
국내산 벌개미취 잎 추출물의 α-glucosidase 억제능 및 항산화 활성 평가
© The Korean Society of Medicinal Crop Science. All rights reserved.
This is an Open-Access article distributed under the terms of the Creative Commons Attribution Non-Commercial License ( http://creativecommons.org/licenses/by-nc/3.0 ) which permits unrestricted non-commercial use, distribution, and reproduction in any medium, provided the original work is properly cited.
Abstract
The plant Aster koraiensis has long been used as an ingredient in folk medicine. It has been reported that Aster koraiensis extract (AKE) prevents the progression of diabetes-induced retinopathy and nephropathy. However, although these beneficial effects of AKE on diabetes complications have been identified, the antidiabetic effects of AKE have not yet been completely investigated and quantified. In the present study, the glucose-lowering and antioxidant effects of aqueous and ethanolic AKEs were evaluated.
The glucose-lowering effects of aqueous and ethanolic (30%−, 50%−, and 80%-ethanol) AKEs were investigated via α-glucosidase inhibitory assays. The mode of inhibition by AKEs on α-glucosidase was identified through kinetic analysis. The total antioxidant capacity of each of the 4 AKEs was evaluated by assessing their conversion rate of Cu2+ to Cu+. The content of chlorogenic acid and 3,5-di-O-caffeoylquinic acid, the bioactive compounds in AKE, in each extract were analyzed by high performance liquid chromatography (HPLC). The AKEs showed potent α-glucosidase inhibitory activity with mixed inhibition mode, and significant antioxidant capacity.
These results of this study suggested that the AKEs tested had α-glucosidase inhibitory and antioxidant effects. Among the extracts, the 80% ethanol extract showed the most significant α-glucosidase inhibitory activity, with a half maximal inhibitory concentration (IC50 value) of 1.65 ± 0.36㎎/㎖ and a half maximal effective concentration (EC50 value) for its antioxidant activity of 0.42 ± 0.10㎎/㎖. It can therefore be used as a source of therapeutic agents to treat diabetes patients.
Keywords:
Aster koraiensis, Inhibitory Effect of α-glucosidase, Antidiabetes, Antioxidant서 언
전 세계 당뇨환자의 수는 2014년 기준으로 성인 4억2천2백 만 명에 달하며 2012년에 백5십만 명은 당뇨병으로 인해 2백 2십만 명은 고혈당으로 인한 합병증으로 인해 사망하였다 (WHO, 2016). 이는 과거에 비해 크게 증가한 수치로 수많은 치료제 개발을 위한 노력에도 불구하고 당뇨환자의 수는 점점 늘어나고 있다.
당뇨병은 혈당이 적절한 수준으로 조절 되지 못하는 만성 질환으로 β 세포의 인슐린 분비에 이상이 생겨 발병하는 1 형 당뇨와 비만, 흡연, 음주, 정주성 (定住性) 생활습관 등의 원인 으로 인슐린 감수성이 저하되어 발병하는 2 형 당뇨로 나눌 수 있다 (ADA, 2004).
인슐린 감수성이 저하되면 식후 혈당 조절능력이 떨어지게 되어 혈당이 증가하는데 이로 인해 생기는 산화적스트레스는 내피세포이상 및 염증반응을 유발하여 심혈관계질환, 뇌졸중, 망막병증, 신부전증, 신경손상등의 발생위험을 증가시킨다는 보고가 있다 (Yamagishi et al., 2005; Gerich, 2013).
당뇨환자 중 대부분은 2 형 당뇨로 치료제 개발 역시 이에 집중되고 있다. 천연물로부터 당뇨병 치료제를 개발하기 위한 연구에서 식물 유래의 galegine, 다양한 phenolic 물질, pycnogenol등이 발견되었고, 미생물 유래의 α-glucosidase 저해 제인 acarbose, miglitol, voglibose등이 개발되었다 (Rios, et al., 2015).
팔리다자주닭개비나 서양금혼초와 같은 약용식물 추출물에 는 α-glucosidase 저해 효능을 갖는 다양한 물질이 존재하는 것으로 알려져 있다 (Kim and Kim et al., 2016a; Ko et al., 2017). 이들은 terpenes, alkaloids, quinines, flavonoids, phenols, phenylpropanoids, sterides 계열의 물질들로 오래 전 부터 사용되어온 약용식물 유래의 물질인 만큼 부작용에서 보 다 안전할 것으로 기대되어 개발이 활발히 이루어지고 있다 (Yin et al., 2014).
국내 당뇨치료 목적으로 연구되어 온 약용식물로는 번행초 (Choi et al., 2008), 맥문동 (Kim et al., 2012) 조각자 (Lee et al., 2011) 등이 보고되어 있으며, 이 약용식물 추출물들은 α-glucosidase 저해 활성과 α-amylase 저해활성 및 aldose reductase 저해활성을 지닌다.
