
금잔화, 상황, 어성초 에탄올 추출물의 세포독성 평가 및 3T3-L1 세포에 대한 육모 효과
© The Korean Society of Medicinal Crop Science. All rights reserved.
This is an Open-Access article distributed under the terms of the Creative Commons Attribution Non-Commercial License ( http://creativecommons.org/licenses/by-nc/3.0 ) which permits unrestricted non-commercial use, distribution, and reproduction in any medium, provided the original work is properly cited.
Abstract
Hair loss related syndromes are increasing due to environmental pollution and stress. Hair care products are mainly prepared by mixing chemicals and natural extracts, such as those obtained from medicinal plants. The purpose of this study was to investigate the effects of 70% ethanol extracts from the flowers of Calendula officinalis, fruit body of Phellinus linteus, and the whole plant of Houttuynia cordata on the growth of CCD-986 cells, hair follicle dermal papilla cells (HFDPC), and 3T3-L1 cells.
All sample extracts at all concentrations, except for that from P. linteus fruit body at 500μg/ml, were cytotoxic to CCD-986 cells. However, none of the sample extracts were cytotoxic to HFDPC. The lipid differentiation of 3T3-L1 cells regulates hair regeneration via secretion of platelet derived growth factor. The 70% ethanol extract of H. cordata whole plant promoted hair growth. Adipogenesis rate significantly increased in a treatment concentration-dependent manner.
These results suggest that 70% ethanol extracts of C. officinalis flower, P. linteus fruit body and H. cordata could be used for the development of hair care products.
Keywords:
Calendula officinalis, Houttuynia cordata, Phellinus linteus, Adipocyte, Hair Growth Effect서 언
모발은 외부 요인으로 부터 두피를 보호하는 기능을 하며, 외모를 돋보이게 하는 미적효과가 크다. 환경오염, 불규칙한 식습관 및 스트레스로 인하여 탈모증 빈도가 급격히 증가하여 탈모 예방, 모발 강화 및 두피건강관련 시장 규모는 매년 성 장세에 있다 (Choi, 2013). 과거에는 탈모가 40 - 50 대 중년 남성만의 고민으로 여겨졌으나 최근에는 남녀노소 구분 없이 범위가 확대되고 있으며, 탈모 환자 중 여성이 300만 명 이상 으로 추산되고 있다 (Choi, 2013).
이에 따라 탈모제 개발이 전 세계적으로 진행 되고 있으며, 미국 FDA (Food and Drug Administration)의 승인을 받은 탈모 치료제로는 미녹시딜 (minoxidil)과 피나스테리드 (finasterids)가 있으나 심혈관계 질환, 성기능장애, 피부염, 기 형아출산 등 의 부작용이 보고되고 있다 (Choi et al., 2017). 이와 같은 부작용이 발생한 기성 의약품을 대체하고자 백자인, 산수유, 의이인, 구기자, 감초 5 가지 소재의 육모효과를 검정 한 바 있다 (Park et al., 2004).
본 연구에서는 약용식물 중 두피와 모발을 건강하게 할 수 있을 것으로 기대되는 소재를 국내외 문헌자료 분석 및 선행연 구를 통하여 금잔화 (Calendula officinalis L.), 상황 [Phellinus linteus (Berk. et Curt.) Teng], 어성초 (Houttuynia cordata) 로 선정하여 본 연구를 수행하였다.
금잔화는 국화과 (Compositae)에 속하며, 피부질환에 효과가 있는 약용 식물로 알려져 있고 (Fonseca et al., 2010), 진통 효과, 항궤양 및 상처치유 효과 (Mishra et al., 2010) 등을 나타낸다고 보고되어있다.
상황은 담자균문 (Basidiomycotina), 민주름버섯목 (Aphyllophorales), 소나무비늘버섯과 (Hymenochaetaceae)에 속하는 백 색 부후균이다 (Cheon et al., 2006). Kim 등 (2008)은 상황 이 피부주름 개선 물질로서의 가능성이 있고, ceramide로 인 한 피부 장벽 강화 작용 및 염증제거 효과가 보고되어있다 (Moon et al., 1995).
