
생열귀나무 잎 추출물과 분획물의 항산화 및 NO생성 억제 활성
© The Korean Society of Medicinal Crop Science All rights reserved
This is an Open-Access article distributed under the terms of the Creative Commons Attribution Non-Commercial License ( http://creativecommons.org/licenses/by-nc/3.0 ) which permits unrestricted non-commercial use, distribution, and reproduction in any medium, provided the original work is properly cited.
Abstract
In the present study, we investigated biological activities of Rosa davurica Pall. leaves in order to evaluate the possibility as a natural biomaterial. The 80% ethanol extract and its subsequent fractions of Rosa davurica Pall. leaves were prepared using several solvents with different polarities. The extraction yield was 33.4, 36.6, 25.2, 18.7, 5.8 and 5.8% in ethanol extract, aqueous, butanol, ethyl acetate, n-hexane, chloroform fractions, respectively. The ethyl acetate fraction (661.38 mg/g), butanol fraction (396.68 mg/g) and 80% ethanolic extract (239.54 mg/g) has higher total polyphenol contents than other fractions. The antioxidant activity was detected in ethanolic extract, ethyl acetate and butanol fractions. The ethyl acetate fraction showed the highest levels of DPPH radical scavenging activity (IC50, 4.77 μg/ml). Moreover, the ethyl acetate fraction significantly inhibited production of NO in LPS-stimulated macrophage RAW 264.7 cells without cytotoxicity. These results indicate that 80% ethanol extract and its fractions of Rosa davurica Pall. leaf, especially ethyl acetate fraction, have the properties of anti-oxidant and anti-inflammation, suggesting leaf of Rosa davurica Pall. may be a candidate for natural and functional materials.
Keywords:
Rosa davurica, Antioxidant, Anti-Inflammation, Nitric Oxide서 언
최근 생활수준의 향상과 더불어 건강한 삶을 중시하면서 자 연친화적인 식재료와 천연물에 대한 관심이 높아지게 되면서 다양한 천연물이 식품, 화장품, 의약품 소재로 활용되고 있다. 기존 사용하던 인공합성 소재의 인체 유해성이 제기됨에 따라 안전성과 생리적 기능성을 가진 식물 유래의 천연물 소재에 대한 관심은 더욱 증대되고 있다 (Yoo et al., 2005; Lee, 2007).
활성산소종 (Reactive Oxygen Species)은 정상적인 대사과 정 중 생성되는 산소의 대사산물로서 과산화수소 (H2O2), superoxide anion, hydroxyl radical과 같은 free radical들이다. 이들은 산화적 스트레스로 작용하여 체내의 지질, 단백질, DNA 및 효소 등을 파괴하여 세포조직의 심각한 손상을 야 기함으로써 염증이나 피부 노화를 유발할 뿐 만 아니라 암 이나 노화에 관련된 각종 질환에 밀접한 관련이 있는 것으 로 알려져 있다 (Donnelly et al., 1989; Feskanich et al., 2000; Khansari et al., 2009; Chawla et al., 2011; Cencioni et al., 2013). 케라틴 세포나 멜라닌 세포에서의 활 성산소의 증가는 MMP의 발현 증가를 유도하여 콜라겐, 엘라 스틴 등의 세포기질단백질을 분해함으로써 대사 작용을 저하 하여 피부 노화를 야기한다 (Fisher et al., 2002; Bickers and Athar, 2006). 또한, 활성산소의 과도한 생성 및 그로 인 한 NO의 축적은 대식세포의 지나친 활성을 유도하여 생체내 필수 방어 기전인 염증의 과활성화를 일으켜 염증 관련 질환 을 유발하기도 한다 (Omata et al., 2001; Chawla et al., 2011; Sivaranjani et al., 2013). 이러한 관점에서 볼 때 활성 산소종을 제거하는 항산화의 기능은 강조되고 있으며 산화적 스트레스와 염증에 의한 질환에 대응하기 위한 강력한 항산화 능 및 항염 활성을 가진 기능성 소재를 개발하기 위한 연구 는 활발히 이루어지고 있다. 현재 활성산소 제거를 위해 사 용되고 있는 항산화제는 BHT (butylated hydroxyl-toluene), BHA (butylated hydroxyl anisole), TBHQ (2-tert-butyl hydroxyquinone) 등이 있다. 그러나 이러한 합성 항산화제는 뛰어난 항산화 효과는 가지고 있으나 고용량으로 장기간 사용 할 경우 지질대사의 불균형과 암을 유발할 수 있는 것으로 보 고되어 있어 각종 식물이나 해조류 등의 천연자원에서 보다 안전하고 효과가 뛰어난 천연 항산화제를 찾기 위한 연구에 많은 관심이 집중되고 있다 (Lee et al., 1994, 2005; Kim et al., 2010, 2014; Choi et al., 2013; Im and Lee, 2013;).
