
Growth Characteristics of Turmeric (Curcuma longa L.) Germplasms and Storage Conditions of Seed Rhizomes
; Myeong Won Oh2
; Hyun Do Jang3 ; Yun Ji Lee4
; Jin Tae Jeong5
; Chun Geon Park6
This is an open access article distributed under the terms of the Creative Commons Attribution Non-Commercial License (http://creativecommons.org/licenses/by-nc/3.0/) which permits unrestricted non-commercial use, distribution, and reproduction in any medium, provided the original work is properly cited.
Abstract
Curcuma longa L., a perennial crop originating from tropical and subtropical region, including India, is noted for its important medicinal properties. However, C. longa plants are unable to endure the winter season in Korea, and its rhizomes were invariably succumb to fungal infection when stored in polyvinyl bags. In this study, we accordingly sought to develop a C. longa variety capable of producing high rhizome yields and to identify stable conditions under which rhizomes can be stored in Korea.
We evaluated the agronomic characteristics of nine C. longa germplasms and examined the effects of storing rhizomes at different temperatures (4℃ to 24℃) in paper bags or plastic baskets. We found that the finger rhizomes was higher in CUR02, CUR03, and CUR06 germplasms than those of other groups. Furthermore, in terms of yield per 1 m2, the weights of the finger rhizomes and tuberous roots were significantly higher in CUR09 (3.4 ㎏/m2) and CUR04 (678.7 g/m2) than those of other groups. Therefore, we consider that these C. longa germplasms might be useful as breeding material. Although the fresh weights of the rhizomes were slightly reduced when stored in paper bags and a plastic baskets at 10℃ to 15℃, there was no evidence of fungal decomposition or sprouting, which is observed when using a conventional storage method.
The results of this study indicate that the selected C. longa germplasms can provide a useful source of breeding material for the development of high yielding varieties and that a temperature ranging from 10℃ to 15℃ and the use of paper bags or plastic baskets provide stable post-harvest storage conditions for C. longa rhizomes.
Keywords:
Curcuma longa L., Turmeric, Agronomic Characteristics, Storage Condition, Seed, RhizomeINTRODUCTION
Curcuma longa L. is a rhizomatous, herbaceous, perennial plant belonging to the family Zingiberaceae, and comprises approximately 70 species worldwide (Smartt and Simmonds, 1992). It is commonly distributed throughout tropical and/or subtropical regions including Cambodia, China, India, Nepal, and etc., and particularly cultivated in India and China (Araujo and Leon, 2001). It is frequently cultivated to harvest the rhizomes (underground portion) as a medicinal herb; therefore, it is considered an important economic crop (Govindarajan and William, 1980). The deep orange-yellow powder is known as a turmeric obtained from dried its rhizomes (Li et al., 2011) and used in seasoning and cosmetics. Additionally, there is a specific interest in turmeric because of its reported medicinal potential (Cousins et al., 2007).
A total of 235 compounds have been detected in the leaves, flowers, roots, and rhizomes of C. longa, including 22 diarylheptanoids and diarylpentanoids, 8 phenylpropene and other phenolic compounds, 68 monoterpenes, 109 sesquiterpenes, 5 diterpenes, 3 triterpenoids, 4 sterols, 2 alkaloids, and 14 other compounds (Li et al., 2011). Turmeric also contains curcumin, which confers a yellow color (Jayaprakasha et al., 2002). Turmeric oil is reported to possess biological activity, including carminative, anti-fungal, and anti-platelet effects (Lee, 2006). Additional reports attribute anti-inflammatory, anti-cancer, anti-tumor, anti-viral, and hepatoprotective activity to turmeric (Ammon and Wahl, 1991). In addition to the above-mentioned activities, C. longa has pharmacological activities such as antioxidant, anticoagulant, anti-diabetic, anti-microbial, anti-ulcer, wound healing, and anti-fertility (Yadav and Tarun, 2017).