최근에 발효된 각국의 생물자원에 대한 주권적 권리 행사 및, 생물 유전자원의 이용으로 발생된 이익을 자원 제공국과 공유 하도록 하는 나고야 의정서 (ABS; Access to Genetic Resources and Benefit Sharing)에 의해, 국내수요의 약 30% 를 수입에 의존 하고 있는 약용작물의 경우, 국내에서 부담해 야 하는 이른바 ‘생물로열티’가 연간 수백억 원에 달할 것으 로 추산된다 (Lee et al., 2018). 이 같은 상황은 벌개미취와 같은 국내 약용작물 자원을 안정적으로 공급할 수 있는 기반 을 마련하고, 우리 생물자원의 주권을 확립하는데 중요한 시 점이라고 할 수 있다.
벌개미취 (Aster koraiensis Nakai)는 조선자원 (朝鮮紫苑) 혹은 고려쑥부쟁이라고도 불리는 우리나라 특산종 식물로 남 부 지방의 습기가 있는 산과 들의 풀숲에서 자생하는 국화과 (Compositae) 쑥부쟁이속 (Aster)에 속하는 다년생 식물로서 어린순은 식용이 가능하며 한방에서는 보익, 해수, 이뇨, 지갈 등에 약재로 사용하고 있다 (Choi 2014; Kim et al., 2016b).
벌개미취 정유에서는 90 종이 넘는 물질이 확인되었고 주성 분은 항말라리아, 항염, 항균, 종양세포주 억제 등의 생리활성 을 갖는 것으로 알려진 sesquiterpene 화합물과 비타민 E와 K 의 전구체 및 항암, 항돌연변이, 지질산화 억제 등의 효능으로 알려진 phytol이 함유 된 것으로 보고되었다 (Choi, 2014).
벌개미취 뿌리의 분획물은 항암, 항균, 항진균 활성이 보고 되었으며 벌개미취 전초 추출물의 항산화 활성도 알려져 있다 (Shin and Park, 2014).
본 그룹의 선행 연구에서 벌개미취 지상부의 에탄올 추출 물이 두 가지 phenolic 물질인 chlorogenic acid (12.35 ± 0.22㎎/g)와 3,5-di-O-caffeoylquinic acid (22.54 ± 0.51㎎/g) 를 유효물질로 하여 STZ로 유도된 랫드 1 형 당뇨 모델에서 망막주변 미세혈관의 최종당화산물 축적 저해와 NF-κB 활성 저해를 통한 망막 혈관 세포 사멸 억제 (Kim et al., 2016)와 신장에서 최종당화산물의 생성 및 교차결합을 저해하는 것을 보고하였다 (Kim et al., 2016b).
또한 벌개미취 추출물은 Torii 랫드 당뇨 모델에서 고혈당으 로 유발된 망막 혈관 이상을 완화시켜 망막병증 치료 효능 (Kim et al., 2017)을 보이며 고산소로 유발된 망막 혈관 손 상 마우스 모델에서 VEGF 생성 저해를 통하여 혈관 신생을 억제하는 것이 확인되었다 (Kim et al., 2017).
본 연구에서는 지금까지 알려진 벌개미취 추출물의 생리활 성 외에 벌개미취 잎 추출물의 당뇨 및 그 합병증 치료에 직 접적인 도움이 될 수 있는 효능을 평가하기 위하여 벌개미취 잎의 열수 추출물과 에탄올 추출물의 유효성분 함량을 분석하 고 α-glucosidase 저해 효능 및 항산화 활성을 측정하였다.
재료 및 방법
1. 시약 및 재료
국내산 벌개미취 (Aster koraiensis Nakai)는 2016년 가을에 채집된 벌개미취 종자 (대림원예종묘, 경기도 과천시)를 늘참 영농조합 (충청남도 논산시)에서 무농약으로 재배 후 수확한 것으로 사용하였다.
Total antioxidant capacity (TAC) assay kit은 abcam (Cambridge, MA, USA)에서 구입하여 사용하였다. Acarbose, aminoguanidine hydrochloride, α-glucosidase from saccharomyces cerevisiae, chlorogenic acid (≥98%), 4- Nitrophenyl α-D-glucopyranoside는 Sigma-Aldrich (St. Louis, MO, USA)에서 구입하였다. 1M PIPES buffer는 DYNEBIO (Sungnam, Korea)에서 구입해서 사용하였다.
추출에 사용된 에탄올 (Daejung Chemical & Metals Co., Ltd., Siheung, Korea)은 특급 용매를 사용하였다. 3,5-di-Ocaffeoylquinic acid (3,5-diCQA, ≥98%)는 ChemFaces (Wuhan, China)로부터 구입하였으며, HPLC 분석을 위한 이동 상 용매 아세토니트릴과 물 (J. T. Baker, Phillipsburg, NJ, USA) 그리고 개미산 (Merck, Darmstadt, Germany)은 모두 HPLC급을 사용하였다.