강원도에서 자생하는 생열귀나무 (Rosa davurica Pall.)는 장미과에 속하는 낙엽활엽관목으로 일본, 사할린, 중국 동북부, 시베리아 동부 등지에 주로 분포하며 민간에서 열매와 뿌리줄 기는 방광염, 위장장애, 진통제 등의 약용으로, 뿌리껍질은 황 색염료제로 사용되었다. Shin 등 (1998)의 연구에 따르면 생열 귀나무의 잎과 열매는 뿌리/줄기에 비해 다량의 비타민 C와 β-carotene를 함유하고 있으며, 중국 민간에서는 비타민 C가 풍부한 생열귀나무 열매를 강장음료의 소재로도 활용하고 있 다 (Kuang et al., 1989). 또한, 생열귀나무 뿌리의 메탄올 추 출물은 항산화 효과, LDL지질 산화 방지 효과 및 간 보호작 용을 가지는 것으로 보고되었다 (Shin et al., 1998; Park et al., 2003; Sa et al., 2004). 본 연구에서는 생열귀나무 잎이 천연물 기능성 소재로 활용이 가능한지를 알아보기 위해 에탄 올을 이용한 추출물 및 용매 극성에 따른 분획물을 제조하여 polyphenol 함량과 항산화 및 항염 활성을 분석하였다.
재료 및 방법
1. 추출물 및 분획물 제조
생열귀나무 잎 분말은 강원도 정선 소재의 생열귀 영농조합 법인에서 구입하여 사용하였다. 생열귀나무 잎 분말 중량의 10배에 해당하는 80% 에탄올 용액을 가하여 24시간 침출한 후 2겹의 여과지 (Waterman filter paper #2)로 여과하여 불순 물을 제거하였고 위 과정을 3회 반복하였다. 회수된 80% 에탄 올 추출물은 회전식 진공농축기 (Rotary Vacuum Evaporator N-1110, Eyela, Tokyo, Japan)를 이용하여 38°C에서 감압 농 축한 후 동결건조기 (Freeze Dryer FD8512, ilshin BioBase, Yangju, Korea)로 건조한 다음, 무게를 측정하여 원료 시료에 대한 80% 에탄올 추출물의 수율을 계산하였다.
건조된 80% 에탄올 추출물은 H2O :에탄올(9 : 1)에 현탁
2. 총 폴리페놀 함량 측정
에탄올 추출물과 분획물에 Folin-ciocalteu’s phenol reagent (Sigma, St. Louis, MO, USA)를 넣어 실온에서 3분간 반응 한 후 2M Na2CO3용액을 혼합하여 암실에서 1시간 반응시킨 다음 ELISA reader (Epoch, BioTek, Winooski, VT, USA.) 를 사용하여 750nm에서 흡광도를 측정하였다. 표준물질로 tannic acid (Sigma, St. Louis, MO, USA)를 사용하여 총 폴리페놀의 함량을 계산하였다.
3. DPPH radical 소거능 측정
에탄올 추출물과 분획물에 200μg/mL 1,1-diphenyl-2- picrylhydrazyl (DPPH; Sigma, St. Louis, MO, USA) 용액 을 혼합한 후 암실에서 10분 반응시켜 517nm에서 흡광도를 측정하였다. 항산화 활성은 시료가 대조군의 흡광도를 50% 감 소시키는 농도 (IC50)로 표시하였다.
4. Superoxide dismutase (SOD) 유사활성 측정
다양한 농도로 희석한 에탄올 추출물과 분획물에 pyrogallol (Sigma, St. Louis, MO, USA)를 가하여 25°C에서 10분 반응 하였고 1N HCl 용액처리 후 산화된 pyrogallol의 양을 420nm에서 흡광도로 측정하였다. SOD 유사활성은 시료용액 의 첨가군과 무첨가군의 흡광도 감소율로 나타내었다.
