
유산균 발효 배초향 추출물의 항산화 활성과 주름개선 효능
© The Korean Society of Medicinal Crop Science All rights reserved
This is an Open-Access article distributed under the terms of the Creative Commons Attribution Non-Commercial License ( http://creativecommons.org/licenses/by-nc/3.0 ) which permits unrestricted non-commercial use, distribution, and reproduction in any medium, provided the original work is properly cited.
Abstract
This study was to investigate anti-skin wrinkle effect of Agastache rugosa Kentz extracts by extraction processes. In the comparison of the effect of the solvent extraction, the extracts by 70% ethanol (EE) showed better biological activities that those by hot water. Therefore, further fermented Agastache rugosa was applied to 70% ethanol extraction process (FEE). FEE showed higher DPPH scavenging activity of 62.98% than EE’s 62.71% at 1.0 mg/mℓ, but there was no significant. Elastase inhibition was measured 23.0% from FEE at 1.0 mg/mℓ. Cytotoxicity showed the highest 16.26% from FEE, this value is safe in the cell experiment. Collagen production showed 113.1 ng/mℓ from FEE, on the other hand EE was measured 77.4 ng/mℓ in adding 1.0 mg/mℓ. MMP-1 production was observed 1398 pg/mℓ from FEE and EE was measured 1632 pg/mℓ. These results were found the highest antioxidant and anti-wrinkle effect. As a result, it was also confirmed that anti-skin wrinkle activities of the Agastache rugosa Kentz extract was correlated with anti-oxidant activities.
Keywords:
Anti-Skin Wrinkle Effect, Antioxidant, Agastache rugosa Kuntz, Collagen, Lactic Acid, MMP-1서 언
배초향은 꿀풀과에 속하는 작물로 동북아시아 및 우리나라 의 경우 전국에서 잘 자라나 특히 남부지방에서 많이 재배되 고 있다 (Lee and Hwang, 2000; Kim et al., 1999). 곽향 이라고도 불리어지는 배초향은 식용이나 향신료로 사용되기도 하지만 배초향의 지상부는 복통, 설사, 구토 및 위장질환 등에 탁월한 효과가 있으며 또한 콜레라, 해열, 항균작용 (Lee et al., 2002; Kim et al., 2013)에 대한 약재로 쓰이기도 한다 (Kim et al., 2001). 배초향은 주로 monoterpene, sesquiterpene 및 diterpene, triterpene, flavonoid가 함유 되어있다고 보고 되 었으며, 그 중 flavonoid에는 주성분으로 acacetin, tilianin, agastachin, agastachoside, isoagastachoside 등을 함유하고 있 다 (Itokawa et al., 1981; Zou and Cong, 1991). 또한 항산 화 효과에 대하여 많은 연구가 되어 (Cho et al., 2011; Jhee and Yang, 1996), 본 연구진은 배초향의 항산화 효과에 착안 하여 항노화에 관련 된 주름개선에 대한 배초향의 효능을 확 인하였다. 활성산소는 피부 탄력을 유지해 주는 collagen의 생 성을 저해 할 뿐만 아니라 (Jang et al., 2013), collagen을 분해하는 MMP-1 (Matrix metalloproteinase-1)의 생성을 도모 하여 피부의 노화를 촉진시킨다 (Park et al., 2010).
따라서 본 연구는 배초향의 항산화 효능을 확인한 후 주름 개선 활성평가를 실시 하였으며, 배초향의 추출을 기존의 단 일 추출방법이 아닌 복합 추출 공정으로 발효 전처리 공정법 을 실시하여 수율 및 활성증진을 높이고자 하였다 (Park et al., 2004).
발효를 통한 추출 방법은 인체에 유익한 유산균의 대사작용 으로 인하여 천연물과 미생물 상호작용에 의해 생리활성에 영 향을 미치는 것으로 연구 된 바 있다 (Kong et al., 2008). 또한, 유산균은 항산화, 미백 및 면역 등 다양한 생리활성이 보고 되어 (Choi et al., 2013; Kim and Ham, 2003), 배초 향의 발효를 통한 복합 추출방법은 각 종 생리활성의 증진을 기대할 수 있다. 또한 발효 공정은 여타 공정방법들에 비하여 scale-up이 용이하고 공정에 소비되는 비용이 적게 들어가는 것에 반해 효율이 우수하여 현재 각광받고 있는 공정방법이다 (Ryu and Kwon, 2012; Choi et al., 2014).
