Korean Journal of Medicinal Crop Science
[ ARTICLE ]
Korean Journal of Medicinal Crop Science - Vol. 26, No. 5, pp.391-400
ISSN: 1225-9306 (Print) 2288-0186 (Online)
Print publication date Oct 2018
Received 29 Aug 2018 Revised 18 Sep 2018 Reviewed 11 Oct 2018 Reviewed 22 Oct 2018 Accepted 29 Oct 2018
DOI: https://doi.org/10.7783/KJMCS.2018.26.5.391

삽주 육성품종 뿌리의 항산화 및 항염증 효과 비교

정현수 ; 정진태 ; 이정훈 ; 박춘근 ; 최재훈 ; 장귀영 ; 김장욱 ; 장재기 ; 김동휘 ; 이승은
농촌진흥청 국립원예특작과학원 인삼특작부
Comparison of Anti-oxidative and Anti-inflammatory Effect of Atractylodes Interspecific Hybrid Cultivar Roots
Hyeon Soo Jeong ; Jin Tae Jeong ; Jeong Hoon Lee ; Chun Geon Park ; Je Hun Choi ; Gwi Yeong Jang ; Jang Wook Kim ; Jae Ki Chang ; Dong Hwi Kim ; Seung Eun Lee
Department of Herbal Crop Research, NIHHS, RDA, Eumseong 27709, Korea.

Corresponding author: (Phone) +82-43-871-5782E-mail) herbin3@korea.kr

© The Korean Society of Medicinal Crop Science. All rights reserved.
This is an Open-Access article distributed under the terms of the Creative Commons Attribution Non-Commercial License ( http://creativecommons.org/licenses/by-nc/3.0 ) which permits unrestricted non-commercial use, distribution, and reproduction in any medium, provided the original work is properly cited.

Abstract

Background:

Atractylodes radix is a well-known medicinal crop having many physiological effects. This study was conducted to select useful Atractylodes japonica × Atractylodes macrocephala (AJM) cultivars by comparing anti-oxidative and anti-inflammatory efficacies.

Methods and Results:

Seven extracts from AJM cultivars were used to treat lipopolysacchride (LPS)-treated BV2 cells, and the effects on cell viability and inhibition on reactive oxygen species (ROS) and nitric oxide (NO) production were analyzed. In vitro scavenging activities of 2,2-diphenyl-1-picrylhydrazyl (DPPH) and peroxynitrite (NOO) radicals were also investigated. Contents of total phenol, atractylenolide I, and atractylenolide III in the AJM extracts were measured using high performance liquid chromatography (HPLC) or spectrophotometry. The experiments show that none of the seven extracts was cytotoxic above 89.2% at 20 - 250 μg/ml. Extracts of Gowon, Dawon, Sangchul, and Huchul inhibited ROS generation in a dose-dependent manner, and Sangchul extract showed the highest inhibition on ROS production. All the AJM extracts showed effective inhibitory activity after on NO release in the LPS-treated BV2 cells, and Sangchul extract showed the highest activity. Sangchul extract had the most potent scavenging activities for NOO and had some DPPH radical scavenging effect. Sangchul extract also had the highest content at total phenol and atractylenolide I content. Atractylenolide III was not detected in the AJM extracts.

Conclusions:

The results suggested that Sangchul was the most useful anti-oxidative and anti-inflammatory resource among the AJM cultivars.

Keywords:

Atractylodes, Cultivars, Anti-inflammation, Anti-oxidation

서 언

선천적인 면역계는 감염 시 최초의 숙주방어선을 구성하며 침입한 병원체에 대해 초기 인지에서 주요한 역할을 하고 연 속적인 염증촉진 반응을 시작하게 한다 (Mogensen, 2009). 염 증 반응은 염증 촉진 매개체 (pro-inflammatory mediator)와 항 염증매개체 (anti-inflammatory mediator)의 비율의 조절을 통해 반응이 조절되어, 시간이 지나면 염증 반응이 줄어들게 된다.

그러나 염증 반응으로 인해 생성된 활성산소종 (reactive oxygen species, ROS)이나 nitric oxide (NO)은 체세포에도 손상을 입힐 수 있다 (Murphy, 1999; Apel and Hirt, 2004; Aktan, 2004; Bogdan, 2015). ROS는 체내에 침투한 세균 등 을 사멸시키기 위해서 염증 반응 과정에서 세포 내 미토콘드 리아에서 생성되어지지만, superoxide dismutase (SOD)나 항 산화제에 의해 환원되지 못하고 세포 내에 잔류한 ROS는 본 래 세포의 DNA 구조를 파괴할 수도 있으며 (Aruoma, 1998; Bayr, 2005; Murphy, 2009), 활성산소종의 작용으로 인해 세 포의 사멸 또한 발생하게 된다 (Simon et al., 2000).

세포의 염증 반응과 관련된 주요 사이토카인들은 interleukin, nitric oxide synthase (iNOS), cyclooxygenase 2 (COX-2), tumor necrosis factor-alpha (TNF-α) 등이 있으며, 많은 연구에서 염증 반응에 대한 실험 지표로 사용되어지고 있다 (Kapoor et al., 2011). 한편, 소교세포는 염증 반응을 통해 뇌와 척수 내 면역 작용에 관여하는 데, 뇌 안의 염증은 신경퇴행과 관련이 있으며, 이러한 신경퇴행 작용은 알츠하이 머와도 연관성이 있다 (Frischer et al., 2009; Glass et al., 2010).

