
새싹인삼의 필름포장과 가스조성이 품질특성에 미치는 영향
This is an open access article distributed under the terms of the Creative Commons Attribution Non-Commercial License (http://creativecommons.org/licenses/by-nc/3.0/) which permits unrestricted non-commercial use, distribution, and reproduction in any medium, provided the original work is properly cited.
Abstract
Ginsenosides, which have various physiological activities, are known to be abundant in the leaves and roots of ginseng. Ginseng sprouts can be used as a fresh vegetable and roots, stems, and leaves of ginseng can be consumed. This study aimed to investigate the effect of carbon dioxide treatment and the modified atmosphere (MA) packaging method in suppressing quality deterioration during the distribution of ginseng sprouts.
Ginseng sprouts were packed using Styrofoam, barrier film + non gas treatment, barrier film + gas treatment, 15 ㎛ polyamide (PA) double film + non gas treatment, 15 ㎛ PA double film + gas treatment, 25 ㎛ PA film + non gas treatment, or 25 ㎛ PA film + gas treatment. Quality parameters including gas composition, relative humidity, chlorophyll SPAD (Soil Plant Analysis Development) value, firmness, and rate of quality loss in ginseng sprouts were monitored at the following temperatures: 20℃, and 10℃. Ginseng sprouts packaged with 25 ㎛ PA film showed loss in quality because of wilting owing to low relative humidity within the film. Chlorophyll and firmness did not differ between film and gas treatments. The time point at which the combined loss from softening and decay owing to fungal, and bacterial infection and wilt reached 20% was considered the limit of distribution. At 20℃, the packaging not included in the 20% distribution loss rate limit or up to 7 days was 15 ㎛ PA double film + gas treatment. At 10℃, the packaging not included in the 20% distribution loss rate limit for up to 18 days were barrier film + gas treatment and 15 ㎛ PA double film + gas treatment.
The film packaging suitable for the distribution of ginseng sprouts was found to be the barrier film and PA film with low gas permeability and maintaining hygroscopicity at 95% relative humidity. To prevent the loss in quality of ginseng sprouts, gas treatment (8% of O2 and 18% of CO2) in the film was found to be more suitable than no gas treatment for inhibition of decay.
Keywords:
Ginseng, Ginseng Sprout, Packaging, Postharvest, Storage서 언
새싹채소는 종자에서 싹이 터 자신의 성장을 위해서 영양소와 생리활성 물질을 생합성하므로 무기질, 비타민 및 폴리페놀 화합물을 다량 함유하고 있어 생리활성 효과가 우수하다고 보고되고 있다 (Kim et al., 1997; Lee et al., 2009). 생활수준의 향상으로 인한 well-being과 LOHAS (Lifestyles of Health and Substainability)의 추세로 식품의 선택 및 섭취에 있어서도 기능성을 갖춘 식품을 선호하는 추세가 강해지고 있다. 새싹채소는 평상시의 식생활로 섭취하기 어려운 각종 효소나 칼슘, 칼륨, 철분 등의 미네랄 및 비타민 등을 섭취할 수 있는 장점을 가진 well-being 식품으로 알려져 있다 (Kim and Lee, 2010). 최근에는 건강 지향성 및 편의성을 중시하는 소비자의 식생활 소비성향의 변화로 한약재 원료인 일반 약용작물이 가공식품의 원료 또는 새싹 및 쌈채소와 같은 신선 채소로 이용되고 이에 대한 관심의 증가로 소비가 증가하는 추세이다 (Jun et al., 2012; Lee and Park, 2014).
인삼 (Panax ginseng C. A. Meyer)은 사포닌이 다량 함유되어 있고 이들 성분이 피로회복, 면역력 증진, 혈행 개선 등의 기능성을 띠고 있어 건강기능성 식품으로 인정되고 있는 데, 대부분 인삼 뿌리를 사용하였으나 최근에 인삼 잎이나 열매에서 뿌리보다 더 많은 사포닌을 함유하고 있다고 보고되었다 (Yahara et al., 1979; Choi et al., 2009). 인삼의 모든 부위를 식용할 수 있기 위해서는 먹기에 좋은 신선 채소로 재배되어야 하고 연중 공급되는 재배기술이 필요한데, 인삼의 기능성분은 다 포함하면서 연중 공급이 가능하고 신선채소처럼 이용하기 좋은 방법이 새싹인삼으로 활용하는 방법이다.
새싹인삼의 재배는 먼저 미숙배인 인삼 종자를 인위적으로 생장을 촉진시켜 씨눈 틔우기 (개갑)를 한 후 모밭에서 24 개월 미만 재배한 모종삼 (묘삼)을 채굴해 새싹인삼 전용 수경 또는 상토에서 25 일 - 40 일 정도 재배를 한 후 인삼의 뿌리와 어린잎 전체를 수확해 이용하는 것으로 상대적으로 재배기간이 짧은 특성을 가진다. 또 인삼과 비교하여 새싹인삼은 계절에 제한을 받지 않아 연중재배가 가능하고 연작이 가능한 재배의 장점이 있고 새싹인삼 잎에도 진세노사이드 함량이 높은 것으로 보고되어 있다 (Park, 2017; Jung, 2018). 그러나 새싹인삼을 신선채소처럼 유통할 경우 품질저하가 일어나기 쉬운데, 스티로폼으로 유통 시 잎, 줄기 및 뿌리의 물러짐과 관상 및 수분공급을 목적으로 스티로폼에 넣는 청수태 (청이끼)에 곰팡이 발생이나 이취가 발생하는 문제가 있다. 또한 플라스틱 트레이 포장의 경우 줄기와 뿌리 연결부위의 곰팡이 발생 등이 주요 품질저하의 원인이 되므로 이를 억제하는 유통 방법을 모색하는 것이 필요하다.
수확 후 저장성을 높이는 기술에는 크게 CA (controlled atmosphere)저장과 MA (modified atmosphere)저장이 있다. MA저장은 원예 산물의 호흡에 의한 O2 소비와 CO2의 방출로 포장 내에 낮은 O2 농도와 높은 CO2 농도의 적절한 대기가 조성되도록 하는 저장방법인데 크게 수동적, 능동적 MA저장이 있고, 고분자 필름으로 소포장하는 방법의 MAP포장으로 나뉜다. 미생물의 생육억제 및 shelf-life 연장과 관련해 저산소·고이산화탄소가스를 적용한 연구로는 설향 및 매향 딸기의 부패율 억제 및 유통기간 연장에 관한 연구 (Ahn et al., 2014; Kim et al., 2016)와 MAP 적용 (Del Nobile et al., 2006; Costa et al., 2011; Waghmare and Annapure, 2013; Jung et al., 2014)에 관한 연구가 수행되었다.
새싹인삼은 최근 연구가 활발히 진행되는 원예산물로서 수확 후 연구는 거의 초기단계이므로 본 실험은 새싹인삼의 유통 중 발생하는 품질저하를 억제하기 위해 새싹인삼에 적합한 MA포장 방법을 구명하고자 수행되었다.