어성초는 삼백초과 (Saururaceae)에 속하는 다년생 초본으로 잎과 줄기에서 나는 특유의 비린내로 인해 어성초라 불리고, 이뇨, 진통, 지혈 등의 약리작용이 있다고 알려져 있으며 (Kim, 2009), quercetin과 tannin 등의 항산화 물질이 함유되 어 있다 (Lee et al., 2002). 최근 어성초를 포함한 천연복합 추출물이 미녹시딜과 같이 모발의 성장에 영향을 끼치는 성장 인자들을 조절하여 모낭 및 주변 조직의 성장을 촉진하고 혈 액순환을 개선하여 발모 및 탈모에 효과가 기대된다고 보고한 바 있다 (Hong et al., 2015).
대부분의 탈모 환자가 탈모 방지 및 발모를 위하여 탈모 샴 푸 등의 헤어 제품을 사용하고 있으며, 그 중 대부분이 식물 과 한약재 추출물 등 천연물 소재를 이용한 한방샴푸로 알려 져 있다 (Hong and Jung, 2013). 그러나 천연, 한방 샴푸 등 탈모 예방 및 개선과 관련된 소재 추출물들의 안전성 및 생리 적 활성에 관한 연구는 매우 미흡한 상황이다. 따라서 본 연구 에서는 금잔화, 상황, 어성초의 최적 추출조건을 탐색하고, 생 리활성 물질인 폴리페놀과 플라보노이드 함량을 분석하였다. 또한 최적 추출용매로 선정된 70% ethanol 추출물들의 세포 독성을 육모와 관련된 섬유아세포, 모유두세포 및 지방전구세 포를 대상으로 실험하였으며, 최종적으로 지방전구세포 (3T3- L1 cell)를 대상으로 한 육모효과를 검정하였다.
재료 및 방법
1. 실험 재료
금잔화 (Calendula officinalis L.), 어성초 (Houttuynia cordata)는 전라북도 남원시 송동면 지리산디앤에이치 (북위 35°21'20.5"N, 경도 127°21'06.1"E)에서 수확하여 음건하였고, 상황 [Phellinus linteus (Berk. et Curt.) Teng]은 열풍건조한 후 분쇄된 시료에 10 배의 70% ethanol을 가하여 80℃에서 12 시간 환류 추출한 후 여과 (Whatman No. 2, Whatman Co., Maidstone, England)하여 동결건조 (PVTFD10R, Ilsin Bio Base Co., Ltd., Dongducheon, Korea)한 후 4℃에서 냉장 보 관 하며 사용하였다.
2. 총 폴리페놀 함량 측정
총 페놀성 화합물 함량 (TPC, total polyphenol content)은 Folin-Denis법 (Park et al., 2017)에 준하여 분석하였다. 금잔 화, 상황, 어성초 3 종 시료를 각각 5 g을 취하여 70% ethanol 50㎖로 환류 추출하고, 동결건조하여 추출수율을 시 료 중량 대비 ㎎/g으로 나타내었다 (Table 1).

Content of soluble solid of solvent extracts from Calendula officinalis flower, Phellinus linteus and Houttuynia cordata whole plant
추출수율이 가장 높게 나타난 70% ethanol 추출물들의 동 결건조물을 증류수로 희석한 후 Folin 시약 (Sigma-Aldrich Co., St. Louis, MO, USA) 2㎖를 첨가하여 3 분 후에 10% Na2CO3 5㎖를 가해 혼합하여 발색시켰다. 1 시간 후 발색된 시약을 660㎚에서 흡광도를 측정하였으며, 표준물질 은 gallic acid (Sigma-Aldrich Co., St. Louis, MO, USA)를 0.5, 1.0, 5.0 및 10㎎%로 만들어 처리한 후 표준곡선을 만 들어 총 폴리페놀 함량을 환산하였다.
3. 총 플라보노이드 함량 측정
총 플라보노이드 함량 (TFC, total flavonoid content)은 Teng과 Lee (2013)의 방법에 준하여 측정하였다. 시료 70% ethanol 추출물들의 동결건조물을 증류수로 희석액 70㎕ 와 5% NaNO2 50㎕ 및 10% Al(NO3)3·9H2O 50㎕를 넣고 6 분 동안 반응시켰다. 그 후 1 N NaOH 용액 500㎕를 각 tube에 넣은 후 UV spectrophotometer를 이용하여 510㎚에 서 흡광도를 측정하였다. 측정된 흡광도는 rutin (Sigma- Aldrich Co., St. Louis, MO, USA)을 표준물질로 사용한 표 준곡선에 대입하여 총 플라보노이드 함량을 환산하였다.