HPLC 분석에는 Agilent 1200 analytical HPLC system (Santa Clara, CA, USA)이 사용되었으며, ChemStation software (Agilent, Santa Clara, CA, USA)가 장비 운용 및 분석 결과 처리에 사용되었다.
2. 추출방법
본 실험에 사용된 추출물은 ㈜한국신약 으로부터 제공받은 것으로, 추출 방법은 다음과 같다.
상온에서 건조한 벌개미취 잎에 정제수 및 에탄올 (30, 50, 80% 에탄올)을 각각 넣고 추출하였다. 각 추출물은 여과 및 농축을 거친 후 건조하여 최종적으로 4 종류의 추출물 (hot water, 30, 50, 80% 에탄올 추출물, 고형분 수율: 21%, 25%, 26%, 32.5%)을 얻었다.
3. Total antioxidant capacity (TAC) 측정
벌개미취 추출물의 TAC는 TAC assay kit (Abcam, Cambridge, CA, USA)의 매뉴얼에 따라 측정하였다. 우선 다 양한 농도의 추출물을 protein mask와 1 : 1의 비율로 섞은 후 3 차 증류수에 1/10로 희석하여 96 well-plate에 시료 100㎕ 를 준비한 후, 준비한 시료에 100㎕의 Cu2+ working solution을 섞은 다음 상온에서 90 분간 교반 시켰다.
반응이 끝난 후 spectrophotometer (SpectraMax M2, Molecular Devices, San Jose, CA, USA)를 이용하여 570㎚ 에서 흡광도를 측정하였다. TAC는 trolox (abcam)의 표준곡선 을 작성한 후 시료의 흡광도를 대입하여 환산하였다.
4. α-glucosidase 억제 활성 측정
벌개미취 추출물의 α-glucosidase 억제 활성을 측정하기 위 하여 DMSO에 녹인 AKEs를 0.1 M PIPES 버퍼에 희석하여 다양한 농도 (0.4 - 40㎎/㎖)로 준비하였다.
준비한 추출물 25㎕ 와 초순수증류수에 녹인 25㎕ α- glucosidase (200 mU/㎖)를 섞어 10 분 동안 실온에서 반응시 켰다. 그 다음 4 mM의 4-nitrophenyl α-D-glucopyranoside (pNPG)를 50㎕ 가한 후 25 분 후 Synergy HT (BioTek, Winooski, VT, USA)를 이용하여 405㎚에서 흡광도를 측정 하여 α-glucosidase 억제 활성을 나타내었다.
수행한 실험조건에서 50%의 α-glucosidase 효소 저해 활성 을 보이는 농도인 IC50값은 GraphPad Prism 7 (GraphPad software, La Jolla, CA, USA) 을 이용하여 계산하였다. 양성 대조군으로는 acarbose를 사용하였다.
5. α-glucosidase 억제 방식 결정
벌개미취 추출물의 α-glucosidase 억제 방식을 결정하기 위 하여 DMSO에 녹인 추출물을 0.1M PIPES 버퍼에 희석하여 다양한 농도 (열수: 4, 10, 20㎎/㎖; 80% 에탄올: 0.4, 2, 4㎎/㎖)로 준비하였다. 준비한 시료를 여러 농도(0.125 - 2mM)의 기질 4-Nitrophenyl α-D-glucopyranoside (pNPG) 50㎕와 섞은 후 25㎕ α-glucosidase (200 mU/㎖)를 넣고 2 분 간격으로 20 분 동안 405㎚에서 Synergy HT (BioTek, Winooski, VT, USA)를 이용하여 흡광도를 측정하였다.
반응속도는 α-glucosidase에 의한 pNPG의 생성물인 pnitrophenol의 몰 흡광도를 이용하여 각 시간당 흡광도를 pnitrophenol의 농도로 환산하여 계산하였다. 반응속도와 기질의 농도를 바탕으로 Michaelis-Menten 식 (Eq. 1) 과
| Eq. 1 |
Lineweaver-Burk 식 (Eq. 2) 을 이용하여 효소 억제 방식 을 결정하였다.
| Eq. 2 |
여기서, V는 반응속도, [S]는 기질 농도, Vmaxs는 최대반응 속도, Km은 Michaelis-Menten 상수를 의미한다.
6. 분석용 검액의 제조
각각의 벌개미취 추출물 100㎎을 10㎖ volumetric flask에 넣고 50% 메탄올을 사용하여 표선까지 맞춘 후 5 분간 초음 파 추출하였다. 제조한 검액 중 1㎖을 취하여 0.45㎛ Whatman PVDF syringe filter로 여과한 후 HPLC 분석에 사용하였다.