본 연구진은 종래 천연물의 추출 공정법인 70% 에탄올 추 출을 실시하되, 그에 앞서 상기의 발효 추출 방법의 장점을 활용하고자 유산균을 통한 배초향의 발효 전처리를 실시하였 으며, 발효 하지 않은 시료와 발효 한 시료를 사용하여 항 주 름활성실험을 실시하여 발효 전 후의 샘플의 주름개선효과에 대한 활성을 비교 분석하여 배초향의 향장 효과에 대해 확인 하고 발효 공정을 통하여 주름개선 효과에 대한 증진을 확인 하였다.
재료 및 방법
1. 시료 제조
추출에 쓰인 배초향은 2012년도 10월 경 수확 된 인도네시 아 원산지로 음건 된 줄기와 잎을 1 ~ 3cm정도 잘게 분쇄 후 추출에 사용하였다. 배초향 시료의 추출은 1 ~ 3cm로 잘게 잘 라진 건조 된 잎과 줄기 부분을 분쇄기를 사용하여 10분간 1300 mesh로 분쇄하였다. 분쇄한 샘플을 에탄올 및 발효 후 에탄올 추출 2가지 추출방법으로 각각 수직 환류냉각기가 설 치되어있는 둥근바닥 플라스크를 사용하여 실험을 진행하 였다. 에탄올 추출물은 건조 된 배초향 100 g을 사용하여 80°C 의 조건에서 70% 에탄올을 용매로 하여 24시간 추출하였 고, 발효 추출물의 경우 건조 된 배초향 100 g을 유산균 Lactobacillus rhamnosus와 Lactobacillus paracasei의 복합균 에 MRS broth 배지 (DifcoTM Lactobacilli MRS broth, BD, Franklin Lakes, NJ, USA)를 이용하여 7일 동안 37°C, 120 rpm에서 배양하였다. 배양 후 에탄올 추출물과 동일하게 70% 에탄올 추출 후 아로니아 추출액을 감압여과기를 사용하여 여과하였다. 여과 후에 회전식 감압농축기 (EYELA N-1000, Tokyo Rikakikai Co., Tokyo, Japan)로 농축한 후, 동결건조기 (PVTFA 10AT, ILSHINBioBase, Dongducheon, Korea)에 72시간 동안 동결건조하여 분말로 만들어 실험에 사용하였다.
2. 세포 및 시약
HDF (Human dermal fibroblasts)는 CCD-986sk으로 한국 세포주은행 (KCLB, Seoul, Korea)에서 동결 된 것으로 구입하 였다. 구입한 CCD-986sk은 DMEM 배지에 10% fetal bovine serum (Gibco, Carlsbad, CA, USA)을 첨가하여 37°C, 5% CO2 조건하에서 배양하였다. 그 외 사용된 모든 시약들은 Sigma-Aldrich (St. Louis, MO, USA)을 통하여 구입, 사용하 였다.
3. DPPH free radical scavenging activity
DPPH (α,α-diphenyl-β-picrylhydrazyl) free radical scavenging activity 실험은 Dietz (Dietz et al., 2005)의 방법을 변형하여 실험을 진행하였다. 각 공정 별 농도별로 시료 150μl을 첨가 후 methanol로 제조한 0.1 mM DPPH용액 150μl을 혼합하 여 상온에서 30분 간 암실에 방치 한 뒤 517nm의 파장에서 흡광도 측정하였다. 측정한 값은 아래의 식으로 구하여 DPPH radical scavenging activity (%)로 나타내었다.