삽주 (Atractylodes ovata)는 오래전부터 한국, 중국, 일본 등지에서 야맹증, 류머티즘 질환, 관절염 등의 질환에 사용되 어 왔던 약초이다. 삽주가 항염증, 항산화, 위궤양 보호 등의 효과를 가진다는 연구 결과가 다수 보고되어져 있으며 (Wang et al., 2010, 2011), 크로마토그래피와 질량 분석기를 통한 atractylodes I, atractylon 등의 삽주의 지표 성분 또한 분석되 어 있다 (Meng et al., 2010; Cho et al., 2016).

한편, 삽주는 재배기간이 길고 수량성이 작아 재배보다는 주 로 야생채취에 의존하여 왔으며, 큰꽃삽주의 경우 수량성이 높 아 주로 재배가 되나 뿌리 썩음병에 매우 취약한 단점으로 인 해 재배 제한 요인이 되고 있어 삽주의 재배 용이성을 제고하 기 위해 국내연구기관에서 삽주와 큰꽃삽주 종간교잡 (A. japonica × A. macrocephala)을 통해 삽주 육성 품종을 개발 및 보고하였다 (Jeong et al., 2018). 이들 삽주 육성 품종에 관한 연구보고에 의하면 큰꽃삽주와 육성된 품종 간에 외형적 인 차이는 컸으나, 육성품종 간에는 차이가 작았으며, 삽주 육 성 품종 중에서 상원이 근경이 가장 길었고, 생근 수량에서도 가장 높은 것으로 확인되었다. 또한, 지표성분인 atractylenolide I, atractylenolide II 및 atractylenolide III에 대한 정량분석에 서 상원을 제외한 대부분의 삽주 육성 품종이 큰꽃삽주보다 높은 함량을 나타내었으며 특히, 다출이 월등히 높았던 것으 로 보고되었다 (Jeong et al., 2018).

하지만, 삽주 육성품종에 대한 논문이 적을 뿐만 아니라 삽 주 육성품종에 대한 생리활성에 관한 연구는 아직 보고된 바 가 없다. 따라서, 본 연구에서는 삽주 육성품종들에 대한 항염 및 항산화 활성을 비교함으로써 기능성 작물로서 이용가치가 높은 품종을 선발하고자 하였다.


재료 및 방법

1. 실험재료

실험에 사용된 삽주 (Atractylodes japonica × A. macrocephala, AJM) 7 개 품종의 뿌리는 2016년 10월 21일 충북 음성군 국 립원예특작과학원 인삼특작부 약용작물시험포장에서 증식된 것을 채취한 것으로서 세척 후 50℃건조기에서 4 일간 건조 하여 추출물 조제에 사용하였다.

건조된 삽주 품종은 각각 분쇄한 후 50% 에탄올을 이용하 여 상온에서 24 시간 정치하면서 추출한 후 여과하였다. 여과 된 추출액은 감압농축기 (N-1200B, Eyela, Japan)를 이용하여 50℃의 온도조건에서 에탄올을 증발시켜 농축한 다음, 30℃ 온 도 조건의 동결건조기를 이용해 4 일간 건조한 후 최종추출물 의 양을 측정하였다 (Table 1).

Yields of the extracts prepared from Atractylodes japonica × A. macrocephala (AJM) cultivars.

2. 시약

본 연구를 위해 사용된 시약으로 Dulbecco’s minimum essential media (DMEM), fetal bovine serum (FBS)는 Thermo Fisher Scientific (Waltham, MA, USA)에서 구입 하였고, sodium carbonate는 Kanto Chemical (Tokyo, Japan)에서, 2,2-diphenyl-1-picrylhydrazyl (DPPH), 3-(4,5- dimethylthiazol-2-yl)-2,5-diphenyltetrazolium bromide (MTT), 2',7'–dichlorofluorescin diacetate (DCFDA), lipopolysaccharide (LPS), dimethyl sulfoxide (DMSO), penicillin & streptomycin (PEST), diethylenetriaminepentaacetic acid (DTPA), tannic acid, 3-morpholinosydnonimine (SIN-1), dihydrorhodamine 123 (DHR123), sulfanilamide와 N-1-napthyl-ethylenediamine dihydrochloride (NED), Folin-Ciocalteu reagent, atractylenolide I, atractylenolide III은 Sigma Aldrich (St. Louis, MO, USA)에서 구입하였으며, phosphate buffer saline (PBS)는 WelGene (Gyeongsan, Korea)에서 구입하였다.

3. 세포주 및 배양방법

BV-2는 C57BL/6 마우스의 뇌 소교세포주로, 주로 염증 반 응을 이용한 신경퇴행 및 신경보호실험에 사용되는 데, 실험 에 사용된 BV-2 세포주는 American Type Culture Collection (ATCC)에서 분양받은 것으로 37℃도, 5% 이산화탄소 농도의 배양기에서 5% FBS, 1% PEST을 포함하는 DMEM을 사용 하여 배양되었다 (Block et al., 2005).

4. 세포증식률 측정

삽주 품종별 추출물의 세포증식률을 분석하기 위해 BV-2 세 포주는 48 well transparent plate에 2 × 105 cell/well 밀도로 분주 후 24 시간동안 배양하였다. 20 - 250㎍/㎖ 농도의 삽주 품종별 추출물을 2 시간 처리한 후 배지를 제거하고, 순차적 으로 lipopolysaccharide (LPS)를 0.5㎍/㎖ 농도로 24 시간동 안 처리하였다. 그 후 0.6㎎/㎖ 농도의 MTT 포함 배지를 1 시간동안 처리한 후 DMSO를 가해 생성된 formazan을 용해 하였다. 최종적으로 처리된 반응액의 540㎚ 파장에서의 흡광 도를 microplate reader (Bio-Tek Synergy HT, BioTek, Winooski, VT, USA)를 이용하여 측정하였다.