7. 표준 용액의 제조 및 검량선 작성
벌개미취 표준품 (chlorogenic acid, 3,5-di-O-caffeoylquinic acid) 2 종은 1㎎/㎖의 농도로 메탄올에 용해시킨 후 단계적 으로 희석하여 각각 1.25 - 100㎍/㎖의 농도 범위에서 검량선 용 표준용액을 제조하였다.
각각의 검량선용 표준용액을 컬럼에 주입하고 HPLC 분석 을 실시하여 크로마토그램을 얻었고, 이 peak data를 도식화하 여 정량분석을 위한 각각의 검량선을 작성하였다. 작성된 검 량선의 상관계수 (r2)를 구하여 직선성을 판단하였다.
검출한계 (limit of detection, LOD)와 정량한계 (limit of quantification, LOQ)는 신호 대 잡음비인 3과 10으로 계산하 였다.
8. HPLC 분석조건
Luna C-18 (2) analytical column (4.6 × 250㎜, 5.0㎛, Phenomenex, Torrance, CA, USA)이 HPLC 분석에 사용되었 으며 컬럼 온도는 35℃로 설정하였고 UV 검출기파장은 325㎚로 설정하였으며, 시료주입은 시료자동주입기를 이용하 여 5㎕를 주입하였다.
이동상은 0.1% 개미산-물 (A)과 아세토니트릴 (B) 혼합 용 액을 사용하여 처음 25 분 동안 90 : 10 (v/v)에서 86 : 14 (v/ v)으로 기울기 용리 조건을 사용하였고 25 분에서 60 분까지 는 86 : 14 (v/v)에서 75 : 25 (v/v)으로 기울기 용리 조건을 사 용하였다. 유속은 1.0㎖/min으로 설정하였다.
9. 통계분석
실험결과는 평균 ± 표준편차 (Mean ± SD)로 나타내었으며, 유의성 검정을 위하여 GraphPad Prism 7 (GraphPad Software, La Jolla, CA, USA)을 사용하였다. 유의적 차이가 있는 경우 (p < 0.05) one-way ANOVA (Tukey’s multiple comparison test)를 실시하였다.
결과 및 고찰
1. 벌개미취 추출물의 항산화능 측정
기존 연구 결과에 따르면 벌개미취 (Aster koraiensis Nakai)의 열수 추출물과 80% 에탄올 추출물에는 황산화 활 성을 갖는 유효물질인 phenolic 물질 (열수: 87.7 ± 5.01 ㎎·GAE/g, 80% 에탄올: 112.4 ± 3.41㎎·GAE/g)과 flavonoids (열수: 86.6 ± 3.71㎎·RE/g, 80% 에탄올: 95.1 ± 8.00㎎·RE/g) 가 함유되어 있는 것으로 보고되어 있다 (Shin and Park, 2014). 또한 벌개미취의 지상부 100% MeOH 추출물이 항산 화 효능 (DPPH 라디칼 소거 활성 IC50= 44.23㎍/㎖, ABTS 라디칼 소거 활성 IC50= 94.69㎍/㎖)을 갖는 다는 것이 알려 져 있다 (Lee et al., 2017).
또한 본 그룹의 기존연구에서 벌개미취의 유효성분으로 판단 한 chlorogenic acid는 과일, 향신료, 야채, 와인, 올리브오일, 커피 등에 주로 함유되어 있는 물질로 항산화 및 식후 혈당 강하를 통한 항당뇨 효능을 갖는 것으로 알려져 있다 (Matsui et al., 2006; Meng et al., 2013; Oboh et al., 2015). 또 다른 유효성분인 3,5-di-O-caffeoylquinic acid 역시 항산화활성 이 있는 것으로 보고되어 있다 (Li et al., 2018).
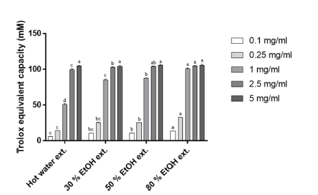
이러한 결과로부터 본 연구에서 사용한 벌개미취 잎의 열수 추출물과 30, 50, 80% 에탄올 추출물 역시 항산화능을 지닐 것으로 예상하여 그 효능을 확인하였다 (Fig. 1).
Total antioxidant capacity of A. koraiensis extracts.Total antioxidant capacity values are expressed as means ± SD of triplicate tests. *Means with difference letters are significantly different at p < 0.05 by Tukey’s multiple comparison test.