4. 세포 배양
섬유아세포 (CCD-986sk)는 한국세포주은행으로부터 분양받 아 형태를 관찰하며 10 회 이하로 계대배양한 세포를 실험에 사용하였다. CCD-986sk 세포주는 10% fetal bovine serum (FBS, Invitrogen Co., Carlsbad, CA, USA)이 첨가된 Dulbecco’s modified Eagle’s medium (DMEM, Invitrogen Co., Carlsbad, CA, USA) 배지를 사용하여 37℃, 5%의 CO2 incubator에서 계대배양하며 실험에 사용하였다.
인간모유두세포 (Human follicle dermal papilla cell)는 Promocell GmbH (Heidelberg, Germany)사에서 구매하여, 48 세 백인남성 (cell viability: 91%)으로부터 채취한 인간모유두 세포를 본 실험에 사용하였다. 인간모유두세포는 Supplement mix (Promocell GmbH, Heidelberg, Germany)를 혼합한 follicle dermal papilla cell growth medium (Promocell GmbH, Heidelberg, Germany)을 사용하여 37℃, 5%의 CO2 incubator에서 배양하였다. 세포의 특성상 실험은 passage 4 - 6 사이의 세포를 사용하였다.
지방전구세포인 3T3-L1 cell은 한국세포주은행으로부터 분 양받아 10% FBS와 1% antibiotic/antimycotic agent가 들어 있는 DMEM에서 배양하였으며, 실험 전 기간 동안 2 일 간 격으로 배지교환을 수행하였다.
5. 세포독성 측정
섬유아세포, 인간모유두세포 및 지방전구세포에 대한 세포 독성은 Green 등 (1984)의 방법을 사용하여 측정하였다. 96 well plate에 섬유아세포 (CCD-986sk)는 2 × 104 cells/㎖, 인간 모유두 세포 (HFDPC)는 4 × 104 cells/㎖, 지방전구세포 (3T3- L1)는 1 × 105 cells/㎖의 농도로 계대배양 하고 24 시간 안정 화시켰다. 일정 농도의 시료를 처리하여 24 시간 반응 후 5- 3-carboxymethoxyphenyl-2-4,5-dimethylthiazolyl-3-4-sulfophenyl tetrazolium, inner salt (MTS, Promega, Madison, WI, USA) 시약을 10㎕씩 첨가하였다. 반응 4 시간 후 Microplate absorbance reader EPOCH (Bio-Tek, Winooski, VT, USA) 로 540㎚에서 흡광도를 측정하였으며 세포의 증식 정도는 대 조구의 흡광도에 대한 백분율로 나타냈다.
6. 지방전구세포 분화 확인
지방전구세포에서의 지방분화 확인은 Choi 등 (2013)의 방 법으로 확인하였다. 12 well plate에 3T3-L1 cell을 1 × 104 cells/㎖로 seeding하여 2 일 간격으로 배지를 교환하고 4 일간 배양하였다. 지방세포로 분화를 일으키기 위해 differentiation medium [DMII, 0.5mM 3-Isobutyl-1-methylxanthine (IBMX Sigma-Aldrich Co., St. Louis, MO, USA), 1㎎/㎖ insulin, 0.25 μM dexamethasone, 100 μM indomethacin]을 처리하였다. 이때, 각 시료의 분화 효과를 확인하기 위해서 시료를 일정 농도로 동시 처리하였다. 48 시간 배양을 한 후, insulin medium (1㎎/㎖ insulin)으로 교체하고 48 시간을 더 배양을 하였다. 배양이 끝나면, Oil red O 염색하여 지방세포로 분화 하는 것을 확인하였다.
7. Oil red O staining
일정 농도별로 처리한 시료가 3T3-L1 cell의 분화를 유도하 는 결과를 Oil red O 염색을 통하여 확인하였다. 분화된 3T3-L1 세포에 추출물을 처리하여 48 시간 동안 배양한 후, phosphate bufferd saline (PBS, Gibco BRL, Gaithersburg, MD, USA)로 3 회 세척한 뒤 4% paraform aldehyde로 4℃ 에서 30 분간 고정하였다. 고정된 세포는 PBS로 3 회 세척한 후 4℃에서 1 시간 동안 0.5% Oil red O 염색시약 (in 60% isopropanol and 40% water)으로 염색한 뒤 PBS로 3 회 세척하였다. 염색된 지방은 dimethyl sulfoxide (DMSO, Sigma-Aldrich Co., St. Louis, MO, USA)에 용해한 후 500㎚에서 흡광도를 측정하였다. 지방함량은 대조군의 흡광 도 평균값에 대해 백분율로 계산하였다 (Shon et al., 2016).