5. ROS 생성 억제능 분석

삽주 품종 추출물의 활성산소 저해능을 분석하기 위해 BV- 2 세포주를 5 × 104 cell/well 밀도로 분주, 0.5㎍/㎖ LPS 처 리 및 삽주 품종별 추출물의 처리를 진행한 후 10 μM DCFDA를 배지에 혼합하여 30 분간 처리하였다. 그 후 phosphate buffered saline (PBS)를 이용해 세척하고 microplate reader에서 형광 (excitation 485㎚ / emission 530㎚)을 측정하였다.

6. NO 생성 저해능 분석

BV-2 세포주를 2 × 105 cells/㎖ 비율로 48 well plate에 분 주한 다음 24 시간 배양한 후 삽주 추출물을 2 시간동안 처 리하고 배지를 제거한 후 0.5㎍/㎖ 농도의 LPS를 처리하여 배양하였다.

24 시간 후 각 well의 반응액을 50㎕ 씩 96 well transparent plate에 옮겨 담고, 1% sulfanilamide 50㎕와 0.1% N-1-napthyl-ethylenediamine dihydrochloride (NED) 50㎕를 각각 가하여 혼합한 후 520㎚ 조건에서 흡광도를 측 정하였으며 NO 표준물질 (nitrite)의 흡광도로부터 작성된 검 량선식에 대해 삽주 추출물 처리군의 흡광도를 적용하여 생성 된 NO의 농도를 계산하였다.

7. DPPH 라디칼 소거능 분석

삽주 품종 추출물의 자유라디칼에 대한 소거능을 확인하기 위해 Lee 등 (2010)의 방법에 따라 에탄올에 1.5 × 10−4M의 DPPH를 녹인 후 최종농도 20, 40, 100, 250, 500 ㎍/㎖이 되도록 DMSO에 녹여 조제한 삽주 추출물을 가해 혼합하였으 며, 3 분 후 분광광도계 (Cary-300, Agilent Technologies, Santa Clara, CA, USA)를 이용하여 517㎚ 파장에서 흡광도 를 측정하였다.

각 시료의 농도별 흡광도 값을 대조물질의 흡광도에 대한 백분율 (%)로 나타내었다.

8. Peroxynitrite 소거능 분석

삽주 품종의 peroxynitrite에 대한 소거능 분석을 위해 Rhodamine buffer와 diethylenetriaminepentaacetic acid (DTPA), dihydrorhodamine 123 (DHR123), 3-morpholinosydnonimine (SIN-1)을 이용하여 reaction buffer를 제조하고, 삽주 추출물과 혼합하여 96-well black plate에 분주한 후 5 분간 반응시키고 분광광도계를 이용하여 microplate reader에서 형광 (excitation: 485㎚, emission: 530㎚)을 측정하였으며 결과는 IC50 (㎍/㎖) 값으로 산출하였다.

9. 총페놀 함량 측정

삽주 품종 추출물에 함유된 페놀성 화합물의 함량을 분석하 기 위해 삽주 샘플과 Na2CO3 용액을 혼합한 다음, 1 N Folin-Ciocalteu 용액을 가하여 30 분간 반응시켰다.

이 반응혼합물을 분광광도계를 이용하여 750㎚ 파장의 흡 광도를 측정하였으며 측정한 시료의 흡광도를 표준물질 tannic acid의 흡광도에 의해 얻어진 방정식에 대입하여 총페놀 함량 을 계산하였다.

10. 주요 지표성분 분석

삽주의 주요 활성성분인 atractylenolide I과 atractylenolide III가 각 품종별로 존재하는 함량을 확인하기 위해 정량분석을 실시하였다.

Atractylenolide I은 UV (260㎚) detector와 Acquity UPLC BET C8 (1.7㎛, 2.1 × 100 μM) 컬럼이 장착된 UPLC (Waters Acquity, Milford, MA, USA)에서 water (A) 와 acetonitrile (B)을 mobile phase로 하여 분석초기에는 A :B 비율을 60 : 40으로 시작하여 14 분까지, 10 : 90으로 변 경하고 다시 15 분까지 10 : 90으로 유지시키는 gradient system을 적용하여 분석하였다. 유속은 0.4㎖/min으로 유지 하였고, injection volume은 1㎕, column/sample temp. 조건 은 25℃로 하여 분석하였다.

Atractylenolide Ⅲ은 UV (214㎚) detector와 Acquity UPLC BET C8 (1.7㎛, 2.1 × 100 μM) 컬럼이 장착된 UPLC (Waters Acquity, Milford, MA, USA)에서 water (A) 와 acetonitrile (B)을 mobile phase로 하여 분석초기에는 A : B 비율을 60 : 40으로 시작하여 3 분 동안 유지한 후 10 분 간 0 : 100으로 변경시키고, 다시 12 분 동안 0 : 100으로 유지 되는 gradient system을 적용하였다. 유속은 0.4㎖/min로 유 지하였고, injection volume은 1㎕, column/sample temp. 조 건은 25℃로 분석하였다.

11. 통계분석

실험으로 얻은 결과 (n = 3)의 통계적 유의성은 Student's ttest로 확인하거나, SAS program (version 9.4, SAS Institute Inc., Cary, NC, USA)에서 ANOVA 분석을 실시하여 유의성 이 있을 경우 p < 0.05 수준에서 Duncan’s Multiple Range Test (DMRT)를 실시하였다.


결과 및 고찰

1. 삽주 품종별 추출물의 수율

50% 에탄올로 추출하여 얻어진 삽주 (Atractylodes japonica × A. macrocephala, AJM)의 품종별 추출물의 수율을 측정한 결과, 각각의 품종에 따라 13.1%부터 29.7%까지의 수 율이 확인되었다 (Table 1). 7 종류의 품종 중 상출이 13.1% 로 가장 수율이 낮았고, 다출이 29.7%로 수율이 가장 높게 측정되었으며, 나머지 다섯 종류의 품종들은 15 - 25% 사이의 수율을 보였다. 한편, 이들 추출물의 수율은 단회 추출에 의한 결과로서 통계처리를 할 수는 없었으나 품종간 수율 차이를 비교할 수 있었다.