재료 및 방법
1. 새싹인삼 재료
본 실험에 사용된 새싹인삼 (Panax ginseng C. A. Meyer)은 2018년 12월부터 2019년 11월까지 새싹인삼 농가로부터 1 년생 묘삼 (직경 5.7 ± 0.9 ㎜, 길이 13.1 ± 3.5 ㎝)을 새싹인삼 전용 상토에서 매달 25 일 정도 재배한 것을 오전에 수확한 후 바로 실험실로 가져와 실험재료로 사용하였고, 다양한 필름의 적용과 필름 내부 가스조성, 수확 후 물리·화학적 전처리 방법 등을 달리하여 유통실험을 수행한 후 최종 2019년 10월 24일에 수확된 새싹인삼을 이용해 이전 유통실험에서 가장 적합했던 필름과 가스처리방법을 적용해 본 실험을 수행하였다.
실험에 사용된 새싹인삼의 평균 엽장 및 엽폭은 각각 3.52 ± 2.34 ㎝, 1.69 ± 2.30 ㎝이었고, 줄기의 경장은 평균 7.15 ± 10.4 ㎝이었으며, 뿌리의 근장은 평균 11.6 ± 18.4 ㎝이었다. 새싹인삼 재배 농가의 재배 조건 중 사용된 상토는 피트모스와 펄라이트를 1 : 1로 혼합한 인삼전용 상토에 묘삼을 이식하여 온도조절이 가능한 비닐하우스 내 온도가 23℃ - 25℃ 정도, 습도 65% 정도를 유지하도록 설정해 재배하였으며, 비닐하우스는 천창이 개폐되는 2 중 비닐하우스로 직사광선을 차단하기 위하여 차광율 95%의 검정색 차광망을 외부의 산란비닐 위에 설치하여 광량을 조절하였으며 하우스 측면 부분도 광량조절을 위해 지표면에서 높이 2.2 m까지 차광망을 설치하였다. 비닐하우스 내 새싹인삼의 재배에 인공적인 광은 사용하지 않았으며, 자연광만을 사용하여 재배하였다.
2. 새싹인삼 필름포장
새싹인삼의 유통에 적합한 필름을 구명하기 위해 여러 필름을 적용한 결과 새싹인삼에는 투습도가 일정하게 유지되고 가스투과도는 낮은 필름이 적합한 것으로 밝혀져, 본 실험에 사용된 필름은 흡습성이 크고 가스투과도 (oxygen gas transmission rate, OTR)는 낮은 15㎛와 25㎛ polyamide nylon, OTR 20 cc/day/m2 필름 (PA film)과 투습도와 가스투과도가 모두 낮은 42㎛ PET/PVC/LLDPE [PET (polyethylene terephthalate) + PVC (polyvinyl chloride) 12 ㎛/LLDPE (linear low-density polyethylene) 30㎛], OTR 20 cc/day/m2 필름 (barrier film) 즉, 세 종류의 필름을 사용하였다.
필름의 규격은 23 ㎝ × 45 ㎝ (가로 ×세로)이었으며, 새싹인삼 50 뿌리씩 플라스틱 트레이 (PP tray; 21 ㎝ × 12 ㎝ × 3 ㎝)에 담아 각각의 필름에 포장하였다. 필름 내부의 가스 주입은 챔버식 진공·가스치환 포장기기 (VC-400/600-MAP Gasungpak Co., Ltd., Gwangju, Korea)를 이용하여 이전의 실험을 통해 새싹인삼의 품질유지와 부패억제에 가장 적합한 것으로 구명된 O2 농도 8%와 CO2 농도 18%를 주입하였으며, 필름 포장된 새싹인삼은 상대습도가 65%이고 온도 20℃와 10℃로 각각 설정한 저장고에 두고 20℃는 7 일 동안, 10 ℃는 18 일 동안 저장하면서 실험을 수행하였다. 관행포장으로는 새싹인삼 농가에서 많이 사용하는 스티로폼에 청수태 (청이끼)를 깔고 위에 새싹인삼 50 뿌리를 담은 후 청수태를 다시 덮는 방식으로 포장하여 유통 실험에 사용하였다.
3. 새싹인삼 필름포장 내 가스 측정 및 상대습도 측정
새싹인삼을 포장한 필름 내부의 가스 측정은 O2/CO2 Head space gas analyser (Dansensor Checkmate 3, Mocon Inc., Ringsted, Denmark)를 이용해 매일 측정하였다. 상대습도의 측정은 온습도 data loggers (WatchDog B102 T/RH Button Loggers, Spectrum Technologies Inc., Aurora, IL, USA)를 이용하여 유통 0 일부터 20℃는 7 일, 10℃는 18 일까지 30 분마다 측정하도록 설정하여 필름 내부의 습도 변화를 조사하였다.
4. 새싹인삼 엽록체 측정
새싹인삼 잎의 엽록소 함량은 엽록소계 (SPAD-502Plus, Konica Minolta Inc., Tokyo, Japan)을 이용하여 측정하였다. 측정에 사용된 새싹인삼은 스티로폼 및 각 film 처리구에서 30 개씩을 측정하여 평균값으로 나타내었다.
5. 새싹인삼 경도 측정
새싹인삼의 유통 중 잎, 줄기, 뿌리의 경도 측정은 texture analyzer (TA-Plus, Lloyd Instruments Ltd., West Sussex, England)를 이용하여 내장된 프로그램 중 test type TPA (texture profile analysis test) 프로그램 (Ametex Inc., Berwyn, PA, USA)을 이용하였다. 측정은 시료를 1 회 침입시켰을 때 얻어지는 force-time curve로부터 hardness를 분석하였다. 분석조건으로 probe는 P 2 (2㎜ diameter, cylinder probe, stainless steel)로 하였고, test speed는 2㎜/s, distance는 잎의 경우 4㎜, 줄기는 2㎜, 뿌리는 4㎜, trigger type; 1N으로 하였다.
각 처리당 새싹인삼의 잎, 줄기 및 뿌리의 길이와 크기가 비슷한 개체를 30 개씩 측정하여 평균값 (Newton, N)으로 나타내었다. 측정부위는 잎은 비슷한 크기의 잎을 5 장씩 겹쳐서 중심부를 측정하였고, 줄기의 경도는 뿌리와 줄기 연결 부위 (뇌두부위)에서 1.5 ㎝ 떨어진 부분을 측정하였으며, 뿌리는 뇌두부위에서 1.0 ㎝ 떨어진 부분을 측정하였다.