5. 세포배양
RAW 264.7 마우스 대식세포는 한국세포주은행에서 분양 받 아 사용하였다. 세포는 10% fetal bovine serum (FBS; Gibco, Carlsbad, CA, USA)와 250 unit/mL penicillin/streptomycin (Sigma, St. Louis, MO, USA)이 함유된 Dulbecco’s Modified Eagle Medium (DMEM; Gibco, Carlsbad, CA, USA)을 사 용하여 37°C, 5% CO2조건에서 배양하였다.
6. Nitric Oxide 생성 측정
96 well plate (1 × 105 cells/well)에 분주된 세포에 에 탄올 추출물과 분획물을 1시간 전처리한 후 2μg/mL의 lipopolysaccharides (LPS)를 처리하였다. 24시간 배양 후 모은 상층액에 0.1% NED와 1% Sulfanilamid (Sigma, St. Louis, MO, USA)를 혼합한 Griess 용액 (Sigma, St. Louis, MO, USA)을 첨가하여 암실에서 10분간 반응시킨 후 이들의 발색 도를 540nm에서 측정하였고 sodium nitrate (Sigma, St. Louis, MO, USA)를 사용하여 표준곡선을 작성한 후 nitrite 함량을 산출하였다.
7. 세포 독성 평가
시료의 독성을 확인하기 위해 MTT 분석법을 수행하였다. 에탄올 추출물과 분획물을 처리하여 24시간 배양한 세포 (1 × 105 cells/well)에 0.2mg/mL 3-(4,5-dimethylthiazole-2-yl)- 2,5-diphenyl-terazolium bromide (MTT; Sigma, St. Louis, MO, USA) 용액을 첨가하여 3시간 반응시킨 후 배지를 모두 제거하였다. 생성된 formazan을 DMSO로 녹여 540nm에서 흡광도를 측정하였다.
8. 통계 처리
본 실험의 결과는 평균 ±표준편차로 표시하였으며, 통계처 리는 student’s t-test에 의해 p < 0.05인 경우 유의한 것으로 판정하였다.
결과 및 고찰
. 생열귀나무 잎 추출물과 분획물의 특성
생열귀나무 잎의 생리 활성능을 알아보기 위해 생열귀나무 잎 분말에 80% 에탄올을 가하여 추출한 다음 동결건조 후 얻 은 에탄올 추출물과 용매의 극성에 따라 헥산, 클로로포름, 에 틸아세테이트, 부탄올을 사용하여 얻은 분획물을 이용하였다. 생열귀나무 잎 분말에 대한 80% 에탄올 추출물의 수율은 33.39%로 나타났으며, 80% 에탄올 추출물에 대한 각 분획물 의 추출 수율은 헥산과 클로로포름과 같은 비극성 용매에서는 5.79%의 수율을 보였으며, 에틸 아세테이트와 부탄올, 수용성 분획물의 수율은 각각 18.70%, 25.15%, 36.55%로 나타났다 (Table 1). 분획물의 경우 용매의 극성이 증가할수록 추출 수 율이 증가하는 양상을 보였다. 생열귀나무 잎에서 메탄올을 이 용한 추출물의 수율 (21.7%)과 비교해 볼 때 (Kim et al., 2004), 에탄올 추출법이 메탄올 추출법에 비해 보다 효율적인 것을 알 수 있다.
Phenolic hydroxyl기를 가지는 페놀성 화합물인 폴리페놀은 활성산소를 제거하여 산화 방지 및 항염증, 항암, 항알레르기 등의 생리적 작용에 중요한 역할을 하는 것으로 알려져 있다 (Lee, 1993; Omata et al., 2001, Sivaranjani et al., 2013). 따라서 생열귀나무 잎에 함유된 총 폴리페놀 함량을 분석한 결과, 에틸아세테이트 분획물에서 661.38mg/g으로 가장 높은 폴리페놀 함유량을 보였고, 다음으로 부탄올 분획물 369.68mg/ g, 에탄올 추출물 239.54mg/g, 수용성 분획물 114.82mg/g 및 클로로포름 분획물 57.69mg/g의 순으로 나타났으며 헥산 분획 물에서는 폴리페놀 성분이 검출되지 않았다 (Table 2). 이는 생열귀나무 잎의 경우 헥산 분획물을 제외한 나머지 분획물 및 추출물에서 높은 함량의 폴리페놀을 함유하고 있어 뛰어난 활성산소 제거 능력을 나타낼 것으로 추측된다.