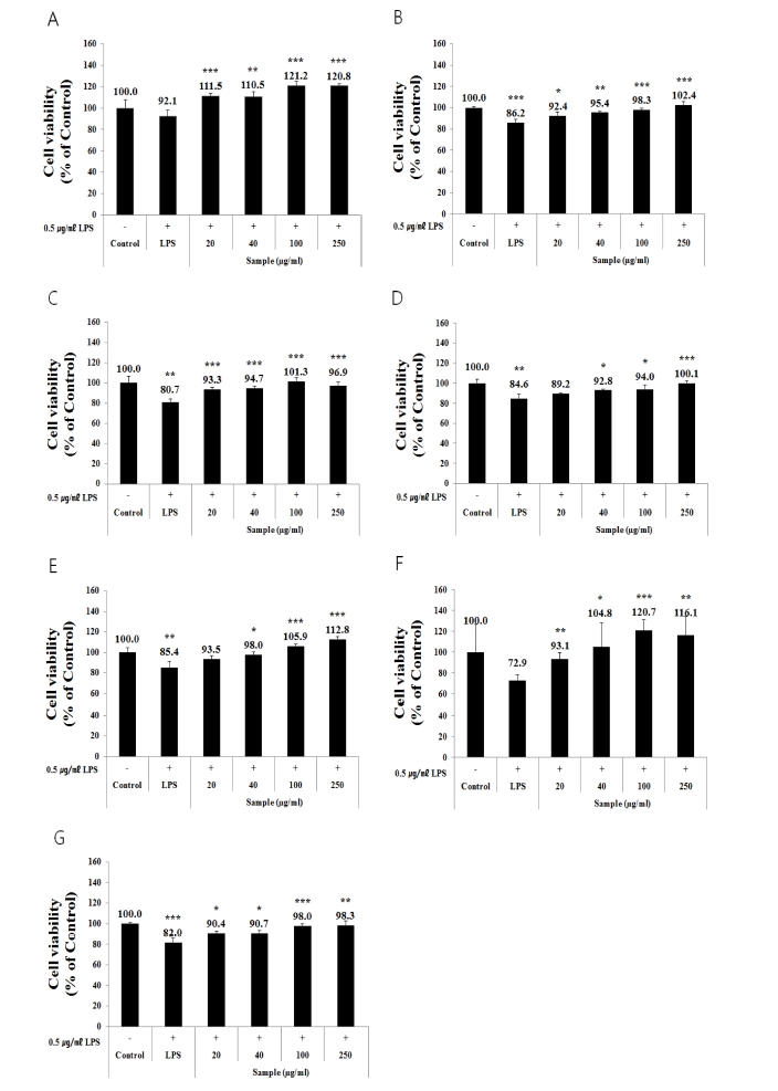
2. 삽주 품종별 추출물의 세포증식율

MTT assay를 이용하여 BV2 세포 증식에 미치는 삽주 품 종 추출물의 영향을 실험한 결과, LPS 단독처리 실험에서 세 포증식이 유의미하게 저해되었으나, 삽주 추출물과 LPS가 함 께 처리된 실험들은 처리된 모든 농도 (20 - 250㎍/㎖)에서 LPS 단독 처리군보다 89.2% 이상의 세포증식율을 나타내었다 (Fig. 1.).

Fig. 1

Effects of AJM cultivar extracts on LPS-treated BV2 cell viability.BV2 cells (2 × 105 cell/well) in 48 well plate, were successively treated with the final concentration of AJM cultivar extracts from 20 to 250㎍/㎖ for 2 hours, and 0.5㎍/㎖ LPS for 24 hours. After all of the treatment, cell viabilities were measured via MTT assay. A; Gowon, B; Gochul, C; Dawon, D; Dachul, E; Sangwon, F; Sangchul, G; Huchul. Statistical analysis was performed using Student’s t-test (*p < 0.05; **p < 0.01; and ***p < 0.001).

LPS는 그람 음성균의 세포 외막의 구성 성분중 하나이며, 체내 내독소 (endotoxin) 중 하나로서 인식되고 있는데, BV2 세포가 면역 세포로서 이러한 LPS에 반응하여 염증 반응을 일으키게 되고, 이로 인해 세포 자체의 증식율이 떨어지게 되 지만 삽주 추출물 처리로 이러한 염증반응으로 일어난 세포 독성을 완화하여 세포를 보호하는 작용을 하는 것으로 사료되 었다 (Raetz and Whitfield, 2002).