6. 새싹인삼 손실률 측정
새싹인삼의 손실률 측정은 새싹인삼 외관의 품질을 0 단계에서 4 단계로 임의로 나누어 구분하였다 (Fig. 1, 2). 즉, 0 단계는 수확시기처럼 잎과 줄기가 건전하고 신선함을 유지하면서 뿌리와 줄기의 연결부인 뇌두 부분의 떡잎이 녹색을 띄는 단계, 1 단계는 0 단계와 같이 새싹인삼이 신선하고 건전하지만 뿌리와 줄기의 연결부인 뇌두 부분의 떡잎이 갈변이 되어 갈색 내지 검은색을 띄는 단계, 2 단계는 잎, 줄기 뿌리에 곰팡이 균사체 발생이 눈에 띄거나 잎, 줄기, 뿌리에 무름증상이 진행되어 눈으로 확인 가능한 단계, 또한 잎의 위조 (시듦) 현상이 나타나는 단계, 3 단계는 잎 무름 증상이 1 뿌리 전체 잎의 30% - 50% 정도 발생하거나 뿌리의 1/3이 무름 증상이 발생 또는 줄기의 무름 증상이 나타나는 단계, 4 단계는 잎, 줄기, 뿌리에 무름 증상이 1 뿌리 대비 50% 이상 발생하거나 잎, 줄기, 뿌리 부분이 떨어져 온전한 모습을 갖추지 않은 단계로 나누었다.
Quality problem occurred during distribution of ginseng sprout:(A); ginseng sprout with intact leaves, stem and root after harvest, (B); occurrence of fungus, leaves rot, rot of linked area of stem and root, and root rot during distribution of ginseng sprout.
Quality of appearance of ginseng sprout by grade.grade 0; leaves and stems are fresh as the harvest time and the cotyledon color of connected part of root and stem is green, grade 1; fresh like grade 0 and only the color of cotyledon is changed to brown, grade 2; fungal mycelium occur on leaves, stem and root or appear symptoms of rot disease and soften, also occur the wilting of leaves, grade 3; rot disease and soften of leaves occur about 30% - 50% of the total leaves of one root or 1/3 of root, grade 4; rot disease and soften of leaves occur more 50% of the total leaves of one root or more 1/3 of root.
새싹인삼의 품질 등급 중 상품성 유무는 0 단계와 1 단계는 상품성이 가능하지만, 2 단계 이상은 상품성이 불가능한 것으로 구분하였고, 유통 한계 손실률은 2 단계부터 4 단계까지 손실률을 조사하여 20%에 도달하는 기간으로 나타내었다. 손실률은 각각의 필름에 포장된 새싹인삼의 전체 개체 수에 대한 부패나 손실이 발생한 개체수의 비를 백분율로 나타내었으며, 각각의 필름에 대해 3 반복 조사를 하여 평균값으로 나타내었다.
7. 통계처리
본 실험에서 얻어진 결과의 통계처리는 각 항목에 대한 평균 및 표준편차를 산출하여 SAS program (ver 9.2, SAS Institute Inc., Cary, NC, USA)을 이용하여 One-way ANOVA를 실시하였다. 데이터의 처리 간 유의성 검정은 Duncan’s Multiple Range Test (DMRT)로 p < 0.05 수준에서 검정하였다.
결과 및 고찰
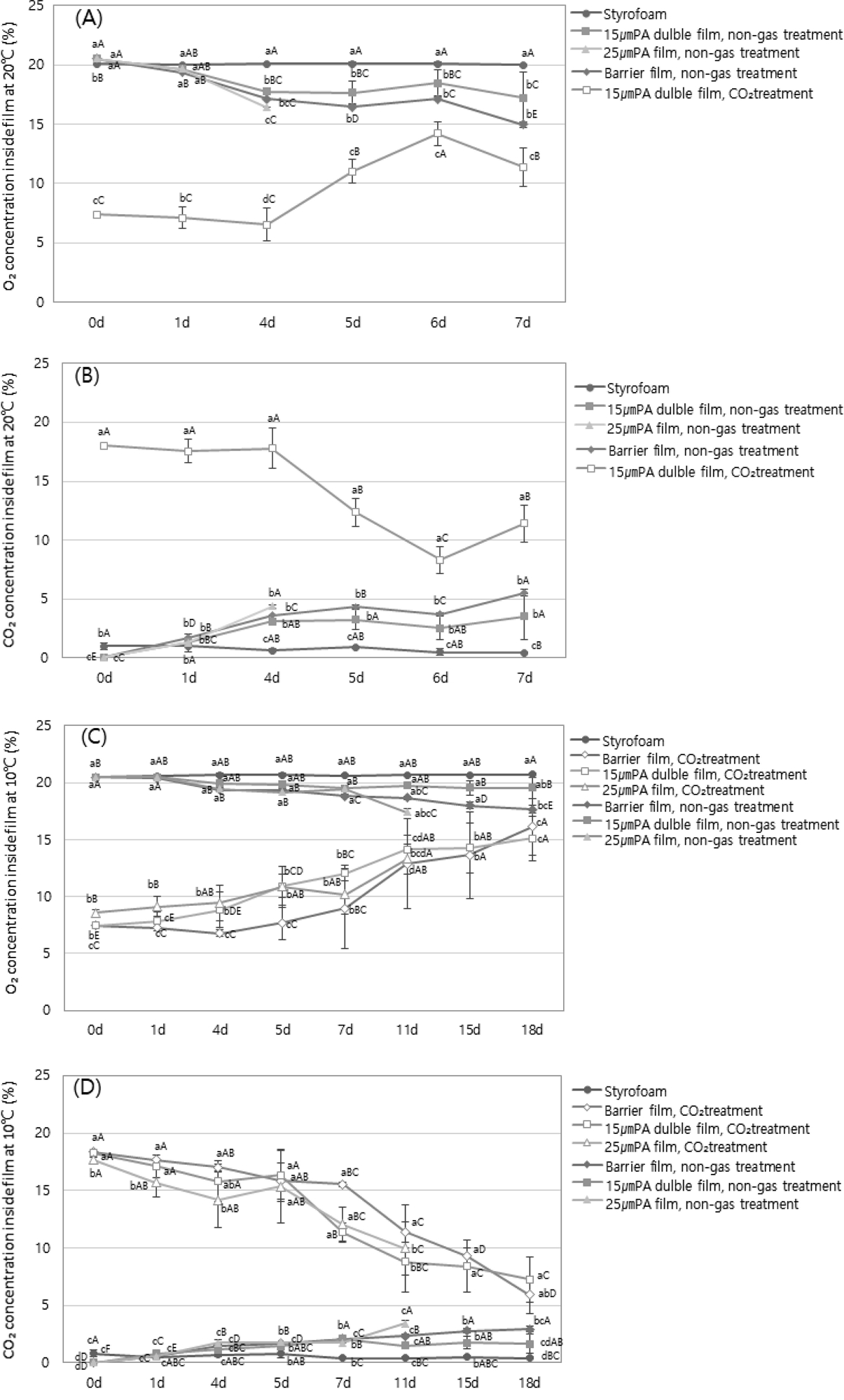
1. 새싹인삼의 필름 내 가스 변화
2019년 10월 24일에 새싹인삼 농가로부터 수확된 새싹인삼 (Panax ginseng C. A. Meyer)을 스티로폼, barrier film 및 PA film에 포장한 후 20℃와 10℃에서 유통하면서 필름 내부의 O2 및 CO2 농도의 변화를 측정한 결과를 Fig. 3에 나타내었다. 20℃의 스티로폼 포장의 경우 대기 중 O2 및 CO2 농도와 거의 동일한 것으로 조사되었고, 필름포장의 경우 유통 중 내부 가스조성이 달라지는 것을 확인하였다.