8. 통계 처리
실험 결과는 SPSS (Statistical Package for Social Science, version 12.0, SPSS Inc., Chicago, IL, USA)를 이용하였으며, 3 회 반복한 측정값을 평균값 ±표준편차 (means ± SD)로 표 시하였다. 시료간의 유의적인 차이는 Duncan's Multiple Range Test (DMRT)로 유의수준 5% (p > 0.05)에서 검증하였다.
결과 및 고찰
1. 총 폴리페놀 및 총 플라보노이드 함량
금잔화 (Calendula officinalis L.), 상황 [Phellinus linteus (Berk. et Curt.) Teng], 어성초 (Houttuynia cordata) 70% ethanol 추출물들의 총 폴리페놀 함량과 총 플라보노이드 함량 을 측정한 결과는 Table 2와 같다. 총 폴리페놀 함량과 총 플라보노이드 함량은 상황 (134.93㎍·GAE/㎎, 42.38㎍· RE/㎎), 금잔화 (24.39㎍·GAE/㎎, 17.62㎍·RE/㎎), 어성초 (21.50㎍·GAE/㎎, 11.24㎍·RE/㎎)순으로 높게 나타났다.

The content of Total polyphenol and flavonoid from 70% ethanol extracts of Calendula officinalis flower, Phellinus linteus and Houttuynia cordata whole plant
Phenol 류 물질과 flavonoid 화합물은 인체의 면역 증강 및 신체대사에 관여하는 것으로 보고 된 바 (Hoult and Paya, 1996)있다. 기존 연구를 참고하여 정리한 바에 따르면 3 종 약용식물의 총 폴리페놀 함량과 총 플라보노이드 함량은 상 황 (432.92㎍·GAE/㎎, 42.61㎍·RE/㎎)>금잔화 (17.56㎍· GAE/㎎, 16.77㎍·RE/㎎) >어성초 (10.20㎍· GAE/㎎, 12.15㎍·RE/㎎) 순으로 나타나 본 연구에서 나타난 3 종 시 료들의 총 폴리페놀 함량 및 총 플라보노이드 함량과 각 시료 별 함량 차는 존재하지만 순서는 유사성을 나타내었다 (Kim et al., 2008; Cai et al., 2012; Jurinjak Tusek et al., 2016).
2. 섬유아세포에 대한 독성 평가
섬유아세포 (fibroblast)는 콜라겐과 엘라스틴 등을 생산하며 피부 조직의 진피를 구성한다 (Wendt et al., 2011). 노화가 진행 될수록 콜라겐, 엘라스틴 및 섬유아세포 등 구조 단백질 량이 감소하여 조직이 느슨해지는 것이 탈모 발생 요인 중 하 나로 알려져 있다 (Kim and Li, 2012).
금잔화, 상황 및 어성초 70% ethanol 추출물의 육모효능 확인을 위하여 각각 10, 50, 100 및 500㎍/㎖의 농도별로 처리하여 섬유아세포인 CCD-986sk 세포주에 대한 독성을 확 인한 결과는 Fig. 1에 나타내었다. 금잔화 70% ethanol 추출 물을 고농도인 500㎍/㎖로 처리한 결과, 세포생존율이 90.5% 로 확인되어 세포 독성이 없는 것으로 나타났다. 상황 70% ethanol 추출물은 100㎍/㎖ 이하 농도에서는 세포 독성이 없 는 것으로 나타났으나, 고농도인 500㎍/㎖ 에서 세포생존율이 72.7% 측정되어 약간의 독성이 나타났다. 어성초 70% ethanol 추출물은 50, 100 및 500㎍/㎖의 농도별로 처리한 결과 107.3%, 109.6% 및 128.2%로 세포 생존율이 증가하였다.