2. 생열귀나무 잎 추출물과 분획물의 항산화 효과
높은 함량의 폴리페놀은 강력한 항산화 활성을 가지는 것으 로 알려져 있으므로 DPPH radical 소거법과 SOD 유사 활성 도를 측정하여 생열귀나무 잎의 항산화 효과를 분석하였다. Table 3에서와 같이 DPPH radical 소거법에 의한 항산화 활 성은 에틸아세테이트 분획물 (IC50, 4.77μg/mL), 부탄올 분획 물 (IC50, 11.34μg/mL), 80% 에탄올 추출물 (IC50, 14.00μg/ mL) 순으로 높게 나타났으며 다량의 폴리페놀을 함유하고 있 는 에틸아세테이트 분획물에서 가장 높은 항산화 활성을 보 였다. 이는 Kim 등 (2004)이 보고한 생열귀나무 잎의 메탄올 추출물과 분획물의 황산화 활성 분포도와 유사한 경향을 나타 내었고 다른 식물 유래 추출물인 짝자래나무 (Rhamnus yoshinoi)의 에탄올 추출물 (IC50, 21.6μg/mL), 비쑥 추출물의 에틸아세테이트 분획 (IC50, 9.27μg/mL)과 비교하였을 경우 항 산화 효과가 훨씬 우수한 것으로 보여진다 (Yoon et al., 2006; Seo et al., 2010). 생열귀나무의 부위별 항산화 효과를 연구한 이전의 결과에 따르면 뿌리 (IC50, 2.9μg/mL) >줄기 (IC50, 3.9μg/mL) >잎 (IC50, 6.4μg/mL) >열매 (IC50, 13.9 μg/ mL) 메탄올 추출물 순으로 항산화 활성이 우수하였고 잎의 경 우 메탄올 추출물 (IC50, 6.4μg/mL)이 에탄올 추출물 (IC50, 11.5μg/mL)에 비해 효과가 좋은 것으로 보고되어져 있으나 (Sa et al., 2002) 기능성 소재로서의 활용이 가능한지를 알아 보기 위한 본 연구에서는 원료 수급의 원활함과 상업화 및 제 품화에 더욱 용이한 생열귀나무 잎의 에탄올 추출물 및 분획 물의 항산화 활성을 조사하였고 생열귀나무 잎의 메탄올 추출 물에 대한 에틸아세테이트 분획물의 황산화 활성 (IC50, 6.0μg/ mL)에 비해 높은 항산화 효과를 가지는 것을 확인 할 수 있 었다 (Kim et al., 2004).

IC50 of ethanol extract and its fractions of Rosa davurica leaves on DPPH radical scavenging activity.
Superoxide dismutase (SOD)는 대표적인 항산화 효소의 일 종으로 산화로 인해 형성된 유해한 산소 라디칼을 과산화수소 로 전환시키는 반응을 촉매하고 이를 다시 catalase에 의해 물 과 산소 분자로 전환시켜 활성 산소로부터 생체를 보호한다. SOD 활성을 가진 소재는 항염증 제재나 피부노화 방지를 위 한 화장품 첨가제 및 환경 스트레스에 대한 내성을 증가시킬 수 있는 효소로 사용될 수 있다. 그러나 열이나 pH 변화에 쉽게 불활성화되기 때문에 이러한 단점을 보완할 수 있는 천 연소재로서 안정적인 SOD 유사물질을 찾고자 하는 연구가 이 루어지고 있다 (Waker et al., 1987; Donnelly et al., 1989). Pyrogallol을 이용하여 free radical 및 과산화물의 소거 정도를 확인하는 SOD 유사활성을 측정 해 본 결과, 에탄올 추출물의 경우 50μg/mL 농도에서 7.93%의 활성을, 에틸아세테이트 분 획물의 경우 125μg/mL 농도에서 9.61%의 활성을 나타내었다 (Table 4). 이러한 수치는 비록 약한 SOD 유사활성도를 나타 내고 있으나 기존에 보고된 다수의 약용식물이 가지는 다양한 SOD 유사활성 범위와 각 분획물의 농도에 따른 범위와 비교 해 볼 때 일정 수준의 항산화 기능을 수행할 수 있을 것으 로 보여지며 (Lim et al., 2004; Yang et al., 2011) 이를 위 해 최적의 조건을 위한 지속적인 연구가 필요할 것으로 판단 된다. 이러한 결과는 에탄올 추출물과 에틸아세테이트 분획물 에서 관찰되어지는 다량의 폴리페놀 함량과 DPPH radical 소 거법에 의한 높은 항산화 활성과 더불어 항산화제로서의 개발 에 이용될 수 있을 것이라 생각된다.
