종의 경우 파종 후 75 일에 3.36의 최댓값을 찍고 감소하는 경향을 보였다 (Fig. 5B). CGR과 LAI는 파종 후 일수에 따라 변화하는 양상이 비슷하였는데 이로써 작물의 생산능력이 source의 크기나 수광 태세와 같은 군락의 구조적 변화에 의해 결정되는 것으로 추론된다.
잇꽃의 중부지방 파종 적기로 알려진 3월 중순 (3월 16일)을 시작으로 15 일 간격으로 10 회에 걸쳐 파종하고, 각 파종 처리마다 파종 후 30 일부터 15 일 간격으로 수확하여 건조 중량 및 엽면적을 측정하였으며 종자 수량은 최종 수확시기에 조사하였다.
그 결과 최대 상대생장률 (RGR) 및 순동화율 (NAR)은 잇꽃의 초기 생장 단계에서 높게 관찰되었으며, 작물생장률 (CGR) 및 엽면적지수 (LAI)는 개화기에 가장 높게 관찰되었다.
종자 수량은 4 차 파종 처리 (4월 16일 파종)에서 가장 높았으나, 1, 2 차 파종 처리 (3월 16일, 4월 1일 파종)에서는 장마로 인한 종자 부패가 다른 처리에 비해 낮아 종자 발아율이 높았으며 종자 지방산 함량은 1 차 처리에서 가장 높아 식용으로의 가치가 높았다.
잇꽃은 개화결실기에 장마의 영향을 피하는 것이 재배 측면에서 가장 중요하다. 그러나 적기보다 늦게 파종하면 개화·결실기에 장마의 영향은 피할 수 있지만 초기 생육 자체가 부진할 수 있으며 종자 생산에 필요한 적산온도 및 수광량 부족의 이유로 수량이 낮았다.
결론적으로 본 연구에서는 종자 부패, 발아율, 수량 및 지방산 함량을 모두 고려할 때 1 차 파종 처리 (3월 16일)와 같이 조기에 파종하여 장마 전에 수확을 끝내는 것이 중요하다.
Acknowledgments
본 연구는 농촌진흥청 연구사업(과제번호: PJ012642022021)의 지원에 의해 이루어진 것으로 이에 감사드립니다.
References
-
Bidgoly RO, Balouchi H, Soltani E and Moradi A. (2018). Effect of temperature and water potential on Carthamus tinctorius L. seed germination: Quantification of the cardinal temperatures and modeling using hydrothermal time. Industrial Crops and Products. 113:121-127.
[https://doi.org/10.1016/j.indcrop.2018.01.017]
-
Buchanan-Wollaston V. (1997). The molecular biology of leaf senescence. Journal of Experimental Botany. 48:181-99.
[https://doi.org/10.1093/jxb/48.2.181]
-
Cox C, Mann J, Sutherland W, Chisholm A and Skeaff M. (1995). Effects of coconut oil, butter, and safflower oil on lipids and lipoproteins in persons with moderately elevated cholesterol levels. Journal of Lipid Research. 36:1787-1795.
[https://doi.org/10.1016/S0022-2275(20)41497-X]
- Dajue L and Mundel HH. (1996). Safflower(Carthamus tinctorius L.). The International Plant Genetic Resources Institute. Rome, Italy p.83.
-
Espín JC, Soler-Rivas C and Wichers HJ. (2000). Characterization of the total free radical scavenger capacity of vegetable oils and oil fractions using 2,2-diphenyl-1-picrylhydrazyl radical. Journal of Agricultural and Food Chemistry. 48:648-656.
[https://doi.org/10.1021/jf9908188]
- Kim HY and Song SD. (1975). Studies on the dry matter production and growth analysis of the rice plant. Korean Journal of Crop Science. 20:74-86.
-
Kim IJ, Kim MJ, Choi SY, Han DH, Kim YH, Lee JG, Hong EY and Kim TJ. (2014). Seasonal Change of Growth Asclepiadaceae Plants (Cynanchum wilfordii, C. auriculatum, Metaplexis japonica). Journal of the Korean Society of International Agricultue. 26:292-296.
[https://doi.org/10.12719/KSIA.2014.26.3.292]
- Kim JC, KIM JH, Ryu JG, Park SD and Oh SM. (1998). The growth analysis of Paeonia lactiflora PALL. RDA Journal of Industrial Crop Science. 40:30-35.
- Kim KJ, Shin JH, Park CH, Park SD and Choi BS. (1999). Growth and seed yield of safflower in plastic house. Korean Journal of Medicinal Crop Science. 7:269-274.
- Korea Meteorological Administration(KMA). (2020). Meteorological agency historical data. Korea Meteorological Administration. Seoul, Korea. https://www.kma.go.kr/eng/index.jsp, (cited by 2021 Jan 10).
-
Koyama N, Kuribayashi K, Seki T, Kobayashi K, Furuhata Y, Suzuki K, Arisaka H, Nakano T, Amino Y and Ishii K. (2006). Serotonin derivatives, major safflower(Carthamus tinctorius L.) seed antioxidants, inhibit low-density lipoprotein (LDL) oxidation and atherosclerosis in apolipoprotein E-deficient mice. Journal of Agricultural and Food Chemistry. 54:4970-4976.
[https://doi.org/10.1021/jf060254p]
- Ministry of Agriculture, Food and Rural Affair(MAFRA). (2019). Production record of cash crops. Ministry of Agriculture, Food and Rural Affair. Sejong, Korea. p.3-35.
- Ministry of Food and Drug Safety(MFDS). (2020). The Korean pharmacopoeia 12th. Ministry of Food and Drug Safety. Cheongju, Korea. p.129.
-
Mokhtari N, Rahimmalek M, Talebi M and Khorrami M. (2013). Assessment of genetic diversity among and within Carthamus species using sequence-related amplified polymorphism(SRAP) markers. Plant Systematics and Evolution. 299:1285-1294.
[https://doi.org/10.1007/s00606-013-0796-8]
-
Oh MW, Lee JH, Jeong JT, Han JW, Lee SH, Ma KH, Hur M and Chang JK. (2020). Agronomic Characteristics and artificial-cross method of collected safflower(Carthamus tinctorius L.) germplasm. Korean Journal of Medicinal Crop Science. 28:298-309.
[https://doi.org/10.7783/KJMCS.2020.28.4.298]
-
Prescha A, Grajzer M, Dehyk M and Grajeta H. (2014). The antioxidant activity and oxidative stability of cold-pressed oils. Journal of the American Oil Chemists’ Society. 91:1291-1301.
[https://doi.org/10.1007/s11746-014-2479-1]
- Shirvani A., Jafari M., Goli SAH, Soltani TN and Rahimmalek, M. (2016). The changes in proximate composition, antioxidant activity and fatty acid profile of germinating safflower(Carthamus tinctorius) seed. Journal of Agricultural Science and Technology. 18:1967-1974.
- Tabatabae SA and Ansari O. (2017). Predicting seed germination of safflower(Carthamus tinctorius) cultivars using hydrotime model. Cercetari Agronomice in Moldova. 50:79-87.
-
Zhang H, Nagatsu A and Sakakibara J. (1996). Novel antioxidants from safflower(Carthamus tinctorius L.) oil cake. Chemical and Pharmaceutical Bulletin. 44:874-876.
[https://doi.org/10.1248/cpb.44.874]