EQ
4. Elastase 저해율 측정
Elastase 저해율 측정은 Kim 등의 방법을 참고하여 실험을 진행하였다 (Kim et al., 2011). 0.1 M 농도의 Tris-Cl buffer에 1.0 mM의 N-succunyl-Ala-Ala-Ala-p-nitroanilide을 용해시킨 용액 950μl에 배초향 추출물 50μl를 농도별로 첨 가하여 10분 간 상온에 방치하였다. 10분 뒤 마찬가지로 Tris- Cl buffer에 용해시킨 10μg/ml의 elastase를 50μl만큼 첨가 하여 20분 간 상온에서 배양한 후 410nm의 파장에서 흡광도 를 측정하여 저해율을 확인하였다.
5. MTT용액을 이용한 세포 독성평가
배초향 추출물의 세포 독성 평가에는 MTT 용액을 3-(4,5- dimethythiazol-2-yl)-2,5-diphenyl-tetrazolium bromide (MTT, Sigma-Aldrich, St. Louis, MO, USA) 사용하였다. 세포 독성 평가에 피부섬유아세포 CCD-986sk를 사용하였고, 해당 세포 를 1.3 × 105 cells/ml 농도로 96-well plate에 주입한 뒤 24시 간 동안 incubator에서 배양하였다. 그 후 배지를 제거하고 실 험하고자 하는 배초향 추출물을 각 농도별로 200μl씩 주입 하여, 다시 24시간 동안 배양하였다. 24시간 뒤 처리했던 상 등액을 제거하고, 200μg/ml 농도로 제조한 MTT 용액을 첨가 하고 37°C에서 빛을 차단한 채 다시 3시간 동안 배양한다. 그 후 MTT 용액을 제거하고, PBS로 2회 세척해준다. 세척 후 DMSO를 200μl 만큼 주입한 뒤 30분 동안의 반응을 시키고 microplate reader (Thermo Fisher Scientific, Waltham, MA, USA)로 570nm의 파장에서 흡광도를 확인하여 세포 독성을 평가하였다.
6. Human dermal fibroblast (HDF)를 이용한 collagen 생성 실험
CCD-986sk 세포를 이용하여 실험을 진행하였으며, collagen 생성 측정은 Procollagen Type I C-peptide (PIP) EIA Kit (Takara, Otsu, Japan)제품을 사용하였다. Kit에 준비 된 plate 에 Antibody-POD Conjugate Solution을 100μl 넣고, 미리 세포에 처리하여 24시간 동안 배양한 배초향 추출물을 농도별 로 20μl를 첨가한다. 첨가 후 빛을 차단하고 37°C에서 3시 간 동안 배양한다. 3시간 후 배양액을 제거한 뒤, 각 well에 400μl의 washing buffer를 주입하여 4회 세척한다. 세척을 다 한 후 substrate solution을 각 well에 넣고 실온에서 15분 간 다시 방치한다. 배양이 끝나면 stop solution으로 사용 된 1 N H2SO4을 100μl을 넣고, plate를 약 1분 간 흔들어 준다. microplate reader로 450nm에서 흡광도를 측정하였으며, kit의 standard를 사용한 standard curve를 이용하여 정량하였다.
7. MMP-1 (Matrix metalloproteinase-1) 생성 실험
MMP-1 생성 실험은 Human MMP-1 ELISA Kit (Ray Biotech, Norcross, GA, USA)를 사용하여 실험을 진행하였다. 실험 전 CCD-986sk 세포에 배초향 추출물을 2일 간 배양시 킨 후 배양한 상등액 샘플을 실험에 사용하였다. 키트에 준비 된 plate에 샘플과 standard를 100μl을 주입 한 뒤 상온에 서 2시간 30분 동안 배양한다. 그 뒤 배양액을 제거하고 wash buffer로 4회 반복하여 세척한 후 100μl의 detection Antibody MMP-1을 각 well에 주입하고 다시 1시간 동안 상 온에 방치한다. 1시간 후 다시 배양액을 버리고 4회 세척한 뒤 streptavidin solution을 넣고 45분 동안 상온에서 shaking 해준다. 그 뒤에 배양액을 제거하고 wash buffer로 세척하고 substrate reagent를 주입한 후 30분 동안 빛을 차단한 채 실 온에서 방치하였다. 배양이 끝나면 stop solution을 50μl 넣어 반응을 종결시키고 즉시 450nm 파장에서 흡광도를 측정하였다.