벌개미취 추출물을 처리하지 않은 대조군에 비하여 벌개미 취 열수 추출물을 0.1 - 5㎎/㎖ 처리 하였을 때, trolox 농도 환산 5.86 ± 0.12 - 104.87 ± 0.16 mM에 해당하는 항산화능을 보였고 30% 에탄올 추출물은 같은 농도에서 trolox 농도 환산 10.67 ± 0.19 - 104.35 ± 0.48 mM, 50% 에탄올 추출물은 trolox 농도 환산 10.96 ± 0.08 - 105.95 ± 0.39 mM, 80% 에탄올 추출 물은 trolox 농도 환산 13.69 ± 0.09 - 105.5 ± 0.96 mM의 항산 화 활성을 보여 벌개미취 추출물의 강한 산화스트레스 저해 활성을 알 수 있었다.
벌개미취 추출물의 항산화 활성은 Cu2+를 50% 환원 시키는 데 필요한 시료의 농도인 EC50 로 Table 1에 나타내었다. 추 출 시 용매의 에탄올 함량이 증가할수록 EC50 값이 낮아지는 경향을 보였으며 그중 80% 에탄올 추출물이 제일 낮은 EC50 값으로 가장 우수한 항산화능을 나타내었으나 다른 에탄올 추 출물과 비교할 때 유의미한 차이는 나타나지 않았다. 이 결과 로부터 에탄올에 의해 phenolic 물질이나 flavonoids와 같은 항산화능을 갖는 유효물질의 용출이 증가하나 에탄올의 비율 에 비례하지는 않는 것을 알 수 있다.
2. 벌개미취 추출물의 α-glucosidase 억제 활성 측정
Acarbose, miglitol, voglibose 등으로 대표되는 α- glucosidase 저해제는 장내에서 탄수화물의 분해 억제를 통하 여 식후 혈당을 감소시키는데 탁월한 효능을 지녀 1990년대 부터 치료목적으로 사용되어 왔다 (DiNicolantonio et al., 2015). 하지만 당 작용기를 지니는 물질의 특성상 복잡한 합성 과정이 필요하고 장기복용 시 복부팽만, 고장 (鼓腸), 설사, 낭 성장기종 등의 부작용을 지녀 보다 안전한 α-glucosidase 저해 제를 찾기 위한 연구가 필요하다 (Yin et al., 2014; Proença et al., 2017).
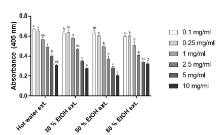
벌개미취 열수 추출물과 30, 50, 80% 에탄올 추출물에 대 한 혈당강하 활성을 평가하기 위하여 α-glucosidase 억제 효능 을 측정하였다 (Fig. 2).
Potent α-glucosidase inhibitory effect of A. koraiensis extracts.Samples were tested in triplicate experiments. Values are expressed as means ± SD of triplicate tests. *Means with difference letters are significantly different at p < 0.05 by Tukey’s multiple comparison test.
벌개미취 추출물을 처리하지 않은 그룹에 비하여 열수 추 출물과 에탄올 추출물 모두 유의적으로 α-glucosidase 활성을 저해하는 것을 확인 하였다.
IC50 값은 Table 2에 나타나듯이 열수 추출물은 4.73 ± 0.86㎎/㎖로 측정되었고 30, 50 80% 에탄올 추출물은 각각 5.46 ± 1.03㎎/㎖, 2.50 ± 0.31㎎/㎖, 1.65 ± 0.36㎎/㎖로 측정 되었다. 양성대조군인 acarbose는 1.08 ± 0.11㎎/㎖로 측정되 었다. 벌개미취의 추출물의 항산화능 측정 결과와 마찬가지로 추출 시 용매의 에탄올 함량이 높을수록 α-glucosidase 저해능 이 커지는 경향이 나타났다. 80% 에탄올 추출물의 경우 가장 낮은 IC50 값을 보여 추출물 중 가장 우수한 α-glucosidase 저 해능을 가진 것으로 판단되나 50% 에탄올 추출물과 비교 시 유의미한 차이는 나타나지 않았다.
이 측정값은 α-glucosidase의 저해제로 잘 알려져 있는 양성 대조군인 acarbose와 유사한 수준으로 추출물인 것을 감안할 때 매우 우수한 α-glucosidase 저해능을 지닌 것으로 사료된다.
3. 벌개미취 추출물의 α-glucosidase 억제 방식 결정
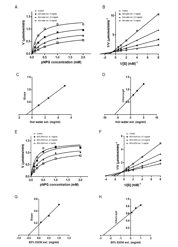
앞서 α-glucosidase 저해 활성을 보인 벌개미취 열수 추출물 과 에탄올 추출물 중 가장 낮은 IC50값을 보인 80% 에탄올 추출물을 선정하여 α-glucosidase 저해 방식을 결정하였다.
이를 위하여 우선 다양한 농도의 기질과 벌개미취 추출물을 이용하여 α-glucosidase 효소활성을 측정한 다음 Michaelis- Menten 식과 Lineweaver- Burk 식을 이용하여 Vmax와 Km 값을 구하였다 (Fig. 3).