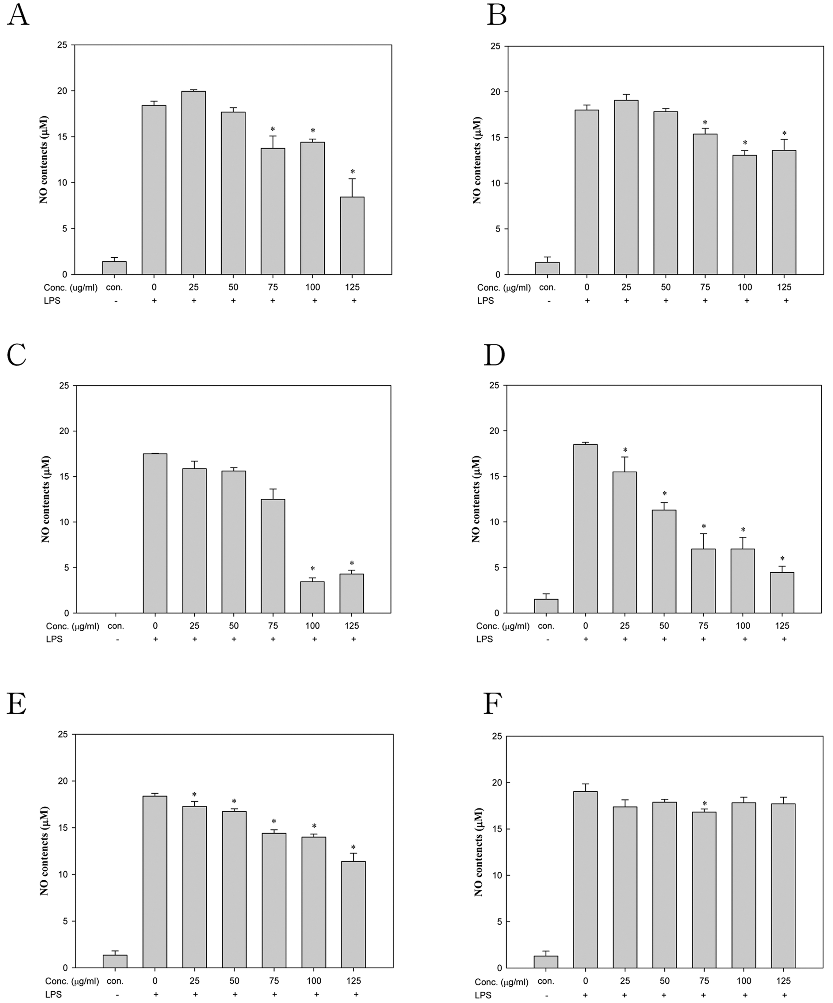
3. 생열귀나무 잎 추출물과 분획물의 NO 생성 저해 효과
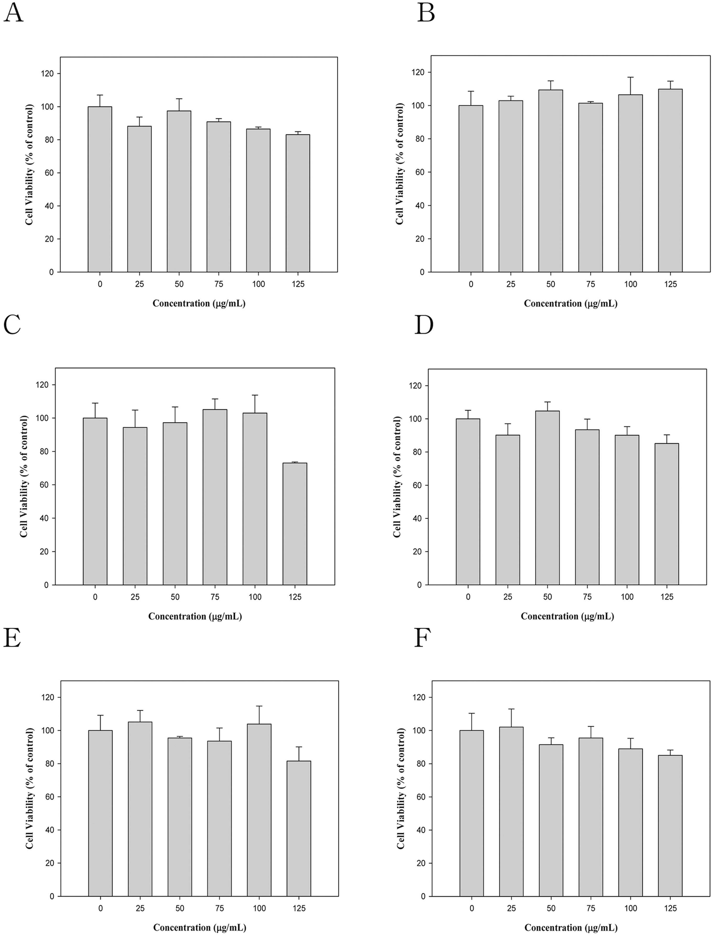
대식세포에서 염증 매개인자인 Nitric oxide (NO)나 Prostaglandin E2 (PGE2)가 과잉으로 축적되면 산화적 스트레 스로 작용하여 염증반응 및 세포 손상을 유발한다 (Omata et al., 2001; Chawla et al., 2011; Sivaranjani et al., 2013). 이러한 산화적 스트레스를 제거하기 위해서는 항산화 뿐만 아 니라 항염 효과 또한 중요하다. 따라서, 생열귀나무 잎의 항염 활성을 확인하기 위해 lipopolysaccharide (LPS)로 자극을 유 도한 Raw 264.7 세포를 이용하여 NO의 생성에 미치는 효과 를 분석하였다. 먼저, 에탄올 추출물과 분획물의 세포독성을 확인하기 위해 MTT assay를 수행한 결과, 세포의 생존율에 별다른 영향을 미치지 않았다 (Fig. 1). Raw 264.7 세포에 염증 유발 인자인 LPS를 처리하면 iNOS와 cyclooxygenase-2 (COX-2)의 발현을 유도하여 NO 생성 및 사이토카인 분비량 이 증가되어 과민성 염증반응을 조절하게 된다. 따라서, NO 생성양에 따른 변화는 LPS로 자극한 RAW 264.7 세포에 에 탄올 추출물과 분획물을 농도별로 전처리한 후 24시간 반응으 로 얻어진 배양액에 존재하는 NO2–의 형태를 측정하여 항염 활성을 조사하였다 (Fig. 2).
Effect of 80% ethanol extract and its organic solvent fractions of Rosa davurica leaves on cell viability in RAW 264.7 cells.Data represent the means ± SD