3. 삽주 품종별 추출물의 활성산소 (ROS) 생성 저해능

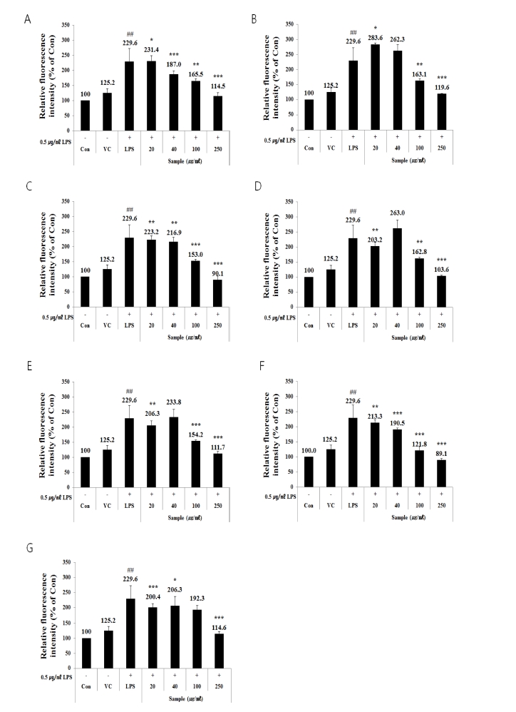
삽주의 활성산소에 대한 항산화효과를 확인하기 위해 BV2 세포에서 LPS를 이용하여 ROS 생성정도를 측정하고 LPS가 처리되지 않은 control에 대한 백분율로 나타내었다. 그 결과, LPS 단독 처리실험에서 ROS의 유의미한 증가를 보였으며, 고 출, 다원, 상출 및 후출은 LPS에 의해 유도된 ROS의 생성을 농도 의존적으로 저해하는 것을 관찰할 수 있었다 (Fig. 2.).

Fig. 2

Effects of AJM cultivar extracts on reactive oxygen species (ROS) production of LPS-teated BV2 cells.BV2 cells (5 × 104 cell/well) in 96-well plate were successively treated with AJM cultivar extracts for 24 hours, and 0.5㎍/㎖ LPS for 12 hours. After all of the treatment, fluorescences were measured via DCFDA staining assay. A; Gowon, B; Gochul, C; Dawon, D; Dachul, E; Sangwon, F; Sangchul, G; Huchul. Statistical analysis was performed using Student’s t-test (*p < 0.05; **p < 0.01; and ***p < 0.001).

특히, 가장 높은 농도인 250㎍/㎖에서의 ROS 생성 저해는 상출과 다원이 각각 LPS 무처리된 control 대비 89% 및 90.1%로 가장 항산화 효과가 큰 것을 확인할 수 있었다.

한편, 활성산소와 관련하여 본 연구의 삽주 육종품종으로 개 발된 기원식물인 삽주 (Atractylodes japonica)는 강한 활성산 소 소거효과가 있는 것으로 보고되었고, 또 다른 기원식물인 큰꽃삽주 (Atractylodes macrocephals Koidz)도 flavonoids로부 터 metal-chelating 작용과 caffeic acid, ferulic acid, protocatechuic acid 등의 페놀산에서 유래한 유리기-소거작용이 보고되었으므로 본 연구에서의 삽주의 항산화활성은 예상되는 결과라고 할 수 있다 (Kim and Chung, 2002; Li et al., 2012).

하지만, 큰꽃삽주 (Atractylodes macrocephals Koidz)는 ROS 생성을 통하여 human leukemia cells의 apoptosis를 유 도하는 항암제로서의 가능성도 보고하고 있다 (Huang et al., 2005). 따라서 이들 삽주 품종을 활용하여 개발된 삽주 육성 품종의 활성산소 관련 활성에 미치는 요인들의 구명을 위해 차후 보다 다각적인 연구가 필요하다고 생각된다.

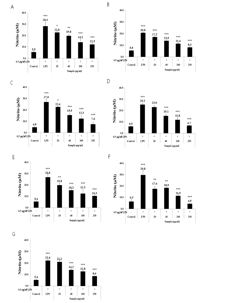
4. 삽주 품종별 추출물의 NO 생성 저해능

BV2 세포에 대해 LPS 처리로 NO 생성을 유발한 결과, LPS 단독 처리된 BV2에서 큰 폭으로 NO가 증가한 것을 확 인할 수 있었지만, 삽주 품종 추출물을 처리한 실험에서는 모 두 농도 의존적으로 NO 생성이 감소하는 것이 확인되었다 (Fig. 3). LPS에 반응한 BV2는 ROS 및 NO 염증매개물질의 분비를 증가시키는데, 삽주 추출물 시료와 LPS를 동시에 처 리하였을 때 NO 생성 저해효과를 보였고 특히, 상출, 고출, 다원이 좀 더 우수한 NO 생성 저해효과를 보였다. NO는 면 역과 관련된 작용과 더불어 뇌졸중, 파킨슨병에 있어서 병리 생리학적으로 중요한 역할을 하므로 삽주 품종 추출물은 이러 한 질환에서 긍정적인 역할을 할 수 있을 것으로 기대된다 (Bredt, 1999).

Fig. 3

Effects of AJM cultivar extracts on nitric oxide (NO) production of LPS-treated BV2 cells.BV-2 cells (2 × 105 cells/㎖) in 48-well plate were treated with AJM cultivar extracts for 2 hours and 0.5㎍/㎖ LPS for 24 hours. Supernatants of the wells were analyzed on NO contents via measuring the absorbance at 520 ㎚. A; Gowon, B; Gochul, C; Dawon, D; Dachul, E; Sangwon, F; Sangchul, G; Huchul. Statistical analysis was performed using Student’s t-test (*p < 0.05; **p < 0.01; and ***p < 0.001).