Changes in O2 and CO2 concentration with in package of ginseng sprouts with different packaging film during storage at 20℃ (A and B) and 10℃ (C and D).Values are means ± SD (n = 3). *Means with different letters indicate a significant different within each film treatment by Duncan’s Multiple Range Test (DMRT, p < 0.05). a-d; significant different between treatment, A-F; significant different between period.
O2 농도는 유통기간 중 모든 gas 무처리 필름처리구에서 감소하는 경향을 보였다. 유통 7 일에 barrier film + non gas treatment 포장의 O2 농도는 15.0%, 15㎛ PA double film + non gas treatment 포장은 17.2%를 나타내었다. 25 ㎛ PA film + non gas treatment 포장의 O2 농도는 유통 4 일까지 감소하지만 20℃ 유통에서는 유통 1 일 이후 필름의 투습도가 높은 관계로 인해 새싹인삼의 위조현상이 급격히 일어나 품질이 매우 나빠졌으며, 유통 2 일 이후 품질 조사가 무의미한 것으로 조사되었다. 반면 15 ㎛ PA double film + O2 8%, CO2 18% gas treatment 포장은 유통 4 일까지 O2 농도가 6.5%였다가 이후 급격히 증가하여 유통 7 일에 11.4%까지 증가하였다.
새싹인삼 필름처리 내부 CO2 농도의 경우 barrier film + non gas treatment 포장의 CO2 농도는 유통기간 4 일까지 3.6%까지 증가한 이후 일정하게 유지되고 유통 7 일에 5.5% 까지 증가하는 것으로 조사되었고, 15 ㎛ PA double film + non gas treatment 포장 내부의 CO2 농도 또한 barrier 필름과 유사하게 4 일까지 3.1%까지 증가한 후 유통 7 일까지 유사한 농도를 유지하는 것으로 조사되었다. 25 ㎛ PA film + non gas treatment 포장의 CO2 농도는 유통 4 일까지 4.4%까지 증가하지만 위조현상으로 품질이 매우 나빠졌다. 15 ㎛ PA double film + O2 8%, CO2 18% gas treatment포장은 유통 4 일까지 CO2 농도 18%를 유지하다가 이후 급격히 감소하여 유통 7 일에 11.4%까지 감소하였다.
10℃ 유통 중 O2 및 CO2 농도 패턴은 20℃와 유사한 경향을 보였으며 필름 간 차이를 살펴보면 barrier film이 PA film보다 gas 투과도가 더 낮아 내부의 O2 및 CO2 농도를 더 잘 유지시켜주는 것으로 조사되었지만, 유통 5 일 이후 모든 gas처리 film 내부의 CO2 gas가 급격히 감소하는 것으로 나타났다.
2. 새싹인삼의 필름 내 상대습도
새싹인삼 필름 내 상대습도를 측정한 결과는 Fig. 4와 같다. 필름 내부 평형상대습도는 새싹인삼을 포장 후 2 일 정도 지났을 때 도달했고, 유통 기간 동안 필름 내 가스 조성은 변화하였지만 상대습도의 변화는 거의 없는 것으로 조사되었다. 각 film 포장 내부 상대습도의 측정 결과 20℃ 스티로폼 포장의 상대습도는 100%, Barrier film + non gas treatment 포장은 96%, 15㎛ PA double film + non gas treatment 포장은 96%, 15㎛ PA double film + O2 8%, CO2 18% gas treatment 포장은 92%, 25㎛ PA film + non gas treatment 포장은 70%의 상대습도를 나타내었다. 일반적으로 상대습도는 공기 속에 있는 수증기 양과 그 온도에서의 포화수증기의 양과의 비를 말하는 것으로, 식품 내부의 수증기압이 주위 공기의 수증기 분압과 평형을 이루었을 때 주위 공기의 상대습도를 평형상대습도 (equilibrium relative humidity, ERH)라 한다 (Choi, 2018). 실질적으로 평형상대습도의 수치는 그 상대습도와 평형을 이루고 있는 식품 수분활성도 (water activity, Aw)의 100 배를 말하며, 수분활성도는 저장 중 미생물의 번식과 효소반응 및 비효소적 반응 등 여러 화학반응을 좌우함에 따라 품질에 직접적인 영향을 미치는 주요 요인으로 알려져 있다 (Choi, 2008). 스티로폼 포장과 barrier film 및 15 μm PA double film에 포장된 새싹인삼은 유통 7 일까지 곰팡이발생이나 무름증상이 다르게 나타나긴 했지만 잎, 줄기 뿌리 등에 위조가 발생하지 않았다. 그러나 25 ㎛ PA film에 포장된 새싹인삼의 경우 유통 1 일 이후 위조증상이 급격히 발생하여 품질평가가 불가능하였다 (Fig. 5C).
Relative humidity within package of ginseng sprouts with different packaging film during storage at 20℃ (A) and 10℃ (B).
Appearance of ginseng sprouts packed with PA film and barrier film.(A) and (B); moisture condensation not generated or generated inside the film of ginseng sprouts packaged with PA film and barrier film after storage 2 days at 10℃, (C); appearance of ginseng sprouts packaged 25 ㎛ PA film and 15 ㎛ PA double film after storage 5 days at 20℃.
10℃ 스티로폼 포장의 상대습도는 100%, barrier film + non gas treatment 포장은 100%, barrier film + O2 8%, CO2 18% gas treatment포장은 96%, 15㎛ PA double film + non gas treatment 포장은 100%, 15 ㎛ PA double film + O2 8%, CO2 18% gas treatment 포장은 96%, 25 ㎛ PA film + non gas treatment 포장은 90%, 25 ㎛ PA film + O2 8%, CO2 18% gas treatment 포장은 90%의 상대습도를 나타내었다. Barrier film 포장은 투습도가 낮기 때문에 10℃ 저온에서 저장이나 유통 시 새싹인삼의 호흡에 의한 필름 내·외부온도 편차에 의해 결로가 발생하였다 (Fig. 5B). 이전 새싹인삼 수확후 저장실험을 통해 투습도가 낮은 linear low density polyethylene (LLDPE) film이나 nylon/polyethylene (Ny/PE) film에 새싹인삼을 포장했을 경우 결로발생이 증가하는 것으로 조사되었고, 필름 내부의 결로발생은 유통 시 새싹인삼의 잎이나, 줄기, 뿌리에 무름증상을 증가시켜 품질을 감소시키는 것으로 조사되었다.
따라서 새싹인삼과 같이 유통 중에도 호흡을 하는 원예산물의 경우 온도별 호흡특성을 고려한 필름의 적용이 필요하다. 25 ㎛ PA 단일 필름 포장은 유통 기간 동안 포장 내 상대습도가 90%를 유지하였지만 유통 3 일부터 잎의 위조현상이 나타나기 시작하여 유통 5일에는 품질 조사가 무의미하였다 (Fig. 5C). 상대습도가 90% 임에도 새싹인삼에 위조현상이 발생하는 이유에 대해선 이후 좀 더 세밀한 조사가 필요하다.