8. 통계처리
모든 실험의 데이터 통계처리는 3회 반복하였으며, 실험값 의 통계는 SAS (Statistical Analysis System 9.1, SAS Institute Inc., Cary, NC, USA) 프로그램을 통하여 two-way ANOVA 방법으로 처리하였다. 처리구간의 최소 유의 수준의 차는 p < 0.05로 처리 하였다.
결과 및 고찰
1. DPPH free radical scavenging activity
배초향 추출물의 항산화를 평가하고자 DPPH free radical scavenging activity을 확인하였으며, Fig. 1에 측정 된 결과를 표시하였다. DPPH는 파장 517nm에서 최대 흡광도를 나타내 고, 환원 시에 517nm에서 흡광도가 감소한다.
DPPH Free radical scavenging activity of the Agastache rugosa extracts by different extraction process.Mean values ± SD from triplicate separated experiments are shown. Mean with difference letter (A-C) within same sample are significantly different at p < 0.05 and mean with difference letter (a-b) within same concentration are significantly different at p < 0.05. 1)EE: 70% Ethanol Extract. 2)FEE: 70% Ethanol Extract by fermentation process.
양성대조군인 Ascorbic acid는 0.2mg/ml의 농도에서 82.22%의 DPPH 자유라디칼 소거능을 보였다. 이와 비교하여 배초향 추출물은 0.03mg/ml의 낮은 농도에서 70% 에탄올 추 출물 (EE)은 28.45%, 발효 에탄올 추출물 (FEE)은 34.81%로 유의적인 차이를 보였으나, 가장 높은 농도인 0.1mg/ml에서 EE는 62.71%의 소거능을, FEE의 경우에는 62.98%로 유의적 인 차이를 보이지 않았다. 모든 시료는 농도가 증가함에 따라 DPPH 소거활성이 증가하는 것을 확인하였다. 일반 에탄올 추 출물에 비해 발효 공정을 거친 에탄올 추출물의 소거활성이 더 높긴 하나 그 차이는 크지 않았다. 이를 바탕으로 항산화 효능과 연관지어 항 주름의 효능을 측정 한 연구를 참고하여 (Jang et al., 2013), 배초향 시료를 통한 주름개선효능에 대한 평가를 진행하였다.
2. Elastase 저해율 측정
피부조직에 탄력을 유지해주는 elastin을 저해하여 피부 주 름생성에 원인이 되는 elastase 저해율을 측정하여 그 결과를 Fig. 2에 확인하였다. 가장 높은 농도인 0.3mg/ml에서 70% 에탄올 추출물의 경우 20.3%의 저해율을 보였다. 농도가 증가 함에 따라 유의적인 차이를 보이며 저해율이 증가하였으며, 발 효 공정을 통한 70% 에탄올 추출물은 23.0%로 확인되었다. 발효 전 보다 발효 후에 elastase 저해율이 소량 증가하였으며, 상기와 같은 배초향 추출물의 저해율은 주름개선효과에 대하 여 연구 보고 된 도화 에탄올 추출물과 비교시, 도화 에탄올 추출물의 경우 0.5mg/ml의 농도에서 약 13%에 달하는 저해 율이 확인되었다 (Lee and An, 2010). 보다 낮은 농도에서 23.0%로 확인 된 배초향 추출물의 저해율을 보아 주름개선에 대한 효능을 확인하였다.
Elastase inhibition of the Agastache rugosa extracts by different extraction process.Mean values ± SD from triplicate separated experiments are shown. Mean with difference letter (A-C) within same sample are significantly different at p < 0.05 and mean with difference letter (a-b) within same concentration are significantly different at p < 0.05. 1)EE: 70% Ethanol Extract. 2)FEE: 70% Ethanol Extract by fermentation process.