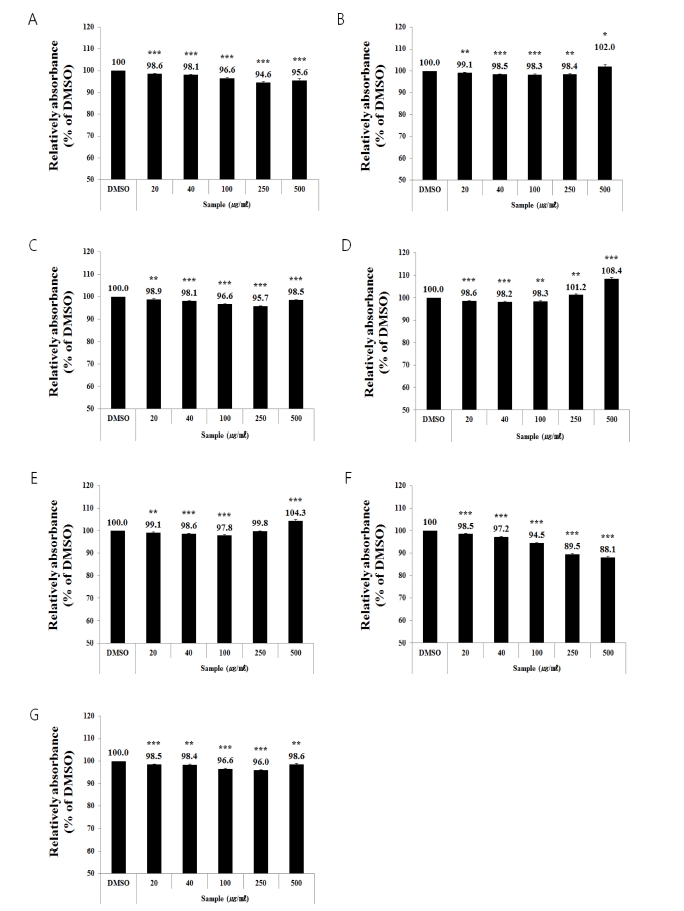
5. 삽주 품종별 추출물의 DPPH 소거능

DPPH는 측정 시료 내의 항산화 성분과 반응하여 자색에서 담황색으로 변색하게 되며 이러한 변색의 정도를 측정하여 시 료 내 항산화 활성을 측정할 수 있다 (Kedare and Singh, 2011).

본 연구에서 삽주 품종별 추출물의 DPPH 소거능을 측정하 였을 때, 상출의 DPPH 소거능이 가장 높게 측정되었으며 이 밖에도 다원과 후출은 250㎍/㎖까지 농도 의존적으로 증가 하는 경향을 보였다 (Fig. 4.).

Fig. 4

DPPH radical scavenging assay of AJM cultivar extracts.Samples were reacted with DPPH reagent for 3 minutes, The absorbances of the reactants were measured at 517 ㎚. A; Gowon, B; Gochul, C; Dawon, D; Dachul, E; Sangwon, F; Sangchul, G; Huchul. Statistical analysis was performed using Student’s t-test (*p < 0.05; **p < 0.01; and ***p < 0.001).

6. 삽주 품종별 추출물의 peroxynitrite (ONOO−)소거능

Peroxynitrite 소거능의 측정은 ONOO- 를 50% 저해시키는 농도 (IC50) 값을 ㎍/㎖ 단위로 나타내었다 (Table 2). 측정 결과, 모든 삽주 품종 추출물은 72.8 - 102.5㎍/㎖ 범위의 IC50 농도값을 가졌으며, 상출이 가장 낮은 72.8㎍/㎖의 IC50 값을 가져 가장 우수한 ONOO- 소거능을 보였고, 고출이 102.5㎍/㎖로 가장 높은 IC50 값을 가져 ONOO− 소거능이 가장 낮았다.

Peroxynitrite scavenging activity and total phenol content in AJM cultivar extracts.

ONOO−는 caspase를 비롯한 세포사멸 기전에 밀접하게 관 여하고 있으며, NO에 의해 유도되는 영향을 크게 받으므로 ONOO-를 분해하여 전환하는 것이 세포보호에 있어 중요하다 (Pacher et al., 2007). 이를 토대로 보았을 때, 상출이 삽주 품종 중 세포보호에 가장 큰 효과를 가진 것으로 사료되었다.

6. 총페놀 함량

총 페놀 함량은 삽주 추출물 g 당 ㎎으로 나타내었다. 측정 결과, 상출에서 14.01㎎이 측정되어 7 가지 품종 중 가장 높 은 함량을 가진 것으로 나왔으며, 고출이 5.59㎎으로 7 가지 품종 중 총 페놀 함량이 가장 낮았다.

한편, 본 실험에서 확인된 바와 같이 삽주 품종 중 가장 높 은 총페놀 함량을 보였던 상출은 우수한 항산화 활성을 나타 내었던 바, 이러한 결과는 총페놀 함량이 항산화활성과 상관 계수가 높았다는 Hwang 등 (2013) 및 Kim과 Chung (2002) 의 보고와 일치되는 결과라고 사료되었다.

7. 삽주 품종별 추출물의 지표성분 정량 결과

삽주의 지표성분을 비교하기 위해 액체 크로마토그래피가 사용되었으며, 표준물질로 atractylenolide I과 atractylenolide Ⅲ가 사용되었다 (Table 3.).

Contents of atractylenolide I and atractylenolide III in AJM cultivar extracts.

모든 시료에서 atractylenolide Ⅲ는 검출되지 않았으나, atractylenolide I의 경우 상출에서 490.7㎎/g으로 가장 높게 검출되어 모든 시료 중 가장 높은 지표물질 함량을 나타냈으 며, 다음으로 후출이 377.1㎎/g으로 높았다.

이는 추출물 g 당 지표물질의 함량과 항산화 물질 측정 결 과에서 상출이 가장 높게 나온 결과임을 나타내는 결과였다.

한편, Jeong 등 (2018)의 삽주 품종별 atractylenolide I, atractylenolide II 및 atractylenolide III에 대한 정량분석 결과, atractylenolide I에 있어서는 본 연구의 결과에서처럼 상출과 후출이 상대적으로 가장 높은 함량을 보여 유사한 결과를 나 타내었다. 하지만, atractylenolide III이 0.05 - 0.07㎎/g으로 정 량된 점은 본 연구에서는 검출되지 않았던 결과와 차이가 있 다고 하겠다.