The underground part of C. longa is divided into three parts: Finger rhizome, tuberous root, and root. The C. longa rhizome which is composed of a mother rhizome with primary, secondary, and tertiary fingers, is very large, yellow when horizontally cut, and has a unique scent (An, 2000). C. longa typically demonstrates a nutritional growth period of 7 to 8 months and undergoes a flowering period for 2 to 3 months. The rhizome is formed when flowering begins and it enters a period of dormancy when flowering stops and the aerial portion withers.
The humid climate and temperature between 20℃ and 30℃ are needed for C. longa cultivation. It grows well under rich sunshine in fertile, sandy soil, that is well drained. However, Curcuma spp. plants including C. longa do not grow naturally in Korea. C. longa is produced as an annual plant by using rhizomes because a “seed” in Korea as seeds are not produced in its life cycle.
When C. longa are cultivated in Korea, the resulting rhizomes are considered inappropriate for medicinal use due to low pharmacological composition of curcumin. In addition, Korean environmental conditions also result in a reduced yield of rhizome. Therefore, to produce a high yield of rhizome with improved quality, further studies of C. longa development are needed.
The rhizome does not survive well in winter owing to cold injury resulting from the low temperatures in Korea (Lim et al., 2013), and thus it is important to consider the optimal storage methods employed during the winter season. One study suggested that planting needs to occur at the end of April in southern parts in Korea, due to the thermophilic properties of this crop (Choi, 2004). Rhizomes were stored by packing in polyvinyl bags in a warm area or on the ground and sprayed with water at intervals of a few days. However, this method was not proven and resulted in the growth of fungi. Another report suggested packing C. longa rhizomes with vermiculite and maintaining the temperature above 10℃ (Lim et al., 2013). Vermiculite absorbs moisture initially but its potential to cause corruption is a concern.
In this study, we evaluated several C. longa genetic resources to determine their agronomic traits and to utilize as a breeding material. Additionally, we evaluated different storage temperatures and containers in an attempt to discover stable rhizome storage methods which do not involve curing.
MATERIALS AND METHODS
1. Plant materials
The Curcuma longa L. genetic germplasms used for evaluation of growth characteristics comprised a total of 9 germplasms (Table 1). The materials were collected in Korea, China, and Japan and was provided from the National Agrobiodiversity Center (Jeonju, Korea). These were compared with C. longa cultivated in Jindo of Jeollanamdo as a control, which is known as local species (Jindo henceforth). In addition, C. longa seed rhizomes were divided into three or four for evaluation of different storage conditions as outlined below.
The test field formed ridges and covered with black plastic bags after the compost was applied using basal fertilization at a total of 4,000 ㎏ per 10 a, considering the soil fertility. The experiment plot was arranged by the randomized complete block design with triplicate. For planting density, furrow spacing was 30 ㎝ in the 90 ㎝ ridges, with 20 ㎝ of plant intervals. The yield was converted to the yield per 10 a after harvesting in 1 m2 experiment plot.
2. Agronomic characteristics
C. longa germplasms were cultivated in a National Institute for Horticulture and Herbal Science (NIHHS) experimental field located in Eumseong according to the standard cultural practices. The emergence rate was investigated after 50 days.
The harvested C. longa plants were examined for agronomic characteristics including plant height, leaf length, leaf width, finger rhizome weight, tuberous root weight, etc. The underground portion was also divided into 2 sections and examined (Fig. 1). Investigations were performed from 2015 to 2016 and three independent experiments were performed, representing biological replicates. All data had shown the average of 2 years.
3. Storage conditions
Rhizomes were placed in a paper bag and a plastic basket, respectively. And they were stored at 4℃, 10℃, 15℃, and 24℃ (room temperature, RT hereafter) for 30, 60, and 90 days.
The conventional storage method (in sealed polyvinyl bags at 4℃, sprayed with water every 2 days) was compared as a control. Every 30 days, the loss of fresh weight, the level of fungal contamination, and sprouting rate were recorded. This experiment had a randomized complete block design. Three independent experiments were performed, representing biological replicates.
4. Statistical analysis
Statistical significance of the results was evaluated using One-way ANOVA for comparisons between multiple groups. All calculations were performed using SPSS software Version 22.0 (IBM Co., Armonk, NY, USA). Differences were considered statistically significant at a p value of < 0.05.