3. MTT용액을 이용한 세포 독성평가
세포 실험을 실시하기 전 정상세포에 대한 배초향 추출물의 세포독성을 측정하기 위해 섬유아세포인 CCD-986sk 세포를 사용하여 독성평가를 실시하였다. 해당결과는 Fig. 3에 표시하 였다. 70% 에탄올 배초향 추출물은 1.0mg/ml의 농도에서 15.68%의 독성을 보였으며, 발효 공정을 거친 70% 에탄올 추 출물은 16.26%의 세포독성으로 유의적인 차이는 없었다. 각 추출물은 농도별 대부분 유의적인 차이를 보이며 독성이 증가 하였으나, 이와 같은 독성은 다른 세포독성을 실시한 연구와 비교하면 주름개선효능에 관한 같은 세포로 실시한 청미래덩 굴에 대한 연구를 확인하였을 때 (Lee and Lee, 2013), 실험 에 쓰인 가장 높은 농도에서 생존률이 약 83%에 달하였다. 이를 참고로 하였을 때, 배초향 추출물의 16.26%의 독성은 주 름개선 효능을 확인하는 세포실험에 있어 독성이 높지 않은 것으로 판단되어 세포 실험을 진행하였다.
Cell cytotoxicity of the Agastache rugosa extracts by different extraction process.Mean values ± SD from triplicate separated experiments are shown. Mean with difference letter (A-C) within same sample are significantly different at p < 0.05 and mean with difference letter (a-b) within same concentration are significantly different at p < 0.05. 1)EE: 70% Ethanol Extract. 2)FEE: 70% Ethanol Extract by fermentation process.
4. Human dermal fibroblast (HDF)를 이용한 collagen 생성 실험
배초향 추출물의 주름개선에 대한 효능을 확인하기 위하여, 피부의 탄력을 유지해주는 단백질인 collagen 생성 정도를 확 인하였다. Fig. 4을 보면, EE의 경우 농도에 따른 상승폭이 미미하였으며, FEE는 0.3mg/ml의 농도에서 EE와 생성량이 비슷하였으나 농도가 상승함에 따라 유의적인 차이를 보이 며 증가하였다. 1.0mg/ml의 농도에서 EE는 77.4 ng/ml의 collagen이 생성되었으며, FEE는 113.1 ng/ml의 생성량으로 EE에 비해 증가하였다. 