이처럼 동일한 삽주 품종을 재료로 하여 성분 함량을 분석 한 연구결과들에서 지표성분의 차이가 나타난 것은 Jeong 등 (2018)의 연구에서는 삽주 품종 추출물 조제를 위해 원료시료 에 대해 초음파 추출을 진행한 후 추출액 일부를 취해 지표성 분분석에 사용하였으나, 본 연구에서는 원료시료를 상온에서 24 시간 정치하면서 추출한 후 용매를 제거한 후 추출물 일정 량을 분석용 용매에 녹여 지표성분분석을 진행하였으므로, 시 료 추출방법의 차이에 따른 추출효율의 차이로 인해 삽주 품 종 간 atractylenolide III의 분석결과에서 차이가 나타난 것으 로 사료되었다.

이상의 항염 활성, 항산화 활성 및 주요성분 분석에 관한 실험결과를 종합할 때, 7 개의 삽주 육성품종 가운데 항염, 항 산화 효과에 있어 가장 효율적인 추출물을 얻을 수 있는 품종 은 상출인 것으로 확인되었으며, 후속 연구를 통해 삽주 육성 품종을 활용한 항염, 항산화 기전 등의 추가연구가 필요하다 고 사료되었다.

감사의 글

본 연구는 농촌진흥청 시험연구사업(과제번호: PJ01193302) 의 연구비 지원으로 수행된 결과이며 이에 깊은 감사를 드립 니다.

References

  • Aktan, F., (2004), iNos-mediated nitric oxide production and its regulation, Life Sciences, 75, p639-653, 15172174. [https://doi.org/10.1016/j.lfs.2003.10.042]
  • Apel, K, Hirt, H, (2004), Reactive oxygen species: Metabolism, oxidative stress, and signal transduction, Annual Review of Plant Biology, 55, p373-399, 15377225. [https://doi.org/10.1146/annurev.arplant.55.031903.141701]
  • Aruoma, OI, (1998), Free radicals, oxidative stress, and antioxidants in human health and disease, Journal of the American Oil Chemists Society, 75, p199-212. [https://doi.org/10.1007/s11746-998-0032-9]
  • Bayr, H., (2005), Reactive oxygen species, Critical Care Medicine, 33, p498-501, 16340433. [https://doi.org/10.1097/01.CCM.0000186787.64500.12]
  • Block, ML, Hong, JS, (2005), Microglia and inflammationmediated nerodegeneration: Multiple triggers with a common mechanism, Progress in Neurobiology, 76, p77-98, 16081203. [https://doi.org/10.1016/j.pneurobio.2005.06.004]
  • Bogdan, C., (2015), Nitric oxide synthase in innate and adaptive immunity: An update, Trends in Immunology, 36, p161-178, 25687683. [https://doi.org/10.1016/j.it.2015.01.003]
  • Bredt, DS, (1999), Endogenous nitric oxide synthesis: Biological functions and pathophysiology, Free Radical Research, 31, p577-596, 10630682. [https://doi.org/10.1080/10715769900301161]
  • Cho, HD, Kim, U, Suh, JH, Eom, HY, Kim, JH, Lee, SG, Choi, YS, Han, SB, (2016), Classification of the medicinal plants of the genus Atractylodes using high-performance liquid chromatography with diode array and tandem mass spectrometry detection combined with multivariate statistical analysis, Journal of Separation Science, 39, p1286-1294, 26888213. [https://doi.org/10.1002/jssc.201501279]
  • Frischer, JM, Bramow, S, Dal-Bianco, A, Lucchinetti, CF, Rauschka, H, Schmidbauer, M, Laursen, H, Sorensen, PS, Lassmann, H, (2009), The relation between inflammation and neurodegeneration in multiple sclerosis brains, Brain, 132, p1175-1189, 19339255. [https://doi.org/10.1093/brain/awp070]
  • Glass, CK, Saijo, K, Winner, B, Marchetto, MC, Gage, FH, (2010), Mechanisms underlying inflammation in neurodegeneration, Cell, 140, p918-934, 20303880. [https://doi.org/10.1016/j.cell.2010.02.016]
  • Huang, HL, Chen, CC, Yeh, CY, Huang, RL, (2005), Reactive oxygen species mediation of baizhu-induced apoptosis in human leukemia cells, Journal of Ethnophamacology, 97, p21-29, 15652270. [https://doi.org/10.1016/j.jep.2004.09.058]
  • Hwang, JH, Park, KY, Oh, YS, Lim, SB, (2013), Phenolic compound content and antioxidant activity of citrus peels, Journal of Korean Society of Food Science and Nutrition, 42, p153-160. [https://doi.org/10.3746/jkfn.2013.42.2.153]
  • Jeong, JT, Lee, HJ, Lee, JH, Hong, CH, Lee, YJ, Jeong, YS, Lee, DY, Lee, SE, Chang, JK, Ha, BK, Park, CG, (2018), Comparison of growth characteristics and active ingredients in Atractylodes inter-specific hybrid cultivars, Korean Journal of Medicinal Crop Science, 26, p220-226.
  • Kapoor, M, Martel-Pelletier, J, Lajeunesse, D, Pelletier, JP, Fahmi, H, (2011), Role of proinflammatory cytokines in thepathophysiology of osteoarthritis, Nature Reviews Rheumatology, 7, p33-42, 21119608. [https://doi.org/10.1038/nrrheum.2010.196]
  • Kedare, SB, Singh, RP, (2011), Genesis and development of DPPH method of antioxidant assay, Journal of Food Science and Technology, 48, p412-422, 23572765. [https://doi.org/10.1007/s13197-011-0251-1]
  • Kim, YC, Chung, SK, (2002), Reactive oxygen radical species scavenging effects of Korean medicinal plant leaves, Food Science and Biotechnology, 11, p407-411.
  • Lee, SE, Kim, GS, Han, HS, Lee, ES, Kim, YO, Lee, JH, Seong, NS, Lee, SW, Kim, YC, (2010), Biological activity of organic solvent fractions from Lythrum salicaria L.(root), Korean Journal of Medicinal Crop Science, 18, p323-328.
  • Li, X, Lin, J, Han, W, Mai, W, Wang, L, Li, Q, Lin, M, Bai, M, Zhang, L, Chen, D, (2012), Antioxidant ability and mechanism of rhizoma Atractylodes marcocephala, Molecules, 17, p13457-13472, 23149564. [https://doi.org/10.3390/molecules171113457]
  • Meng, H, Li, G, Dai, R, Ma, Y, Zhang, K, Zhang, C, Li, X, and Wang, J, , (2010), Chemical constituents of Atractylodes chinensis (DC.) Koidz, Biochemical Systematics and Ecology, 38, p1220-1223. [https://doi.org/10.1016/j.bse.2010.12.023]
  • Mogensen, TH, (2009), Pathogen recognition and inflammatory signaling in innate immune defenses, Clinical MicrobiologyReviews, 22, p240-273, 19366914. [https://doi.org/10.1128/CMR.00046-08]
  • Murphy, MP, (1999), Nitric oxide and cell death, Biochimica et Biophysica Acta, 1411, p401-414, 10320672. [https://doi.org/10.1016/S0005-2728(99)00029-8]
  • Murphy, MP, (2009), How mitochondria produce reactive oxygen species, Biochemical Journal, 417, p1-13, 19061483. [https://doi.org/10.1042/BJ20081386]
  • Pacher, P, Beckman, JS, Liaudet, L, (2007), Nitric oxide and peroxynitrite in health and disease, Physiological Reviews, 87, p315-424, 17237348. [https://doi.org/10.1152/physrev.00029.2006]
  • Raetz, CRH, Whitfield, C, (2002), Lipopolysaccharide endotoxins, Annual Review of Biochemistry, 71, p635-700, 12045108. [https://doi.org/10.1146/annurev.biochem.71.110601.135414]
  • Simon, HU, Haj-Yehia, A, Levi-Schaffer, F, (2000), Role of reactive oxygen species(ROS) in apoptosis induction, Apoptosis, 5, p415-418, 11256882. [https://doi.org/10.1023/A:1009616228304]
  • Wang, KT, Chen, LG, Chou, DS, Liang, WL, Wang, CC, (2011), Anti-oxidative abilities of essential olis from Atractylodes ovata rhizome., Evidence-Based Complementary and AlternativeMedicine, 204892, https://www.hindawi.com/journals/ecam/2011/204892/abs/ (cited by 2018 Oct 17).
  • Wang, KT, Chen, LG, Wu, CH, Chang, CC, Wang, CC, (2010), Gastroprotective activity of atractylenolide III from Atractylodes ovata on ethanol-induced gastric ulcer in vitro and in vivo, Journal of Pharmacy and Pharmacology, 62, p381-388, 20487223. [https://doi.org/10.1211/jpp.62.03.0014]