RESULTS AND DISCUSSION
1. Agronomic characteristics of germplasms
To develop new Curcuma longa L. varieties with improved yield and quality and adapted to a Korean cultivation environment, growth characteristics including emergence rate for aerial and underground portions of C. longa plants were evaluated.
Fig. 2 showed the appearance of the underground portion of C. longa. Emergence rate was examined from 50 days after rhizome transplantation. The date of sprouting was earlier for CUR02 and CUR03 than for the control Jindo, however, the overall emergence rate was above 95%, indicating that these resources had the high germination rate (Table 2).
Characteristics of the underground portion of C. longa germplasm.(A); CUR01, (B); CUR02, (C); CUR03, (D); CUR04, (E); CUR05, (F); CUR06, (G); CUR07, (H); CUR08, (I); CUR09.
There was no significantly difference among 9 germplasms during the initial growth stage, while during the later growth stage, CUR04 had the longest plant height. The weight of the aerial portion was 584.1, 577.5, and 610.3 g/plant in CUR03, CUR04, and CUR06, respectively, which were higher than that of other germplasms (Table 3).
Yield per unit area was determined by calculating the number of plants and the weight of root, finger rhizome, and tuberous root. The weight of finger rhizome among individuals in CUR02, CUR03, and CUR06 was 222.9, 222.5, and 225.9 g/plant, respectively, which were higher than those of other groups. The tuberous root weight was the highest in CUR04, which was 23.5 g (Table 4).
On the other hand, when compared to the yield per 1 m2, a yield of finger rhizome was significantly higher in CUR09 (3.4 ㎏/m2), CUR01 (3.3 ㎏/m2), and CUR06 (3.3 ㎏/m2), and that of tuberous root was significantly higher at CUR04 (678.7 g/m2) among 9 germplasms (Table 5). However, there was no significant correlation between finger rhizome and tuberous root, it is considered that the yield was decided by individual characteristics or environmental difference.
Assessing genetic resources is considered to be crucial for the genetic improvement of crops. Evaluation of genetic diversity assists in improving the understanding of the genetic background and in demonstrating the breeding value of different germplasm lines.
Plant height and number of leaves have been reported to be determinants of yield potential in individual genotypes in the context of improving turmeric crops (Narayanpur and hanamashetti, 2003).