스티로폼 포장에서 상대습도 100%는 관상용 및 수분유지를 위해 넣는 청수태의 영향이 큰 것으로 보이며, 일반적으로 포장 전 청수태에 수분을 먹인 후 새싹인삼에 깔거나 덮는 방식으로 포장을 하기 때문에 20℃ 및 10℃ 유통 중 스티로폼 포장에서는 필름포장에 비해 뿌리의 무름증상에 의한 손실률이 큰 것으로 조사되었다. Gas 처리 유무에 의한 필름 내 상대습도의 차이는 O2 8%, CO2 18% gas를 치환할 때 고압으로 gas를 불어넣는 방식이므로 gas를 불어넣을 때 필름 내부 새싹인삼의 수분이 일부 제거되었기 때문인 것으로 판단된다.
Polyamide film은 지방족 또는 방향족 아미드의 주쇄구조를 갖는 폴리머로서 지방족 폴리아미드는 일반적으로 나일론으로 알려져 있다. 나일론은 아미드기가 극성결합이므로 수분과 수소결합을 하여 수분을 흡수하는 특성을 갖고 있으며, 100% 상대습도에서 약 9% - 10%의 수분을 흡수한다. 흡수성은 고분자 주쇄의 비극성부분인 메틸렌기의 수가 많아질수록 주쇄 중 아미드기의 상대적 농도가 감소하기 때문에 감소한다고 알려져 있다 (Kim and Kim 2015; Park et al., 2019)
25 ㎛ PA film 포장 새싹인삼의 상대습도가 20℃에서 70%, 10℃에서 90%인 이유도 필름 내부의 수분함량과 필름의 흡수성, 또한 필름 외부의 상대습도 함량에 의해 조절되기 때문에 barrier film에 비해 낮은 상대습도를 갖는 것으로 사료된다. 그러나 15 ㎛ PA double film의 경우 필름 내부의 수분이 필름에 흡수되었다 해도 이중필름처리에 의해 외부로의 수분이동이 어렵기 때문에 25 ㎛ PA film 단일필름처리 포장에 비해 필름 내부 상대습도가 높게 유지되는 것으로 사료된다.
실험을 통해 필름포장에서는 상대습도함량이 새싹인삼의 품질에 중요한 요인으로 작용하며, PA film이 저온 유통 중 결로가 발생하지 않기 때문에 새싹인삼과 같이 수분에 취약한 원예산물의 유통에 적합한 필름이지만, 위조현상을 막기 위해서는 필름의 두께를 조절하거나 단일필름처리가 아닌 이중·삼중필름처리 또는 복합 필름처리에 의해 위조현상을 막고, 필름 내부와 외부의 상대습도 차이가 크지 않도록 습도를 조절해 주는 것이 저장이나 유통 중 새싹인삼의 상대습도에 의한 품질 손실을 막을 수 있을 것으로 사료된다 (Fig. 5A, 5C).
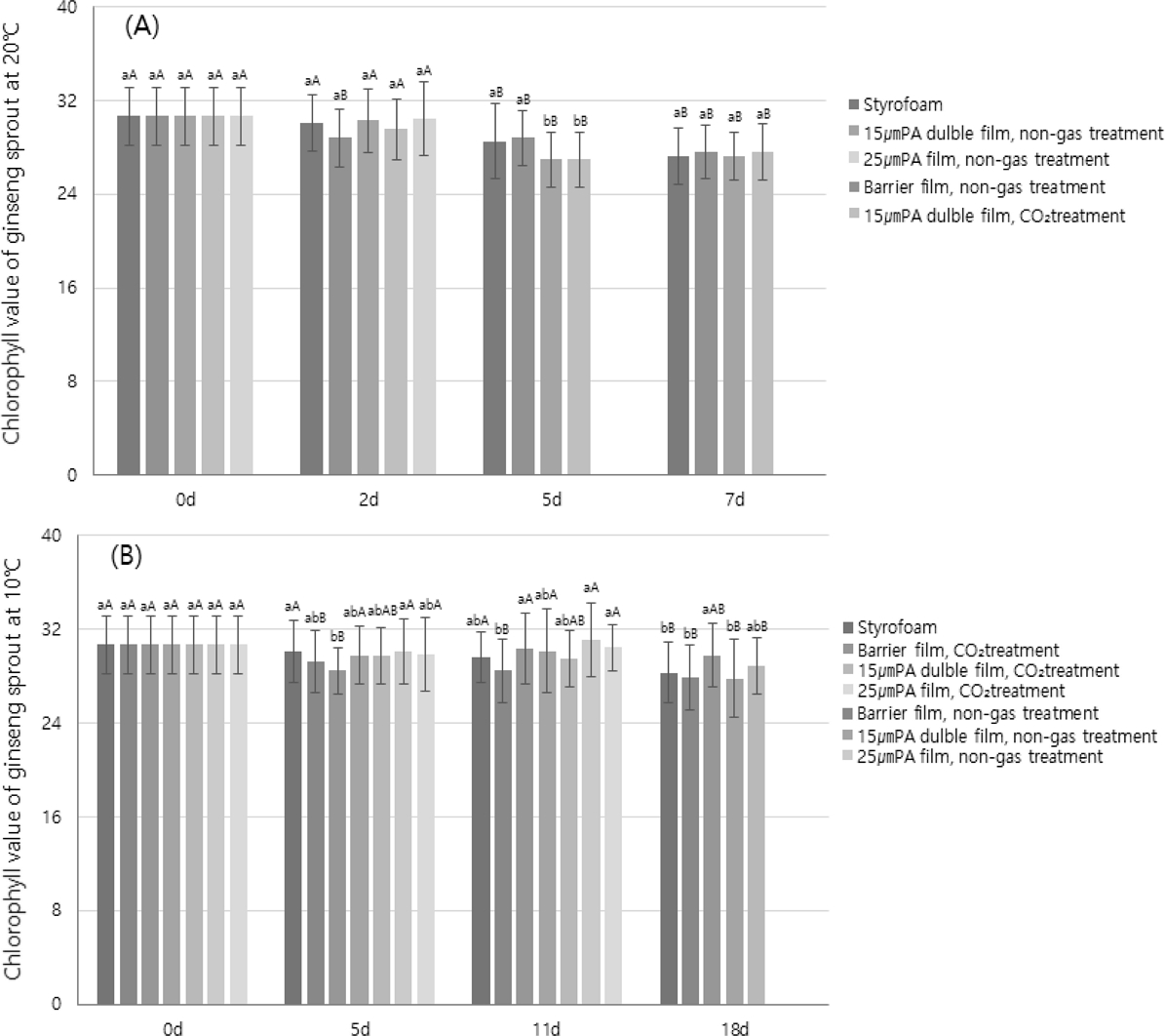
3. 엽록소함량
새싹인삼 잎의 엽록소함량 (SPAD value)은 유통 중 각 필름처리의 새싹인삼 중 엽장 및 엽폭이 평균 사이즈 (3.52 ± 2.34 ㎝, 1.69 ± 2.30 ㎝) 정도 되는 건전한 새싹인삼 잎 30 개씩을 측정하여 평균값으로 나타내었다 (Fig. 6).