Effect of 70% ethanol extracts of Calendula officinalis flower, Phellinus linteus fruit body and Houttuynia cordata whole plant on the cell viability of CCD986-sk cellsMean values ± SD from triplicate separated experiments are shown. *Mean with differences (a - c) letters are significantly different at p < 0.05 in same concentrations by Duncan's Multiple Range Test (DMRT). ; 70% ethanol extract of Calendula officinalis flower, ; 70% ethanol extract of Phellinus linteus fruit body, ; 70% ethanol extract of Houttuynia cordata whole plant.
Jung 등 (2014)은 어성초 추출물이 염보제 성분인 초산납에 의한 세포독성을 완화할 뿐만 아니라 초산납에 의한 NIH3T3 세포생존율의 감소를 억제하여 세포생존율이 유의하게 증가하 였다고 보고한 바 있다.
본 연구결과 어성초 70% ethanol 추출물 처리는 농도 의존 적으로 섬유아세포의 생존율을 증가시켜, 피부 진피의 세포 성 장 촉진효과가 있을 것으로 기대되며, 발모 및 노화로 인한 탈모 예방에 도움이 될 것으로 판단된다.
3. 모유두세포에 대한 독성 평가
모유두세포는 모발을 형성케 함으로써 발모와 탈모에 관여 하는 것으로 알려져 있다 (Oh et al., 2004). 금잔화, 상황 및 어성초 70% ethanol 추출물의 육모효능 확인을 위하여 각각 시료를 10, 50, 100 및 500㎍/㎖의 농도별로 처리하여 인간 모유두세포 (HFDPC) 세포주에 대한 독성을 확인한 결과는 Fig. 2에 나타내었다.
Effect of 70% ethanol extracts of Calendula officinalis flower, Phellinus linteus fruit body and Houttuynia cordata whole plant on the cell viability of HFDPC cells.Mean values ± SD from triplicate separated experiments are shown. *Mean with differences (a - c) letters are significantly different at p<0.05 in same concentrations by Duncan's Multiple Range Test (DMRT). ; 70% ethanol extract of Calendula officinalis flower, ; 70% ethanol extract of Phellinus linteus fruit body, ; 70% ethanol extract of Houttuynia cordata whole plant.
금잔화 70% ethanol 추출물을 각각 10, 50, 100 및 500㎍/㎖로 모유두세포에 처리한 결과 99.1%, 98.8%, 98.4% 및 99.9%의 세포 생존율을 나타내었으며, 상황 70% ethanol 추출물을 99.5%, 99.1%, 100.3%, 98.9%, 어성초 70% ethanol 추출물은 101.1%, 99.6%, 98.4%, 96.6%의 세포생존 율이 측정되어, 3 가지 시료 추출물 모두 모유두세포에 대하 여 독성을 나타내지 않는 것으로 확인되었다.
기존 연구에서 세포 독성은 세포생존율이 80% 이하일 때 독성이 있는 것으로 판단하고 있으며 (Kim et al., 2004) 따 라서 본 연구에 사용한 금잔화, 상황 및 어성초 70% ethanol 추출물은 모유두세포를 대상으로 한 육모 제품 개발에 부작용 이 없을 것으로 기대된다.
4. 지방전구세포 독성
지방전구세포 (3T3-L1)에 각각의 시료를 10, 50, 100 및 500㎍/㎖의 농도로 처리한 후 24 시간 후에 세포 세포독성 을 확인한 결과는 Fig. 3과 같다.
Effect of 70% ethanol extracts of Calendula officinalis flower, Phellinus linteus fruit body and Houttuynia cordata whole plant on the cell viability of 3T3-L1 cells.Mean values± SD from triplicate separated experiments are shown. *Mean with differences (a - c) letters are significantly different at p < 0.05 in same concentrations by Duncan's Multiple Range Test (DMRT). ; 70% ethanol extract of Calendula officinalis flower, ; 70% ethanol extract of Phellinus linteus fruit body, ; 70% ethanol extract of Houttuynia cordata whole plant.
금잔화 70% ethanol 추출물을 각각 10, 50, 100 및 500㎍/㎖의 농도로 지방전구세포에 처리하였을 때, 세포생존 율은 각각 101.1%, 98.8%, 98.1% 및 99.6%로 나타났으며, 상황 추출물은 99.5%, 99.0%, 99.1%, 93.4%, 어성초 추출물 은 97.3%, 98.4%, 95.6% 및 74.5%의 세포생존율이 측정되 어 어성초를 제외한 금잔화와 상황 70% ethanol 추출물들은 지 방전구세포에 대하여 독성을 나타내지 않는 것으로 나타났다. 어성초 추출물 500㎍/㎖ 농도에서 74.5%의 세포생존율이 측 정되어 고농도로 처리하였을 시 지방전구세포의 생존율에 약 간의 저해를 가하는 것으로 나타났다.