Therefore our study might be used as fundamental data for breeding variety through the evaluation of the agronomical characteristics of collected C. longa.
2. Storage conditions of seed rhizomes
This study was conducted to determine the optimal conditions for storage of rhizomes during the winter season. Fresh weight loss, decomposition rate attributed to fungi and sprout rate were evaluated according to the storage containers and temperature.
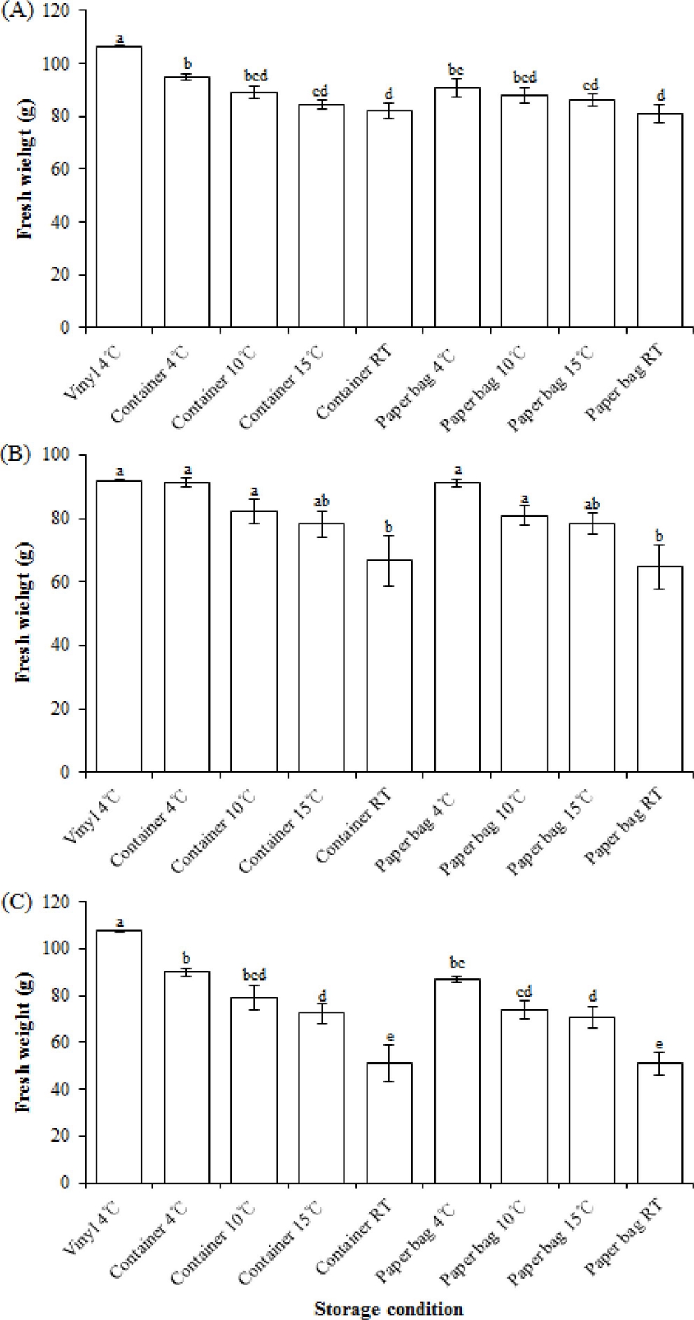
When rhizomes were stored in a polyvinyl bag at 4℃, as in a conventional method, fresh weights increased due to water absorption. However, when stored in a paper bag and basket container, there was no significant change. At 10℃ and 15℃, there was no remarkable difference or a slight decrease whereas at RT conditions (24℃), fresh weight markedly decreased when stored in paper bags and basket containers (Fig. 3). These results suggest that paper bags and basket containers are better than polyvinyl bags for rhizome storage.
Changes in fresh weight (g) of C. longa rhizome exposed to different storage conditions.The storage duration of C. longa rhizome was 30 days, 60 days, and 90 days, respectively, which shown (A), (B), and (C). Data are shown as means ± SD from three independent biological replicates. *Means with the same letter are not significantly different according to Duncan’s Multiple Range Test (DMRT, p < 0.05).
When C. longa rhizomes were stored at 4℃ in a polyvinyl bag, fungal decomposition rate was significantly higher, suggesting that fungal growth occurred due to the addition of water (Fig. 4). When ginger rhizomes were stored in polyethylene file, the weight loss ratio was lower than that of the control (untreated) rhizomes; however, decomposition rate and incidence of fungi were higher (Choi and Kim, 2001). Bambirra et al. (2002) also reported that polyethylene bags were not suitable material for storage of the ground turmeric due to allowing absorption of moisture. This result was shown the same tendency to our present study, which rhizomes stored in polyvinyl bag were absorbed moisture and it induced the fungal decomposition.
Incidence of fungal decomposition in C. longa rhizome exposed to different storage conditions.The storage duration of C. longa rhizome was 30 days, 60 days, and 90 days, respectively, which shown (A), (B), and (C). Data are shown as means ± SD from three independent biological replicates. *Means with the same letter are not significantly different according to Duncan’s Multiple Range Test (DMRT, p < 0.05).