Fig. 1

Fig. 1
Effects of AJM cultivar extracts on LPS-treated BV2 cell viability.BV2 cells (2 × 105 cell/well) in 48 well plate, were successively treated with the final concentration of AJM cultivar extracts from 20 to 250㎍/㎖ for 2 hours, and 0.5㎍/㎖ LPS for 24 hours. After all of the treatment, cell viabilities were measured via MTT assay. A; Gowon, B; Gochul, C; Dawon, D; Dachul, E; Sangwon, F; Sangchul, G; Huchul. Statistical analysis was performed using Student’s t-test (*p < 0.05; **p < 0.01; and ***p < 0.001).

Fig. 2

Fig. 2
Effects of AJM cultivar extracts on reactive oxygen species (ROS) production of LPS-teated BV2 cells.BV2 cells (5 × 104 cell/well) in 96-well plate were successively treated with AJM cultivar extracts for 24 hours, and 0.5㎍/㎖ LPS for 12 hours. After all of the treatment, fluorescences were measured via DCFDA staining assay. A; Gowon, B; Gochul, C; Dawon, D; Dachul, E; Sangwon, F; Sangchul, G; Huchul. Statistical analysis was performed using Student’s t-test (*p < 0.05; **p < 0.01; and ***p < 0.001).

Fig. 3

Fig. 3
Effects of AJM cultivar extracts on nitric oxide (NO) production of LPS-treated BV2 cells.BV-2 cells (2 × 105 cells/㎖) in 48-well plate were treated with AJM cultivar extracts for 2 hours and 0.5㎍/㎖ LPS for 24 hours. Supernatants of the wells were analyzed on NO contents via measuring the absorbance at 520 ㎚. A; Gowon, B; Gochul, C; Dawon, D; Dachul, E; Sangwon, F; Sangchul, G; Huchul. Statistical analysis was performed using Student’s t-test (*p < 0.05; **p < 0.01; and ***p < 0.001).

Fig. 4

Fig. 4
DPPH radical scavenging assay of AJM cultivar extracts.Samples were reacted with DPPH reagent for 3 minutes, The absorbances of the reactants were measured at 517 ㎚. A; Gowon, B; Gochul, C; Dawon, D; Dachul, E; Sangwon, F; Sangchul, G; Huchul. Statistical analysis was performed using Student’s t-test (*p < 0.05; **p < 0.01; and ***p < 0.001).

Table 1

Yields of the extracts prepared from Atractylodes japonica × A. macrocephala (AJM) cultivars.

Table 2

Peroxynitrite scavenging activity and total phenol content in AJM cultivar extracts.

Table 3

Contents of atractylenolide I and atractylenolide III in AJM cultivar extracts.