이와 같은 결과는 발효공정이 collagen 생성량 증가에 도움이 되었다고 볼 수 있으며, 앞서 DPPH의 결과에 대한 항산화 활성 증가에 비해 collagen 생성량의 증 가가 더욱 뚜렷하게 확인 되었다. 추가적으로 주름생성의 또 다른 원인인 collagen 생성을 저해하는 효소 MMP-1 (Matrix metalloproteinase-1)의 생성량을 측정하여 배초향 추출물의 항 주름 효능을 확인하였다.
Collagen production of the Agastache rugosa extracts by different extraction process.Mean values ± SD from triplicate separated experiments are shown. Mean with difference letter (A-C) within same sample are significantly different at p < 0.05 and mean with difference letter (a-b) within same concentration are significantly different at p < 0.05. 1)EE: 70% Ethanol Extract. 2)FEE: 70% Ethanol Extract by fermentation process.
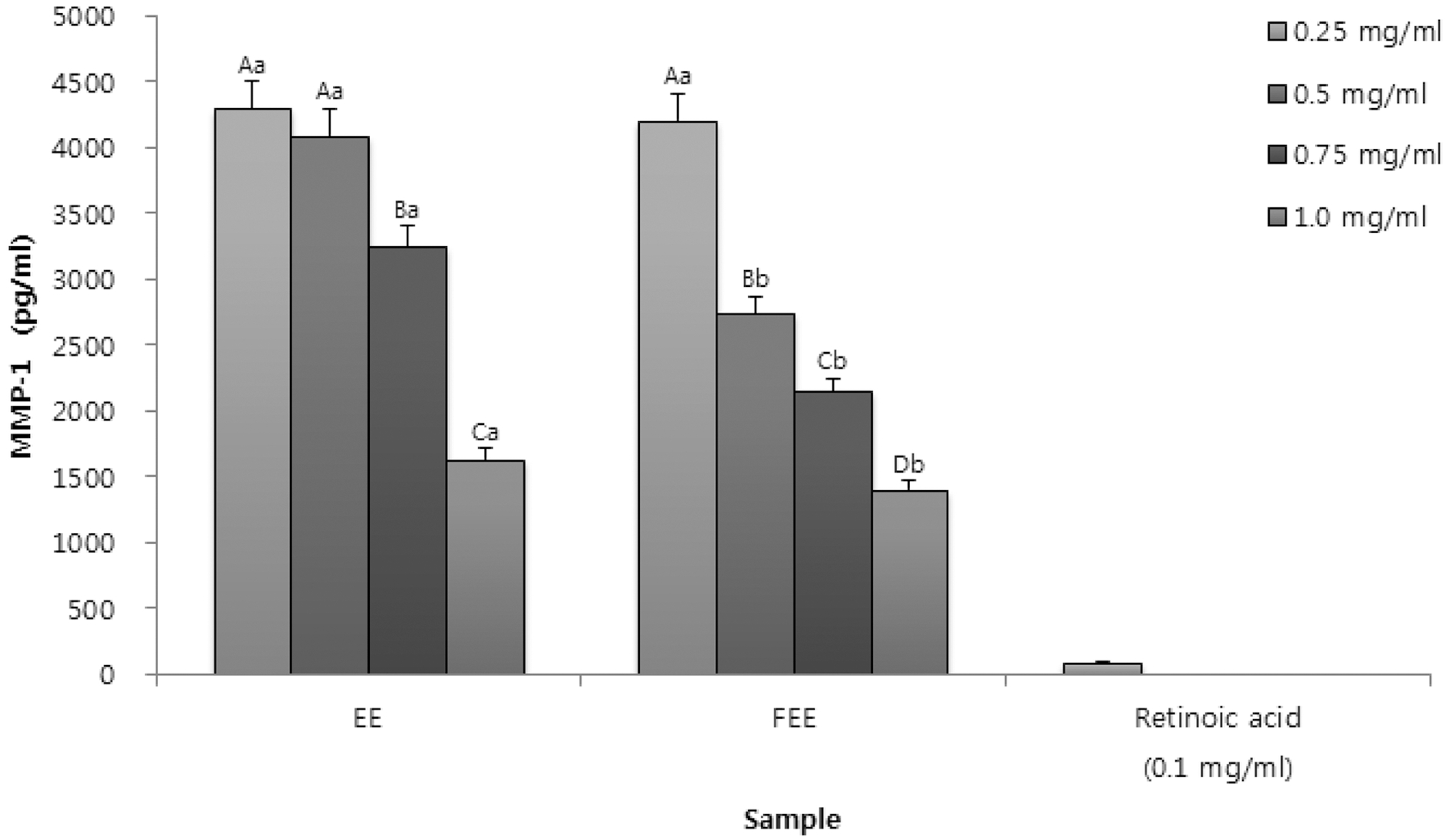
5. MMP-1 (Matrix metalloproteinase-1) 생성 실험
MMP-1은 피부탄력을 유지시켜주는 collagen을 분해하는 collagenase의 하나로 MMP-1의 생성량이 적을수록 주름개선 에 대한 효능은 높은 것으로 확인할 수 있다. MMP-1의 생성 량은 Fig. 5에 나타내었다. 모든 샘플이 농도가 증가함에 따라 MMP-1의 생성량이 감소하였다. 가장 높은 농도 1.0mg/ml에 서 EE는 1632 pg/ml의 생성량이 확인되었고, FEE는 1398 pg/ml로 EE에 비해 유의적인 차이를 보이며 감소한 것을 확 인할 수 있었다. 주름개선효능에 대하여 연구 된 바 있는 황 철나무등의 연구를 보면 (Shin et al., 2013), 황철나무 추출물 은 농도가 10배 낮은 0.1mg/ml에서 2030 ng/ml의 MMP-1의 생성량이 측정되었다. 배초향 추출물의 농도가 10배 높으나, 그 생성량의 차이가 20 ~ 30배 이상 낮은 것으로 보아 배초향 추출물에 대한 MMP-1의 생성량 저해 활성을 확인하였고, 항 주름 활성에 효능이 있음을 확인하였다. 발효 공정을 실시하 였을 때 MMP-1의 생성량이 저해 되어 발효가 주름개선에 도 움이 되었다 판단할 수 있다.