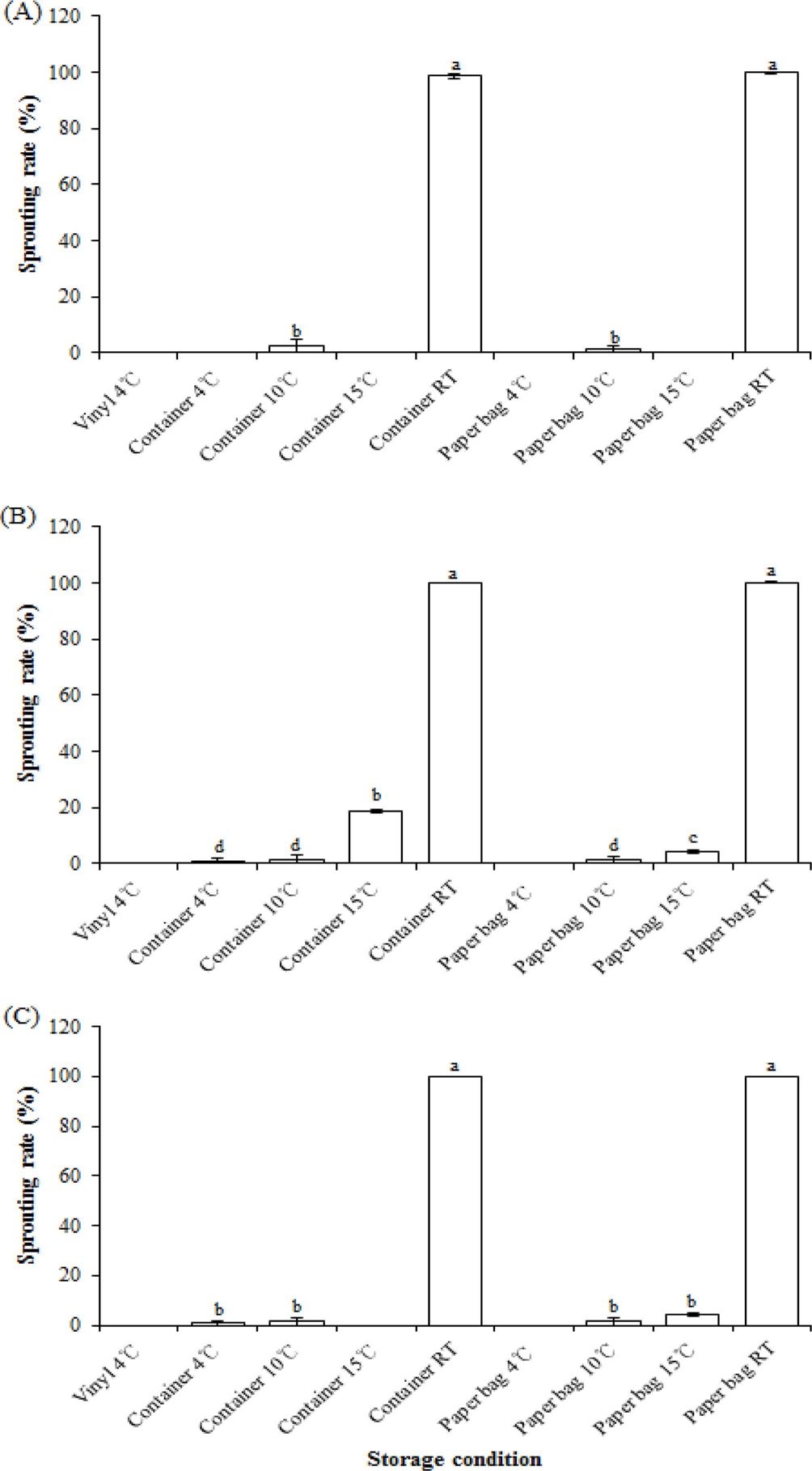
Among various physiological factors affected by storage, sprouting is considered the most noticeable symptom of deterioration in the case of many tuber crops (Thomas, 1988; Jaleel et al., 2007). C. longa rhizome sprouting was observed during storage at RT conditions (Fig. 5), induced by the higher temperature. These results indicate that 4℃ and RT conditions are not suitable for rhizome storage due to risk of fungal decomposition (Fig. 6) and sprout emergence, respectively. Thus, these results suggest that C. longa rhizomes remain stable when stored at a temperature between 10℃ and 15℃ in a paper bag and basket container.
Sprouting rate in C. longa rhizomes exposed to different storage conditions.The storage duration of C. longa rhizome was 30 days, 60 days, and 90 days, respectively, which shown (A), (B), and (C). Data are shown as means ± SD from three independent biological replicates. *Means with the same letter are not significantly different according to Duncan’s Multiple Range Test (DMRT, p < 0.05).