Festa 등 (2011)은 지방전구세포가 모낭세포의 활성을 조절 하고 생체 내에서 모발 주기의 성장기를 유도한다고 보고하였 다. 본 연구 결과 금잔화, 상황, 어성초 모두 100㎍/㎖이하의 농도에서는 지방전구세포의 생존을 저해하지 않는 것으로 확 인되었으나, 모발 주기 중 모유두의 활동과 관련된 (Soma et al., 2002) 제품 개발에는 어성초 70% ethanol 추출물의 농도 조절이 필요한 것으로 생각된다.
5. 지방 분화 확인
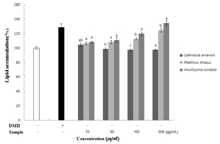
지방전구세포 (3T3-L1)에 금잔화, 상황, 어성초 70% ethanol 추출물을 각각 10, 50, 100, 500㎍/㎖ 의 농도로 처리 하여 지방세포로의 분화율을 측정한 결과는 Fig. 4, 5와 같다.
The lipid precursors activity of 70% ethanol extracts of Calendula officinalis flower, Phellinus linteus fruit body and Houttuynia cordata whole plant flower on 3T3-L1 cells.Mean values±SD from triplicate separated experiments are shown. *Mean with differences (a - c) letters are significantly different at p<0.05 in same concentrations by Duncan's Multiple Range Test (DMRT). ; 70% ethanol extract of Calendula officinalis flower, ; 70% ethanol extract of Phellinus linteus fruit body, ; 70% ethanol extract of Houttuynia cordata whole plant.
The microscopic pictures of lipid precursors activity of 70% ethanol extracts from Calendula officinalis flower (A), Phellinus linteus (B) and Houttuynia cordata whole plant (C) on 3T3-L1 cells by different concentrations.
금잔화 70% ethanol 추출물을 각각 10, 50, 100, 500㎍/㎖ 의 농도로 3T3-L1 세포에 처리한 결과 104.3%, 98.7%, 97.4%, 97.2%의 분화율을 나타내었으며, 상황 추출물 은 106.5%, 108.3%, 112.5%, 124.5%, 어성초 추출물은 108.3%, 110.8%, 119.8%, 134.3%의 분화율을 나타내었다. 상 황 ethanol 추출물과 어성초 ethanol 추출물에서는 농도의존적 으로 3T3-L1 세포의 분화율이 높아졌으나, 금잔화 ethanol 추 출물은 농도와 반비례한 세포 분화율을 나타내었다.
Kim 등 (2015)은 피하지방의 활성에 관계하는 혈소판유래 성장인자 (PDGF-D)의 활성이 높을 때, 모발 재생 기능이 향 상되었다고 보고한 바 있다. 또한 어성초에는 강력한 항염증 및 항생작용을 하는 물질인 decanoyl acetaldehyde이 포함되어 있다고 보고된 바 있다 (Lu et al., 2005). 이와 같은 선행연 구들을 바탕으로 본 연구의 상황 70% ethanol 추출물과 어성 초 70% ethanol 추출물은 decanoyl acetaldegyde와 같은 생 리활성성분이 다량 함유되어 있을 것으로 생각되며, 모발의 성 장에 도움이 될 것으로 보인다.
이와 같이 발모 및 탈모에 효과를 나타낼 수 있는 기능성 소재 탐색을 위하여 연구를 진행한 결과를 종합적으로 살펴보 면 어성초 70% ethanol 추출물이 헤어 캐어 제품 개발을 위 한 기능성 소재로 이용 가능성이 있을 것으로 보이며, 다른 천연 재료 추출물과 혼합 조성물 개발을 통한 시너지 효과 등 지속적인 연구 진행으로 더욱 효과적인 기능성 소재로 이용 될 수 있을 것으로 판단된다.
감사의 글
본 연구는 산업통상자원부와 한국산업기술진흥원의 경제협 력권사업 육성사업(과제번호: R0005473)의 지원에 의해 이루 어진 결과로 이에 감사드립니다.