MMP-1 production (pg/ml) of the Agastache rugosa extracts by different extraction process. Mean values ± SD from triplicate separated experiments are shown. Mean with difference letter (A-D) within same sample are significantly different at p < 0.05 and mean with difference letter (a-b) within same concentration are significantly different at p < 0.05. 1)EE: 70% Ethanol Extract. 2)FEE: 70% Ethanol Extract by fermentation process.
본 연구는 배초향의 항산화 효능을 본 후 항노화에 대한 효 과를 확인하기 위하여, 피부의 탄력 유지 단백질인 collagen 생성과 collagen의 생성을 저해하는 효소 MMP-1의 생성량을 측정하여 배초향 추출물의 주름개선에 대한 효과를 확인하였 다. 배초향에 발효공정을 도입함으로서 일반 종래 추출법에 비 하여 항주름에 대한 효능 증진을 확인하였다. 본 연구와 유사 한 유산균으로 발효한 도꼬마리 추출물과 톳 추출물 등의 경 우도 발효 후 추출물들의 항산화 활성이 증가된 것으로 나타 났으며, 이의 주된 원인은 발효에 의한 천연물 내 유용성분의 함량이 증가한 것으로 확인되었다 (Kang and Kim, 2010; Song et al., 2011). 본 실험 결과도 유사한 경향을 보여 배초 향의 경우도 항산화능의 증가가 동종의 균의 발효에 의한 배 초향 내 acacetin, agastachin 등의 유용성분 함량 증가에 의 한 것으로 예상되었으나 유산균 발효에 의한 배초향의 구체적 인 유효성분 변화에 대해서 향후 심도 있는 별도의 연구가 필 요할 것으로 판단되었다. 이와 같은 배초향의 항주름에 대한 결과로 향장소재로서 배초향의 새로운 가능성을 확인하였다.
감사의 글
본 연구는 보건복지부 보건의료연구개발사업(과제번호: HN12C0060) 연구비 지원으로 수행된 결과로 이에 깊은 감사 드립니다.
REFERENCES
- Cho, JY, Kim, YS, Park, YJ, Bae, JH, Oh, DM, Park, SM, Heo, BG, Physiological activity ofAgastache rugosaextract, Journal of Life Science and Natural Resources Research, (2011), 33, p1-8.
- Choi, WS, Kwon, HS, Lim, HW, No, RH, Lee, HY, Whitening effect ofLactobacillus rhamnosusassociated with its antioxidative activities, Korean Journal of Microbiology and Biotechnology, (2013), 41, p183-189.
-
Choi, WY, Lim, HW, Choi, GP, Lee, HY, Enhancement of ginsenosides conversion yield by steaming and fermentation process in low quality fresh ginseng, Korean Journal of Medicinal Crop Science, (2014), 22, p223-230.
[https://doi.org/10.7783/kjmcs.2014.22.3.223]
-
Dietz, BM, Kang, YH, Liu, G, Eggler, AL, Yao, P, Chadwick, LR, Pauli, GF, Farnsworth, NR, Mesecar, AD, van Breemen, RB, Xanthohumol isolated from humulus lupulus inhibits menadione-induced DNA damage through induction of quinone reductase, Chemical Research in Toxicology, (2005), 18, p1296-1305.
[https://doi.org/10.1021/tx050058x]
-
Itokawa, H, Suto, K, Takeya, K, Structure of isoagastachoside and agastachin, new glucosylflavones isolated fromAgastache rugosa, Chemical and Pharmaceutical Bulletin, (1981), 29, p1777-1779.
[https://doi.org/10.1248/cpb.29.1777]
-
Jang, MJ, Jun, DH, Kim, SH, Han, SI, Lee, JT, Antiwrinkle effect of chestnut leaf, Journal of Life Science, (2013), 23, p751-756.
[https://doi.org/10.5352/jls.2013.23.6.751]
- Jhee, OH, Yang, CB, Antioxidative activity of extract from Bangah herb, Korean Journal of Food Science and Technology, (1996), 28, p1157-1163.
- Kang, DH, Kim, HS, Characterization and anti-Helicobactor pyloriactivity ofXanthium strumariumL. extract on lactic acid fermentation, Korean Society for Biotechnology and Bioengineering Journal, (2010), 25, p244-250.