α-glucosidase Inhibitory kinetics analysis of A. koraiensis extracts.(A) hot water extract Michaelis-Menten plot, (B) hot water extract Lineweaver-Burk plot, (C) slope of the Lineweaver-Burk plot against hot water extract concentration plot, (D) 1/Vmax against hot water extract concentration plot, (E) 80% EtOH extract Michaelis- Menten plot, (F) 80% EtOH extract Lineweaver-Burk plot, (G) slope of the Lineweaver-Burk plot against 80% EtOH extract concentration plot, (H) 1/Vmax against 80% EtOH extract concentration plot.
기질인 pNPG만 넣어주었을 때 Vmax는 1.60 μM/min, Km은 0.34 mM로 나타났으나 벌개미취 열수 추출물 1, 2.5, 5㎎/㎖ 을 같이 넣었을 때는 Vmax의 경우 1.27, 1.05, 0.82 μM/min 으로 낮아졌고 Km은 0.47, 0.69, 0.94 mM로 변하였다.
80% 에탄올 추출물의 경우는 pNPG만 넣어주었을 때 Vmax 는 1.56 μM/min, Km은 0.23 mM 로 나타났으나 추출물 0.1, 0.5, 1㎎/㎖을 같이 넣었을 때는 Vmax의 경우 1.59, 1.33, 1.2 μM/min으로 낮아지는 경향을 보였고, Km은 0.34, 0.43, 0.61로 높아졌다. 또한 효소와 물질간에 친화력을 나타내는 경 쟁적 저해 해리상수 (competitive inhibition constant)인 Kic와 무경쟁적 저해 해리상수 (uncompetitive inhibition constant)인 Kiu값을 계산하였다.
Kic는 Lineweaver-Burk 그래프의 기울기와 추출물의 농도를 도식한 그래프의 x-절편으로부터 구하였고, Kiu는 Lineweaver- Burk 그래프의 y절편값(1/Vmax)과 추출물의 농도를 도식하여 x-절편으로부터 얻었다 (Fig. 3).
열수 추출물은 Kic 0.9, Kiu 6.2, 80% 에탄올 추출물은 Kic 0.5, Kiu 2.7로 두 가지 추출물 모두 Kic≠Kiu의 결과를 보여 혼합형 저해제임을 알 수 있었다.
기존 연구에 따르면 chlorogenic acid와 caffeoylquinic acid 는 α-glucosidase의 비경쟁적 저해제 (Meng et al., 2013) 혹 은 혼합적 저해제 (Kalita et al., 2018)로 보고된 바 있는데 본 연구에서 벌개미취의 유효성분으로 분석한 chlorogenic acid와 3,5-di-O-caffeoylquinic acid에 의한 α-glucosidase 저 해역시 이러한 보고와 일치하는 것으로 사료된다.
4. HPLC 분석 조건의 확립
본 실험에서 사용된 벌개미취 열수 및 에탄올 추출물에서 이들 생리활성물질의 함유량을 분석하기 위한 실험을 수행하 였다. Luna C-18 (2) (4.6㎜ × 250, 5.0㎛) 컬럼을 사용하였 고, 컬럼 온도 35℃, UV 검출기 파장 325㎚ 및 0.1% 개미 산-물과 아세토니트릴 혼합 용매의 기울기 조건에서 지표성분 들의 분리도가 우수하였다.
검액에서 분석대상 피크의 retention time과 UV 흡수 파장 을 표준품과 비교하여 확인하였으며, HPLC 크로마토그램 상 에서 두 성분은 각각 10.8 및 45.3 분에 검출되었다 (Fig. 4).
5. 검량선, 검출한계 및 정량한계 작성
2 종의 표준품을 1.25 - 100㎍/㎖의 농도범위에서 검량선을 작성한 결과, 검량선 상관 계수 (r2) 값이 모두 0.999이상으로 양호한 직선성을 나타내었으며, 검출한계와 정량한계는 0.23 - 0.36㎍/㎖와 0.70 - 1.09㎍/㎖로 나타났다 (Fig. 5).
6. 벌개미취 추출물의 주요 성분 함량분석
개발된 HPLC 분석법으로 4 종의 벌개미취 추출물 속 2 종의 화합물에 대한 피크면적을 구하고, 각 표준품의 검량선 에 피크면적을 대입하여 2 개의 주요 성분에 대한 함량을 구 하였다 (Table 3). 4 종의 벌개미취 추출물에서 chlorogenic acid와 3,5-di-O-caffeoylquinic acid가 각각 2.76 - 7.68 및 2.04 - 10.45㎎/g의 함량 수치를 나타내었으며, 추출 시 에탄올 의 함량이 높아질수록 두 성분의 함량이 증가하는 경향을 보 였다.
본 연구를 통하여 얻은 결과로부터 벌개미취 잎의 열수 및 에탄올 추출물이 우수한 항산화능을 갖으며 혼합형 저해 방식 으로 α-glucosidase의 활성을 저해하는 것을 확인하였다.