References
- W. Cai, Y. Xu, J. Shao, S. Dai, Q. Liu, Z. Liu, W. Wu, Phenolic contents and antioxidant activities of different parts of Houttuynia cordata Thunb., J. Med. Plants Res, (2012), 6, p1035-1040.
- S.J. Cheon, M.J. Jang, W.A. Joe, B.Y. Kang, E.Y. Choi, J.S. Lee, Y.S. Jeong, Y.S. Kim, C.E. Lee, B.J. An, J.T. Lee, Antioxidant effects and application as natural ingredients of Sanghwang mushroom(Phellinus linteus)., Journal of Applied Oriental Medicine, (2006), 6, p1-6.
-
G.S. Choi, Hair characteristics and androgenetic alopecia in Koreans., J. Korean Med. Assoc, (2013), 56, p45-54.
[https://doi.org/10.5124/jkma.2013.56.1.45]
- J.H. Choi, M.S. Lee, H.J. Kim, J.I. Kwon, Y.K. Lee, Effects of black soybean and fermented black soybean extracts on proliferation of human follicle dermal papilla cells., Journal of the Korean Society of Food Science and Nutrition, (2017), 46, p671-680.
-
J.H. Choi, Y.H. Park, I.S. Lee, S.P. Lee, M.H. Yu, Antioxidant activity and inhibitory effect of Aster scaber Thunb. extract on adipocyte differentiation in 3T3-L1 cells., Korean J. Food Sci. Technol, (2013), 45, p356-363.
[https://doi.org/10.9721/kjfst.2013.45.3.356]
-
E. Festa, J. Fretz, R. Berry, B. Schmidt, M. Rodeheffer, M. Horowitz, V. Horsley, Adipocyte lineage cells contribute to the skin stem cell niche to drive hair cycling., Cell, (2011), 146, p761-771.
[https://doi.org/10.1016/j.cell.2011.07.019]
-
Y.M. Fonseca, C.D. Catini, F.T. Vicentini, A. Nomizo, R.F. Gerlach, M.J. Fonseca, Protective effect of Calendula officinalis extract against UVB-induced oxidative stress in skin: Evaluation of reduced glutathione levels and matrix metalloproteinase secretion., J. Ethnopharmacol, (2010), 127, p596-601.
[https://doi.org/10.1016/j.jep.2009.12.019]
-
L.M. Green, J.L. Reade, C.F. Ware, Rapid colorimetric assay for cell viability: Application to the quantitation of cytotoxic and Agrowth inhibitory lymphokines., J. Immunol. Methods, (1984), 70, p257-268.
[https://doi.org/10.1016/0022-1759(84)90190-x]
- J.H. Hong, H.A. Jung, An investigation on oriental cosmetics(herb based shampoo) for the treatment of alopecia., Journal of Daejeon Oriental Medicine, (2013), 22, p79-90.
- Y.H. Hong, S.H. Bae, H.J. Suh, Effect of herbal complex extract including Houttuynia cordata Thunb on hair growth promotion in C57B/6 mice., Korean Journal of Aesthetic and Cosmetology, (2015), 13, p321-329.
-
J.R. Hoult, M. Paya, Pharmacological and biochemical actions of simple coumarins: Natural products with therapeutic potential., Gen. Pharmacol, (1996), 27, p713-722.
[https://doi.org/10.1016/0306-3623(95)02112-4]
- J.Y. Jung, Y.H. Oh, S.H. Park, M.Y. Yoon, A.J. Pyo, S.J. Kim, Y.W. Yu, I.J. Jung, Antioxidative and Whitening Effects of Houttuynia cordata Extract on Lead Acetate of Hair Dye Component., Journal of Investigative Cosmetology, (2014), 10, p99-105.
- A. Jurinjak Tusek, M. Benkovic, A. Belscak Cvitanovic, D. Valinger, T. Jurina, J. Gajdos Kljusuric, Kinetics and thermodynamics of the solid-liquid extraction process of total polyphenols, antioxidants and extraction yield from Asteraceae plants., Ind. Crops Prod, (2016), 91, p205-214.
- C.S. Kim, S.H. Li, The effects of pini folium extract on collagen expression and synthesis in normal human dermal fibroblasts., Korean Journal of Aesthetics and Cosmetics Society, (2012), 10, p817-822.