Chlorophyll content of ginseng sprouts with different packaging film during distribution at 20℃ (A) and 10℃ (B).Values are means ± SD (n = 30). *Means with different letters indicate a significant different within each film treatment by Duncan’s Multiple Range Test (DMRT, p < 0.05). a-d; significant different between treatment, A-F; significant different between period.
20 ℃ 유통 0 일에 새싹인삼의 엽록소함량은 30.7 ± 2.5에서 유통 7 일에 스티로폼 포장은 27.2 ± 2.4, barrier film + non gas treatment 포장은 27.6 ± 2.3, 15 ㎛ PA double film + non gas treatment 포장은 27.2 ± 2.1, 15㎛ PA double film + O2 8%, CO2 18% gas treatment 포장은 27.6 ± 2.4로 값이 감소하였으며, 필름 및 gas처리에 의한 엽록소함량의 차이는 보이지 않았다. 25 ㎛ PA film + non gas treatment 포장은 유통 2 일 이후 잎의 시듦 현상이 급격히 일어나 엽록소 분석은 불가능하였다 (Fig. 6A).
10 ℃ 유통의 새싹인삼의 엽록소함량은 0 일에 30.7 ± 2.5에서 유통 18 일에 스티로폼 포장은 28.3 ± 2.6, barrier film + non gas treatment 포장은 27.9 ± 2.8, barrier film + O2 8%, CO2 18% gas treatment 포장은 29.8 ± 2.7, 15㎛ PA double film + non gas treatment 포장은 27.8 ± 3.3, 15㎛ PA double film + O2 8%, CO2 18% gas treatment 포장은 28.9 ± 2.4로 값이 감소하였으나, 25 ㎛ PA film + non gas treatment 포장과 25 ㎛ PA film + O2 8%, CO2 18% gas treatment 포장은 유통 5 일에 새싹인삼 잎의 위조현상이 심하게 발생해 초기보다 엽록소함량이 더 높게 측정되었다. 본 실험에서 유통 중 새싹인삼의 엽록소함량은 대체로 감소하는 경향을 보였으며, 사용된 필름의 종류나 gas처리 유무에 의한 값의 차이는 나타나지 않았다 (Fig. 6B).
Seong 등 (2019)은 새싹인삼의 재배시기별 엽록소 함량을 측정한 결과 재배일수 20 일째 31.7 ± 0.3에서 재배일수 60 일째 26.5 ± 0.2로 재배일수가 증가함에 따라 엽록소함량이 감소하였다고 보고하였다. 본 실험에 사용된 새싹인삼의 재배일수는 25 일 정도였고 포장 전 엽록소함량이 30.7 ± 2.5를 나타내어 성 등과 비슷한 엽록소함량을 나타내었다. 줄기의 경장은 평균 7.15 ± 10.4 ㎝로 측정되었고, 뿌리의 근장의 길이는 평균 11.6 ± 18.4 ㎝로 측정되었다. Seong 등 (2019)은 재배시기별 새싹인삼의 생육특성을 조사했을 때 재배 20 일경잎의 엽장과 엽폭은 각각 4.02 ± 0.35 ㎝, 1.72 ± 0.22 ㎝이었고, 줄기의 경장은 7.24 ± 7.71 ㎝, 뿌리의 근장은 9.84 ㎝로 나타났다고 보고해 5일 가량 재배일수가 더 된 본 연구의 새싹인삼보다 잎의 엽장과 엽폭이 더 큰 것으로 보고되어 새싹인삼의 재배환경 및 재배방식이 생육특성에 크게 영향하는 것으로 판단된다.
재배환경과 재배방식의 차이는 수확 후 처리에서도 차이가 나기 때문에 차후 실험에서는 재배환경 및 재배방식과 생육특성, 재배환경과 기능성분의 특성 등과 관련된 실험의 수행이 필요할 것으로 보인다.
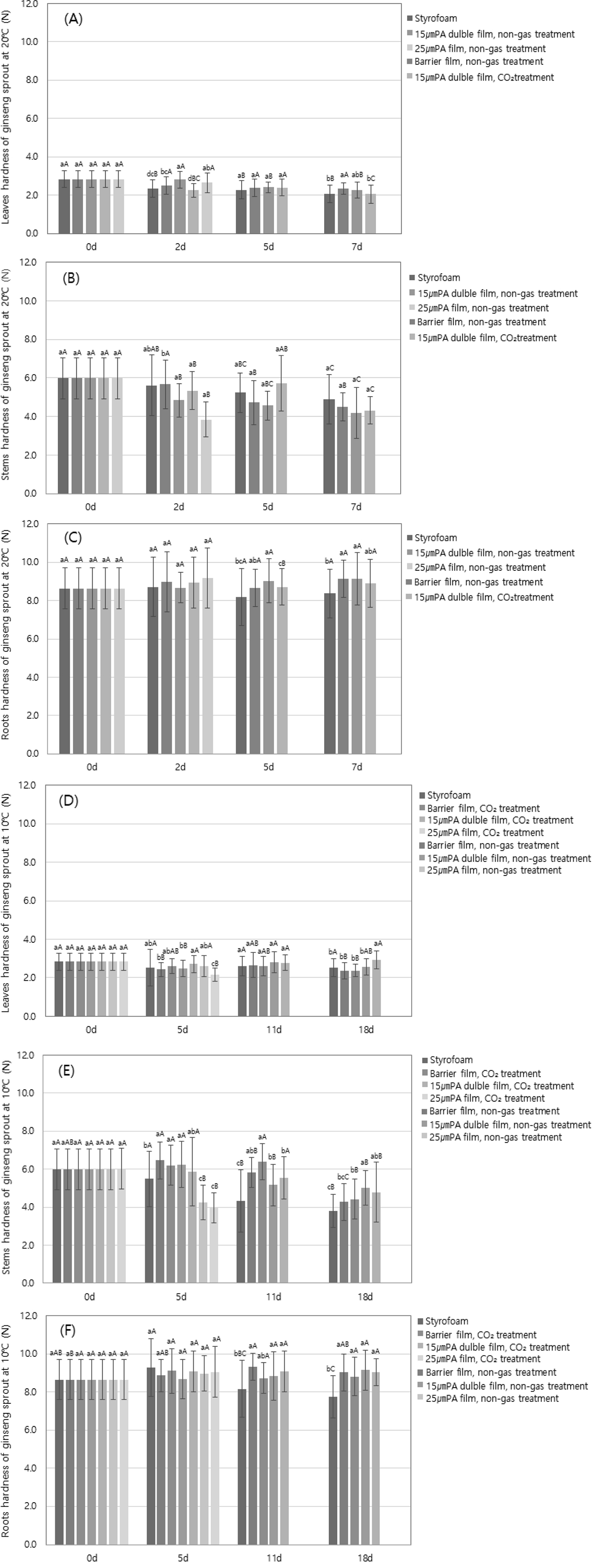
4. 새싹인삼 경도변화
새싹인삼은 잎, 줄기, 뿌리를 모두 식용하는 것을 목적으로 재배되는 것이기에 경도가 중요한 소비자 기호도 요인 중의 하나이다. 특히 새싹인삼의 잎, 뿌리의 경도보다 줄기의 경도가 중요하기 때문에 일반적으로 20 일에서 40 일까지 재배 후 출하하게 된다 (Seong et al., 2019).