- Kim, HS, Ham, JS, Antioxidative ability of lactic acid bacteria, Korean Journal for Food Science of Animal Resources, (2003), 23, p186-192.
- Kim, KS, Kim, SK, Kim, YH, Kim, YH, LEE, JC, Comparison of essential oil composition extracted fromAgastache rugosaby steam distillation and supercritical fluid extraction, Journal of the Korean Society of Tobacco Science, (2001), 23, p65-70.
- Kim, JB, Kim, JB, Cho, KJ, Hwang, YS, Park, RD, Isolation, identification, and activity of rosmarinic acid, a potent antioxidant extracted from koreanAgastache rugosa, Journal of the Korean Society for Applied Biological Chemistry, (1999), 42, p262-266.
- Kim, JE, Kim, AR, Kim, MJ, Park, SN, Antibacterial, antioxidative and antiaging effects ofAllium cepapeel extracts, Applied Chemistry for Engineering, (2011), 22, p178-184.
-
Kim, YB, Kim, JK, Uddin, MR, Xu, H, Park, WT, Tuan, PA, Li, X, Chung, ES, Lee, JH, Park, SU, Metabolomics analysis and biosynthesis of rosmarinic acid inAgastache rugosaKuntze treated with methyl jasmonate, PLOS ONE, (2013), 8, p1-8.
[https://doi.org/10.1371/journal.pone.0064199]
-
Lee, JY, An, BJ, Whitening and anti-wrinkle effects of Prunus persica Flos, Journal of Applied Biological Chemistry, (2010), 53, p154-161.
[https://doi.org/10.3839/jabc.2010.028]
- Lee, SE, Park, CG, Cha, MS, Kim, JK, Seong, NS, Bang, KH, Bang, JK, Antimicrobial activity of essential oils Mentha arvensis L. var.piperascensMalivaud andAgastache rugosaO. Kuntze onEscherichia coliandSalmonella typhimrium, Korean Journal of Medicinal Crop Science, (2002), 10, p206-211.
- Lee, SY, Lee, JY, Inhibitory efficacy ofSmilax chinaL. on pro-collagen type-1 activity and MMP-1 gene expression in fibroblasts(CCD-986sk), Journal of Life Science, (2013), 23, p1239-1245.
- Park, JH, Lee, HS, Mun, HC, Kim, DH, Seong, NS, Jung, HG, Bang, JK, Lee, HY, Improvement of anticancer activation of ultrasonificated extracts fromAcanthopanax senticosusHarms,Ephedra sinicaStapf,Rubus coreanusMiq. andArtemisia capillarisThunb, Korean Journal of Medicinal Crop Science, (2004), 12, p273-278.
- Park, SH, Lee, KH, Han, CS, Kim, KH, Kim, YH, Inhibitory effects ofCarex humilisextract on elastase activity and matrix metalloproteinase-1 expression, Journal of the Society of Cosmetic Scientists of Korea, (2010), 36, p129-136.
-
Ryu, IH, Kwon, TO, Enhancement of piperidine alkaloid contents by lactic acid fermentation of Mulberry leaves (Morus alba L.), Korean Journal of Medicinal Crop Science, (2012), 20, p472-478.
[https://doi.org/10.7783/kjmcs.2012.20.6.472]
-
Shin, DC, Kim, GC, Song, SY, Kim, HJ, Yang, JC, Kim, BA, Antioxidant and antiaging activities of complex supercritical fluid extracts from Dendropanax morbifera, Corni fructus and Lycii fructus, The Korea Journal of Herbology, (2013), 28, p95-100.
[https://doi.org/10.6116/kjh.2013.28.6.95]
-
Song, HS, Kim, HK, Min, HO, Choi, JD, Kim, YM, Changes in physicochemical and sensory properties ofHizikia fusiformewater extract by fermentation of lactic acid bacteria, Korean Journal of Fisheries and Aquatic Sciences, (2011), 44, p104-110.
[https://doi.org/10.5657/kfas.2011.44.2.104]
- Zou, ZM, Cong, PZ, Studies on the chemical constituents from roots ofAgastache rugosa, Acta Pharmaceutica Sinica, (1991), 26, p906-210.