- H.J. Kim, L. Kang, J.Y. Ahm, J.S. Han, S.U. Kim, K.W. Lee, M.H. Kim, The red-ginseng extract alters the cell cycle and viability in the human neuronal stem cells., J. Ginseng Res, (2004), 28, p39-44.
-
J.H. Kim, S.G. Park, W.K. Kim, S.U. Song, J.H. Sung, Functional regulation of adipose-derived stem cells by PDGFD., Stem Cells, (2015), 33, p542-556.
[https://doi.org/10.1002/stem.1865]
-
J.O. Kim, M.J. Jung, H.J. Choi, J.T. Lee, A.K. Lim, J.H. Hong, D.I. Kim, Antioxidative and biological activity of hot water and ethanol extracts from Phellinus linteus., Journal of the Korean Society of Food Science and Nutrition, (2008), 37, p684-690.
[https://doi.org/10.3746/jkfn.2008.37.6.684]
- M.L. Kim, A study on comparison of characteristics of fermentability and fermented broth for Houttuynia cordata Thunb extracts., Korean Journal of Food Preservation, (2009), 16, p122-127.
- S.T. Lee, Y.H. Lee, Y.J. Choi, G.M. Shon, H.J. Lee, J.S. Heo, Comparison of quercetin and souble tannin in Houttuynia cordata Thunb. according to growth stages and plant parts., Hanguk Yakyong Changmul Hakhoe Chi, (2002), 10, p12-16.
- H.M. Lu, Y.Z. Liang, P. Qian, Profile-effect on quality control of Houttuynia cordata injection., Yao Xue Xue Bao, (2005), 40, p1147-1150.
- A.K. Mishra, A. Mishra, P. Chattopadhyay, Calendula officinalis: An important herb with valuable therapeutic dimensions., J. Glob. Pharma Technol, (2010), 2, p14-23.
- D.C. Moon, K.H. Hwang, K.Y. Choi, D.C. Choi, C.S. Kim, J.G. Kim, Y.M. Lee, O.P. Zee, Some peroxysterols and ceramides from ?ophellinus ribis ??, a Korean wild mushroom., Analytical Science and Technology, (1995), 8, p901-906.
- T.H. Oh, E.Y. Lee, W.S. Lee, Effects of substance P on the expression of various factors to control hair growth in human hair follicle culture., Korean J. Dermatol, (2004), 42, p1543-1551.
-
J.J. Park, D.H. Park, W.Y. Lee, Quality change of sliced ginseng depending on different drying methods., Korean Journal of Food Preservation, (2017), 24, p361-366.
[https://doi.org/10.11002/kjfp.2017.24.3.361]
- W.S. Park, D.S. Sung, D.K. Kim, W.H. Cho, H.K. Lee, C.H. Lee, S.K. Park, Y.C. Sim, The effect of hair essence (HHRHG0202-80) containing five herbal extracts on hair growth and the prevention of alopecia in vitro and vivo., Journal of Korean Oriental Medicine, (2004), 25, p152-160.
-
M.S. Shon, R.H. Kim, J.H. Song, O.J. Kwon, A.R. Lee, H.O. Kim, S.S. Roh, G.N. Kim, Potential of fisetin as a nutricosmetics material through evaluating anti-oxidant and antiadipogenic activities., Asian Journal of Beauty and Cosmetology, (2016), 14, p6-17.
[https://doi.org/10.20402/ajbc.2016.0003]
-
T. Soma, Y. Tsuji, T. Hibino, Involvement of transforming growth factor-I 2 in catagen induction during the human hair cycle., J. Invest. Dermatol, (2002), 118, p993-997.
[https://doi.org/10.1046/j.1523-1747.2002.01746.x]
-
H. Teng, W.Y. Lee, Optimization of microwave-assisted extraction of polyphenols from mulberry fruits(Morus alba L.) using response surface methodology., Journal of the Korean Society for Applied Biological Chemistry, (2013), 56, p317-324.
[https://doi.org/10.1007/s13765-012-3262-3]
- H. Wendt, A. Hillmer, K. Reimers, J.W. Kuhbier, F. Schafer-Nolte, C. Allmeling, C. Kasper, P.M. Vogt, Artificial skinculturing of different skin cell lines for generating an artificial skin substitute on cross-weaved spider silk fibres., PLoS One, (2011), 6, pe21833, http://journals.plos.org/plosone/article?id=10.1371/journal.pone.0021833.