of six independent experiments performed in triplicate. A; 80% Ethanol extract, B; Hexane fraction, C; Chloroform fraction, D; Ethyacetate fraction, E; Butanol fraction, F; Aqueous fraction.
Effect of 80% ethanol extract and its organic solvent fractions of Rosa davurica leaves on LPS-stimulated NO production.Data represent the means ± SD of six independent experiments performed in triplicate. A; 80% Ethanol extract, B; Hexane fraction, C; Chloroform fraction, D; Ethylacetate fraction, E; Butanol fraction, F; Aqueous fraction. *p < 0.05 vs LPS-treated cells.
그 결과 수용성 분획물을 제외한 나머지 시료에서 농도 의 존적으로 NO 생성 억제 효과를 관찰할 수 있었다. 특히, 뛰 어난 항산화 효과를 보였던 에틸아세테이트 분획물의 경우, 높 은 NO 생성 저해능을 보여줌으로써 염증반응에 대한 강한 방 어력을 가지고 있음을 확인하였다.
이상의 결과를 종합해 볼 때 생열귀나무 잎의 에탄올 추출 물과 분획물은 항산화 및 항염 효과를 가지며 에틸아세테이트 분획물에서 보다 높은 항산화력 및 항염활성을 나타내었다. 이 는 향후 약용식물인 생열귀나무가 생리활성을 보유한 기능성 소재로 다양하게 활용될 수 있음을 시사한다.
감사의 글
이 논문은 2011년도 제주대학교 학술연구지원사업에 의하여 수행된 연구 결과로 이에 감사 드립니다.