The contamination of fungi after storage of C. longa rhizome with different storage temperatures and containers at 90 days.Arrows means the contamination of fungi after storage. C. longa rhizome was stored at 4℃ in polyvinyl bag as a practice method (A), 10℃ in paper bag (B), 10℃ in plastic basket (C), 15℃ in paper bag (D), 15℃ in plastic basket (E), respectively.
Similarly, tissue softening, root discoloration, and decay were observed in ginger rhizomes stored below 12℃ (Akamine, 1962). Lim et al. (2013) reported that the optimal storage temperature for C. longa rhizomes was above 10℃. This is similar to the results of our study. Taken together, these results suggest that temperatures between 10℃ and 15℃ provide suitable storage conditions for rhizomes without resulting in chilling-damage.
Harvested roots, tuber, and bulb crops demonstrated decreased weight and decomposition during the storage period; therefore, a simple and effective curing process is required for these plant parts (Cantwell and Kasmire, 1992). Curing protects the rhizomes from contamination at the cutting stage, and controls respiration, moisture transpiration, and sprout development (Salunkhe and Desai, 1984). However, sometimes curing introduces more fungi associated with cutting injury from the harvesting process (Kim et al., 2012). In a study of weight loss and sprouting control in ginger rhizomes, waxing was not shown to reduce moisture content (Paull et al., 1988). Therefore, C. longa rhizomes need to be stored without curing similar to ginger.
In this study, 9 lines of C. longa were evaluated to provide breeding materials for suitable variety in Korea. Based on growth characteristics, among 9 germplasms, the weight of finger rhizome on CUR02, CUR03, and CUR06 were higher than that of others. In addition, CUR09 was shown the high tendency of finger rhizome on yield per 1 m2, on the other hand, CUR04 was shown the significantly highest yield per 1 m2 of tuberous root. Therefore, it suggest that these germplasm such as CUR09 and CUR04 might be selected useful germplasm for breeding material of finger rhizome and tuberous root, respectively. Furthermore, when C. longa rhizome was stored after harvest, there was some problem. To establishment of optimal storage condition, rhizomes were placed to paper bags, plastic baskets, and polyvinyl bag as a control under different condition. There was not observed any evidence of fungal decomposition or sprouting in rhizome which stored in paper bags or plastic basket at 10℃ and 15℃ compared to a polyvinyl bag at 4℃.
These results suggest that the C. longa rhizome will be able to be stably stored under storage temperature of 10℃ to 15℃ in paper bags or plastic baskets.
Acknowledgments
This study was carried out with supported of Cooperative Research Program for Agriculture Science and Technology Development Program (PJ0111792019) of the National Institute of Horticultural and Herbal Science, Rural Development Administration, Republic of Korea.
References
- Akamine EK. (1962). Storage of fresh ginger rhizome. Hawaii Agricultural Experiment Station, University of Hawaii. Honolulu. HI, USA. p.20.
-
Ammon HP and Wahl M. (1991). Pharmacology of Curcuma longa. Planta Medica. 57:1-7.
[https://doi.org/10.1055/s-2006-960004]
- An DG. (2000). Book of encyclopedia illustrated Korea medical herbs. Gyohaksa. Seoul, Korea. p.568-569.
-
Araújo CAC and Leon LL. (2001). Biological activities of Curcuma longa L. Memorias do Instituto Oswaldo Cruz. 96:723-728.
[https://doi.org/10.1590/S0074-02762001000500026]
-
Bambirra MLA, Junqueira RG and Glória MBA. (2002). Influence of post harvest processing conditions on yield and quality of ground turmeric(Curcuma longa L.). Brazilian Archives of Biology and Technology. 45:423-429.
[https://doi.org/10.1590/S1516-89132002000600004]
- Cantwell M and Kasmire RF. (1992). Postharvest handling system: Underground vegetables(roots, tubers, and bulbs). In Kader A. (ed.)., Postharvest Technology of Horticultural Crops. University of California, Agriculture and Natural Resources Communications Services, Davis. CA, USA. p.435-444.