실험에서 25 일 정도 재배된 새싹인삼을 다양한 필름에 포장하고 O2 8% 및 CO2 18% 처리 유무에 따라 유통하면서 새싹인삼의 경도변화의 결과를 Fig. 7에 나타내었다. 새싹인삼 잎의 경도는 수확 초기 2.8 N이었고, 줄기의 경도는 초기 6.0 N, 뿌리의 경도는 초기 8.6 N이었다. 새싹인삼의 경도는 잎, 뿌리의 경우 20℃, 10℃ 모두 초기와 비슷하거나 약간 증가하는 경향을 보였고, 그 중 스티로폼 포장이 다른 필름포장이나 가스처리에 비해 경도 값이 감소하는 경향을 보였다. 줄기의 경도는 20℃, 10℃ 유통 중 모든 처리에서 초기보다 감소하는 경향을 보였고 포장 방법에 따라 값의 차이가 유의하게 나는 것은 아니지만 스티로폼 포장의 경우 20℃ 유통에서는 다른 포장에 비해 경도 값이 높게, 10℃에서는 경도 값이 낮게 측정되었다.
Hardness of leaves, stems and roots of ginseng sprouts with different packaging film during distribution at 20℃ (A, B and C) and 10℃ (D, E and F).Values are means ± SD (n = 30). *Means with different letters indicate a significant different within each film treatment by Duncan’s Multiple Range Test (DMRT, p < 0.05). a-d; significant different between treatment, A-F; significant different between period.
25 ㎛ PA film의 경우 유통 2 일 (20℃)이나 5 일 (10℃)에 위조현상으로 특히 잎의 수분함량이 많이 제거되어 새싹인삼이 수축되는데 잎과 뿌리에서 경도 값이나 줄기에서 경도값의 감소는 유통 중 새싹인삼 내부의 수분함량과 상관이 클 것으로 생각된다.
Seong 등 (2019)은 묘삼을 상토에 이식한 후 새싹인삼의 잎, 줄기 및 뿌리 부분을 다 식용하기에 적절한 최소한의 크기로 재배할 경우 재배일수가 20 일이었으나 크기가 작아서 수확량이 낮아 비효율적이라 하였고, 재배일수를 고려하지 않고 무한정으로 키울 때는 줄기부분이 경화되어 새싹인삼으로서의 가치가 떨어지고 소비자들의 기호도가 낮아진다고 하였다. 또한 줄기의 경화는 잎, 뿌리에 비해 소비자들이 섭취하기에 가장 큰 걸림돌이 되는 부분이기 때문에 새싹인삼의 재배 시 고려되어야 할 부분이라 보고하였다.
Seong 등 (2019)의 결과에서는 새싹인삼의 모든 부위를 식용하기에 적절한 경도와 씹힘성을 가진 시기는 무가온 비닐하우스에서 재배할 경우 40 일 경이며 물성의 수치로서는 hardness와 stiffness가 각각 2.0 및 8.0㎏·f/㎜ 미만일 때가 기호도면이나 수확량에서 가장 좋다고 보고하였다.
본 실험에는 새싹인삼을 1 년 동안 매달 수확하여 필름포장 연구를 수행했을 때 25 일정도 재배해도 계절마다 새싹인삼의 크기가 상당히 차이가 났기 때문에 계절별 새싹인삼의 특성을 연구할 필요가 있으며, 일반적으로 농가에서는 묘삼을 저온저장고에 1 년 가까이 저장하면서 새싹인삼이 20 일에서 40 일 정도 자란 후 수확이 되면 수확된 자리에 저장된 묘삼을 새로 재식하는 방식으로 재배하기 때문에 묘삼의 저장일수에 따라서도 새싹인삼의 품질에 영향을 미칠 것으로 생각된다.
5. 새싹인삼의 손실률
새싹인삼을 다양한 필름에 포장하고 O2 8% 및 CO2 18% 처리 유무에 따라 유통하면서 새싹인삼의 손실률을 조사한 결과를 Fig. 8에 나타내었다. 새싹인삼의 손실률은 임의로 나눈 5 단계 중 0 단계와 1 단계의 품질 즉, 수확 당시와 같이 외관의 품질이 좋고 유통 가능한 새싹인삼을 제외한 2 단계에서 4 단계 즉, 유통 중 곰팡이 발생이나 무름증상 발생 및 위조현상이 나타나 품질이 나빠진 것을 새싹인삼의 손실률로 나타내었다.
Good product rate, quality loss rate and 20% distribution limit loss rate (red line) of ginseng sprouts with different packaging film during distribution at 20℃ (A and B) 10℃ (C and D).(A); good product rate at 20℃, (B); quality loss rate at 20 ℃, (C); good product rate at 10℃, (D); quality loss rate at 10℃. Each value represents the means ± SD (n = 3). *Means with different letters indicate a significant different within each film treatment by Duncan’s Multiple Range Test (DMRT, p < 0.05). a-d; significant different between treatment.
20 ℃ 유통 중 0 단계에서 1 단계 새싹인삼의 비율은 유통 5 일에 스티로폼 포장의 경우 38.5%로 조사되었고, barrier film + non gas treatment 포장은 77.4%, 15㎛ PA double film + non gas treatment 포장은 97.9%, 15㎛ PA double film + O2 8%, CO2 18% gas treatment 포장은 91.7%로 조사되었지만, 25㎛ PA film + non gas treatment 포장은 유통 2일 후에 모든 개체의 새싹인삼에서 위조현상이 급격히 일어나 0 단계와 1 단계 품질의 새싹인삼은 존재하지 않았다. 20℃에서 손실률 20%를 유통 한계 손실률로 설정하여 품질을 평가했을 때 유통 5 일에 손실률 20%에 도달하는 새싹인삼은 스티로폼 포장, barrier film + non gas treatment 포장, 25 ㎛ PA film + non gas treatment 포장이었고, 유통 7 일에도 유통한계 손실률 20%에 포함되지 않는 포장은 15 ㎛ PA double film + O2 8%, CO2 18% gas treatment 포장이었다.
10℃ 유통 중 0 단계와 1 단계 새싹인삼의 비율은 유통 18 일에 스티로폼 포장의 경우 46.9%, barrier film + non gas treatment 포장은 72%, barrier film + O2 8%, CO2 18% gas treatment 포장은 83.2%, 15㎛ PA double film + non gas treatment 포장은 72.6%, 15㎛ PA double film + O2 8%, CO2 18% gas treatment 포장은 88.5%를 나타내었고, 25 ㎛ PA film + non gas treatment 포장과 25 ㎛ PA film + O2 8%, CO2 18% gas treatment 포장은 10℃ 유통 5 일에 새싹인삼의 위조현상으로 인해 0 에서 1 단계 품질의 새싹인삼은 존재하지 않았다.