기존에 벌개미취의 유효성분으로 제시된 chlorogenic acid와 3,5-di-O-caffeoylquinic acid의 함량은 추출용매의 에탄올 비율 이 높아짐에 따라 증가하나 30% 에탄올 추출물의 경우 50, 80% 에탄올 추출물에 비해 두 유효성분의 함량이 현저히 적 은데도 불구하고 항산화능을 측정한 결과에서 비슷한 EC50 값 을 보인 것을 보아 분석이 이루어지지 않은 생리활성 성분들 이 이에 영향을 미쳤을 가능성을 생각해볼 수 있다.
α-glucosidase 저해능은 두 가지 유효성분의 함량에 비례하 는 경향을 나타내어 직접적인 영향을 미치는 것으로 판단 된다. 이러한 결과로 부터 앞서 제시된 유효성분을 포함한 생 리활성 물질의 적절한 분리 및 동정이 이루어져야 할 필요가 있을 것으로 사료된다.
감사의 글
본 연구는 농림축산식품부의 재원으로 농림식품기술기획평 가원 농생명산업기술개발사업(과제번호: 316023-05-3-HD020) 의 지원에 의해 이루어진 결과로 이에 감사드립니다.
References
-
American Diabetes Association, (2014), Diagnosis and classification of diabetes mellitus, Diabetes Care, 37, Supplement 1p81-90, 24357215.
[https://doi.org/10.2337/dc14-S081]
- Choi, HJ, Kang, JS, Choi, YW, Jeong, YK, Joo, WH, (2008), Inhibitory activity on the diabetes related enzymes of tetragonia tetragonioides, Korean Journal of Biotechnology and Bioengineering, 23, p419-424.
-
Choi, HS, (2014), The quantitative changes of major compounds from Aster koraiensis Nakai essential oil by harvesting time, Korean Journal of Food and Nutirition, 27, p194-202.
[https://doi.org/10.9799/ksfan.2014.27.2.194]
-
DiNicolantonio, JJ, Bhutani, J, O'Keefe, JH, (2015), Acarbose: Safe and effective for lowering postprandial hyperglycaemia and improving cardiovascular outcomes, Open Heart, 2, pe000327, (cited by 2018 Jul 7).
[https://doi.org/10.1136/openhrt-2015-000327]
-
Gerich, J., (2013), Pathogenesis and management of postprandial hyperglycemia: Role of incretin-based therapies, International Journal of General Medicine, 6, p877-895, 24403842.
[https://doi.org/10.2147/IJGM.S51665]
-
Kalita, D, Holm, DG, LaBarbera, DV, Petrash, JM, Jayanty, SS, (2018), Inhibition of α-glucosidase, α-amylase, and aldose reductase by potato polyphenolic compounds, PLoS One, 13, pe0191025, https://journals.plos.org/plosone/article?id=10.1371/journal.pone.0191025 (cited by 2018 Aug 6).
[https://doi.org/10.1371/journal.pone.0191025]
-
Kim, JE, Hwang, IS, Goo, JS, Nam, SH, Choi, SI, Lee, HR, Lee, YJ, Kim, YH, Park, SJ, Kim, NS, Choi, YH, Hwang, DY, (2012), LP9M80-H isolated from liriope platyphylla could help alleviate diabetic symptoms via the regulation of glucose and lipid concentration, Journal of Life Science, 22, p634-641.
[https://doi.org/10.5352/JLS.2012.22.5.634]
-
Kim, JH, Jo, KH, Kim, CS, Kim, JS, (2017), Aster koraiensis extract prevents diabetes-induced retinal vascular dysfunction in spontaneously diabetic Torii rats., BMC Complementary and Alternative Medicine, 17, p497, https://bmccomplementalternmed.biomedcentral.com/track/pdf/10.1186/s12906-017-1998-3 (cited by 2018 Aug 6).
[https://doi.org/10.1186/s12906-017-1998-3]
-
Kim, JH, Jo, KH, Lee, IS, Kim, CS, Kim, JS, (2016a), The extract of Aster koraiensis prevents retinal pericyte apoptosis in diabetic rats and its active compound, chlorogenic acid inhibits AGE formation and AGE/RAGE interaction, Nutrients, 8, pE585, https://www.mdpi.com/2072-6643/8/9/585/htm (cited by 2018 Aug 6).
[https://doi.org/10.3390/nu8090585]
- Kim, JH, Kim, CS, Kim, JS, (2016b), Inhibitory effects of the EtOH extract of Aster koraiensis on AGEs formation in STZinduced diabetic rats and AGEs-induced protein cross-linking in vitro, Korean Journal of Pharmacognosy, 47, p312-318.