- Choi SK. (2004). Growth characteristics of Curcuma longa L. in southern part of Korea. Korean Journal of Medicinal Crop Science. 12:85-88.
- Choi YH and Kim MS. (2001). Effects of CO2 absorbent in the PE film bag and styrofoam box during the ginger storage. Korean Journal of Postharvest Science and Technology. 8:286-290.
-
Cousins M, Adelberg J, Chen F and Rieck J. (2007). Antioxidant capacity of fresh and dried rhizome from four clones of turmeric(Curcuma longa L.) grown in vitro. Industrial Crops and Products. 25:129-135.
[https://doi.org/10.1016/j.indcrop.2006.08.004]
-
Govindarajan VS and Stahl WH. (1980). Turmeric-chemistry, technology, and quality. Critical Reviews in Food Science and Nutrition. 12:199-301.
[https://doi.org/10.1080/10408398009527278]
-
Jaleel CA, Kishorekumar A, Manivannan P, Sankar B, Gomathinayagam M, Gopi R, Somasundaram R and Panneerselvam R. (2007). Alterations in carbohydrate metabolism and enhancement in tuber production in white yam(Dioscorea rotundata Poir.) under triadimefon and hexaconazole applications. Plant Growth Regulation. 53:7-16.
[https://doi.org/10.1007/s10725-007-9198-7]
-
Jayaprakasha GK, Jena BS, Negi PS and Sakariah KK. (2002). Evaluation of antioxidant activities and antimutagenicity of turmeric oil: A byproduct from curcumin production. Zeitschrift für Naturforschung C. 57:828-835.
[https://doi.org/10.1515/znc-2002-9-1013]
-
Kim KS, Kwon SB, Chang KJ, Hong SJ and Kim BS. (2012). Effect of curing conditions on inhibition of tuber rot in subtropical yam(Dioscorea alata) during storage. Korean Journal of Plant Resources. 25:387-393.
[https://doi.org/10.7732/kjpr.2012.25.4.387]
-
Lee HS. (2006). Antiplatelet property of Curcuma longa L. rhizome-derived ar-turmerone. Bioresource Technology. 97:1372-1376.
[https://doi.org/10.1016/j.biortech.2005.07.006]
-
Li S, Yuan W, Deng G, Wang P, Yang P and Aggarwal BB. (2011). Chemical composition and product quality control of turmeric(Curcuma longa L.). Pharmaceutical Crops. 2:28-54.
[https://doi.org/10.2174/2210290601102010028]
-
Lim JD, Kim EH, Yun JY, Park HI, Shim HS, Choi RN, Yang YS, Park CB, Ahn YS and Jeong IM. (2013). Effect of temperatures and fillers on yield and quality of turmeric (Curcuma longa L.) during postharvest seed rhizome storage. Korean Journal of Medicinal Crop Science. 21:334-341.
[https://doi.org/10.7783/KJMCS.2013.21.5.334]
- Narayanpur VB and Hanamashetti SI. (2003). Genetic variability and correlation studies in Turmeric(Curcuma longa L.). Journal of Plantation Crops. 31:48-51.
- Paull RE, Chen NJ and Goo TTC. (1988). Control of weight loss and sprouting of ginger rhizome in storage. Horticultural Science. 23:734-736.
- Salunkhe DK and Desai BB. (1984). Potato and sweet potato. In Salunkhe DK and Desai BB. (ed.). Postharvest biotechnology of vegetables. Vol. 1. CRC Press. Boca Raton. FL, USA. p.83-111.
- Smartt J and Simmonds NW. (1976). Evolution of crop plants. Longman Scientific and Technical. New York. NY, USA. p.333.
-
Thomas P. (1988). Radiation preservation of foods of plant origin. Part VI. Mushrooms, tomatoes, minor fruits and vegetables, dried fruits and nuts. Critical Reviews in Food Science and Nutrition. 26:313-358.
[https://doi.org/10.1080/10408398809527472]
- Yadav RP and Tarun G. (2017). Versatility of turmeric: A review the golden spice of life. Journal of Pharmacognosy and Phytochemistry. 6:41-46.