10℃에서 유통 18 일에 한계 손실률 20%에 도달하지 않는 필름포장은 barrier film + O2 8%, CO2 18% gas treatment 포장과 15 ㎛ PA double film + O2 8%, CO2 18% gas treatment 포장이었다. 새싹인삼의 유통 중 손실률에 영향을 미치는 주요인은 스티로폼 포장의 경우 뿌리와 잎 무름증상이었고, 필름 포장의 경우 뇌두 부위의 곰팡이 발생이 주요인으로 조사되었다.
필름포장의 경우 새싹인삼의 무름증상은 많이 완화시켰지만, 상대적으로 뇌두부위 곰팡이 발생이 문제가 되어 이를 억제시키기 위해 O2 8%, CO2 18%를 적용했을 때 새싹인삼의 곰팡이 발생을 억제시킬 수 있는 것으로 조사되었다. 필름내부에 O2 8%, CO2 18%를 인위적으로 주입하지 않더라도 새싹인삼의 호흡에 의한 필름내부의 기체조성이 적절히 유지된다면 barrier film + non gas treatment 포장이나 15㎛ PA double film + non gas treatment 포장에서도 곰팡이 발생을 억제할 수 있을 것으로 판단된다.
본 실험에서 새싹인삼의 유통에는 barrier film과 같이 투습도와 가스투과도가 모두 낮은 필름을 적용해도 품질유지가 좋은 것으로 조사되었지만 저온 유통 시 필름내부의 결로 발생을 해결해야하는 문제가 있고, PA film과 같이 흡습성이 너무 크면 위조발생의 문제가 있기 때문에 적절한 흡습성을 갖도록 필름의 극성을 조절하거나 이중필름의 효과를 낼 수 있는 방법으로 포장을 한다면 새싹인삼의 유통 시 발생하는 무름증상이나 부패의 문제를 해결할 수 있으면서 유통기간을 늘릴 수 있을 것으로 판단된다.
Acknowledgments
본 연구는 농촌진흥청 연구사업(과제번호: PJ01260501)의 지원에 의해 이루어진 결과로 이에 감사드립니다.
References
-
Ahn SE, Wang MH, Lee AY and Hwang YS. (2014). Effects of short-term treatment of high pressure CO2 on the changes in fruit quality during the storage of ‘Maehyang’ strawberries. Korean Journal of Agricultural Science. 41:9-16.
[https://doi.org/10.7744/cnujas.2014.41.1.009]
- Choi BM. (2008). Desorption EMC/ERH of soybean. Korean Journal of Food Preservation. 15:74-78.
-
Choi BM. (2018). Equilibrium moisture content/equilibrium relative humidity of barley. Korean Journal of Food Preservation. 25:543-548.
[https://doi.org/10.11002/kjfp.2018.25.5.543]
- Choi JE, Li X, Han YH and Lee KT. (2009). Changes of saponin contents of leaves, stems and flower-buds of Panax ginseng C. A. Meyer by harvesting days. Korean Journal of Medicinal Crop Science. 17:251-256.
-
Costa C, Lucera A, Conte A, Mastromatteo M, Speranza B, Antonacci A and Del Nobile MA. (2011). Effects of passive and active modified atmosphere packaging conditions on ready-to-eat table grape. Journal of Food Engineering. 102:115-121.
[https://doi.org/10.1016/j.jfoodeng.2010.08.001]
-
Del Nobile MA, Baiano A, Benedetto A and Massignan L. (2006). Respiration rate of minimally processed lettuce as affected by packaging. Journal of Food Engineering. 74:60-69.
[https://doi.org/10.1016/j.jfoodeng.2005.02.013]
-
Jun SY, Kim TH and Hwang SH. (2012). The consumption status and preference for sprouts and leafy vegetables. Korean Journal of Food Preservation. 19:783-791.
[https://doi.org/10.11002/kjfp.2012.19.5.783]
- Jung HB. (2018). Processing and quality characteristics of the high value-added seafood products using Panax ginseng sprout. Ph. D. Thesis. Gyeongsang National University. Korea. p.8.
-
Jung SH, Kang JH, Park SJ, Seong KH and Song KB. (2014). Quality changes in 'Elliot' blueberries and 'Sulhyang' strawberries packed with two different packaging materials during refrigerated storage. Journal of the Korean Society of Food Science and Nutrition. 43:901-908.
[https://doi.org/10.3746/jkfn.2014.43.6.901]
- Kim DS and Lee KB. (2010). Physiological characteristics and manufacturing of the processing products of sprout vegetables. Korean Journal of Food Cookery Science. 26:238-245.
- Kim IS, Han SH and Han KW. (1997). Study on the chemical change of amino acid and vitamin of rapeseed during germination. Journal of Korean Society of Food Science and Nutrition. 26:1058-1062.
-
Kim JG, Choi JW and Park MH. (2016). Effect of different days of postharvest treatment and CO2 concentrations on the quality of ‘Seolhyang’ strawberry during storage. Korean Journal Food Preservation. 23:12-19.
[https://doi.org/10.11002/kjfp.2016.23.1.12]
-
Kim SM and Kim KJ. (2015). Effects of moisture and temperature on recrystallization and mechanical property improvement of PA66/GF composite. Polymer. 39:880-888.
[https://doi.org/10.7317/pk.2015.39.6.880]
- Lee HE, Lee JS, Choi JW, Pae DH and Do KR. (2009). Effect of mechanical stress on postharvest quality of baby leaf vegetables. Korean Journal of Food Preservation. 16:699-704.
-
Lee KS and Park GS. (2014). Studies in the consumption and preference for sprout vegetables. Journal of the East Asian Society of Dietary Life. 24:896-905.
[https://doi.org/10.17495/easdl.2014.12.24.6.896]
- Park MY. (2017). A study on the optimization of wild-simulated ginseng in the forest. Master Thesis. Silla University. Korea. p.1-11.
-
Park SY, Kim TK, Walallawita R, Lee HH and Lee KJ. (2019). Effects of test temperature and water absorption on elastic modulus of polyamide 6. Transactions of The Korean Society of Automotive Engineers. 27:291-299.
[https://doi.org/10.7467/KSAE.2019.27.4.291]
-
Seong BJ, Kim SI, Jee MG, Lee HC, Kwon AR, Kim HH, Won JY and Lee KS. (2019). Changes in growth, active ingredients, and rheological properties of greenhouse-cultivated ginseng sprout during its growth period. Korean Journal of Medicinal Crop Science. 27:126-135.
[https://doi.org/10.7783/KJMCS.2019.27.2.126]
-
Waghmare RB and Annapure US. (2013). Combined effect of chemical treatment and/or modified atmosphere packaging(MAP) on quality of fresh-cut papaya. Postharvest Biology and Technology. 85:147-153.
[https://doi.org/10.1016/j.postharvbio.2013.05.010]
-
Yahara S, Kaji K and Tanaka O. (1979). Further study on dammarane-type saponins of roots, leaves, flower-buds, and fruits of Panax ginseng C. A. Meyer. Chemical and Pharmaceutical Bulletin. 27:88-92.
[https://doi.org/10.1248/cpb.27.88]