-
Kim, JS, Kim, KC, (2016), Antioxidant and α-glucosidase inhibitory activities of Tradescantia pallida(rose) hunt leaf extract and fractions, Korean Journal of Medicinal Crop Science, 24, p222-227.
[https://doi.org/10.7783/KJMCS.2016.24.3.222]
-
Ko, HM, Eom, TK, Song, SK, Jo, GY, Kim, JS, (2017), Tyrosinase and α-glucosidase inhibitory activities and antioxidant effects of extracts from different parts of Hypochaeris radicata, Korean Journal of Medicinal Crop Science, 25, p139-145.
[https://doi.org/10.7783/KJMCS.2017.25.3.139]
- Lee, GM, Kim, DU, Kang, YM, (2018), New insight on development plan of herbal medicine resources production through the network of medicinal resources-related institutes in Korea, Korean Herbal Medicine Informatics, 6, p19-26.
-
Lee, JM, Park, JH, Chu, WM, Yoon, YM, Park, EJ, Park, HR, (2011), Antioxidant activity and alpha-glucosidase inhibitory activity of stings of Gleditsia sinensis extracts, Journal of Life Science, 21, p62-67.
[https://doi.org/10.5352/JLS.2011.21.1.62]
-
Lee, SA, Lee, DH, Baek, JW, Jung, EB, Baek, JY, Lee, IK, Jang, TS, Kang, KS, Kim, KH, (2017), In vitro assessment of selected Korean plants for antioxidant and antiacetylcholinesterase activities, Pharmaceutical Biology, 55, p2205-2210, 29115888.
[https://doi.org/10.1080/13880209.2017.1397179]
-
Li, X, Li, K, Xie, H, Xie, Y, Li, Y, Zhao, X, Jiang, X, Chen, D, (2018), Antioxidant and cytoprotective effects of the di-Ocaffeoylquinic acid family: The mechanism, structure-activity relationship, and conformational effect, Molecules, 23, pE222, https://www.mdpi.com/1420-3049/23/1/222 (cited by 2018 Jan 18).
[https://doi.org/10.3390/molecules23010222]
-
Matsui, T, Ogunwande, IA, Abesundara, KJ, Matsumoto, K, (2006), Anti-hyperglycemic potential of natural products, Mini- Reviews in Medicinal Chemistry, 6, p349-356, 16515474.
[https://doi.org/10.2174/138955706776073484]
-
Meng, S, Cao, J, Feng, Q, Peng, J, Hu, Y, (2013), Roles of chlorogenic acid on regulating glucose and lipids metabolism: A review., Evidence-Based Complementary and Alternative Medicine, 2013, p801457, https://www.hindawi.com/journals/ecam/2013/801457/abs/ (cited by 2018 Aug 6).
[https://doi.org/10.1155/2013/801457]
-
Oboh, G, Agunloye, OM, Adefegha, SA, Akinyemi, AJ, Ademiluyi, AO, (2015), Caffeic and chlorogenic acids inhibit key enzymes linked to type 2 diabetes(in vitro): A comparative study, Journal of Basic and Clinical Physiology and Pharmacology, 26, p165-170, 24825096.
[https://doi.org/10.1515/jbcpp-2013-0141]
-
Proença, C, Freitas, M, Ribeiro, D, Oliveira, EFT, Sousa, JLC, Tom, SM, Ramos, MJ, Silva, AMS, Fernandes, PA, Fernandes, E, (2017), α-Glucosidase inhibition by flavonoids: Anin vitro and in silico structure-activity relationship study, Journal of Enzyme Inhibition and Medicinal Chemistry, 32, p1216-1228, 28933564.
[https://doi.org/10.1080/14756366.2017.1368503]
-
Rios, JL, Francini, F, Schinella, GR, (2015), Natural products for the treatment of type 2 diabetes mellitus, Planta Medica, 81, p975-994, 26132858.
[https://doi.org/10.1055/s-0035-1546131]
-
Shin, EH, Park, SJ, (2014), Component analysis and antioxidant activity of Aster koraiensis Nakai., Journal of theKorean Society of Food Science and Nutrition, 43, p74-79.
[https://doi.org/10.3746/jkfn.2014.43.1.074]
- World Health Organization(WHO), (2016), Global report on diabetes, World Health Organization, p6-7.
-
Yamagishi, S, Nakamura, K, Takeuchi, M, (2005), Inhibition of postprandial hyperglycemia by acarbose is a promising therapeutic strategy for the treatment of patients with the metabolic syndrome, Medical Hypotheses, 65, p152-154, 15893133.
[https://doi.org/10.1016/j.mehy.2004.12.008]
-
Yin, Z, Zhang, W, Feng, F, Zhang, Y, Kang, W, (2014), α- Glucosidase inhibitors isolated from medicinal plants, Food Science and Human Wellness, 3, p136-174.
[https://doi.org/10.1016/j.fshw.2014.11.003]