REFERENCES
-
Bickers, DR, Athar, M, Oxidative stress in the pathogenesis of skin disease, Journal of Investigative Dermatology, (2006), 126, p2565-2575.
[https://doi.org/10.1038/sj.jid.5700340]
-
Cencioni, C, Spallotta, F, Martelli, F, Valente, S, Mai, A, Gaetano, C, Oxidative stress and epigenetic regulation in ageing and age-related diseases, International Journal of Molecular Sciences, (2013), 14, p17643-17663.
[https://doi.org/10.3390/ijms140917643]
- Chawla, A, Nguyen, KD, Goh, Y, Macrophagemediated inflammation in metabolic disease, Nature Reviews Immunology, (2011), 11, p738-749.
-
Choi, KH, Nam, HH, Choo, BK, Effect of five Korean native Taraxacum on antioxidant activity and nitric oxide production inhibitory activity, Korean Journal of Medicinal Crop Science, (2013), 21, p191-196.
[https://doi.org/10.7783/kjmcs.2013.21.3.191]
- Donnelly, JK, McLellan, KM, Walker, JK, Robinson, DS, Superoxide dismutase in food, Food Chemistry, (1989), 33, p243-270.
-
Feskanich, D, Ziegler, RG, Michaud, DS, Giovannucci, EL, Speizer, FE, Willett, WC, Colditz, GA, Prospective study of fruit and vegitable consumption and risk of lung cancer among men and women, Journal of National Cancer Institute, (2000), 92, p1812-1823.
[https://doi.org/10.1093/jnci/92.22.1812]
-
Fisher, GJ, Kang, S, Varani, J, Bata-Csorgo, Z, Wan, Y, Datta, S, Voorhees, JJ, Mechanisms of photoaging and chronological skin aging, Archives of Dermatology, (2002), 138, p1462-1470.
[https://doi.org/10.1001/archderm.138.11.1462]
- Im, DY, Lee, KI, Antioxidant activity and tyrosinase inhibition effect of ethanol extract and its fractions from the branch ofRhododendron schlippenbachii, Korean Journal of Medicinal Crop Science, (2013), 21, p439-443.
-
Khansari, N, Shakiba, Y, Mahmoudi, M, Chronic inflammation and oxidative stress as a major cause of agerelated diseases and cancer, Recent Patient on Inflammation & Allergy Drug Discovery, (2009), 3, p73-80.
[https://doi.org/10.2174/187221309787158371]
- Kim, JB, Cui, CB, Lee, DS, Ham, SS, Studies on the composition and antioxidative effect of leaves from KoreanRosa davuricaPall, Korean Journal of Food Preservation, (2004), 11, p106-110.
- Kim, JY, Kim, SY, Kwon, HM, Kim, CH, Lee, SJ, Park, SC, Kim, KH, Comparison of antioxidant and antiinflammatory activity on chestnut, chestnut shell and leaves ofCastanea crenataextracts, Korean Journal of Medicinal Crop Science, (2014), 22, p8-16.
-
Kim, TH, You, JK, Kim, JM, Baek, JM, Kim, HS, Park, JH, Choe, M, Antioxidant and whitening effects of Sorbus commixta HEDL cortex extract, Journal of the Korean Society of Food Science and Nutrition, (2010), 39, p1418-1424.
[https://doi.org/10.3746/jkfn.2010.39.10.1418]
- Kuang, H, Kasai, R, Ohtani, K, Liu, Z, Yuan, C, Tanaka, O, Chemical constituents of pericarps ofRosa davurica, a traditional Chinese medicine, Chemical Pharmaceutical Bulletin, (1989), 37, p2232-2233.
- Lee, JH, New beneficial crops amaranth and quinoa for food nutritional source, Food Industry and Nutrition, (2007), 12, p29-36.
- Lee, KY, Antioxidant effects of phenolic compounds isolated from defatted perilla seed flour, Korean Journal of Food Science and Technology, (1993), 25, p9-14.
- Lee, YC, Son, JY, Kim, KT, Kim, SS, Antioxidant activity of solvent extract isolated from barley leaves, Korean Journal of Food & Nutrition, (1994), 7, p332-337.
- Lee, YM, Kim, DI, Lee, SH, Cho, SM, Chun, HK, Investigation of DPPH radical scavenging and prolylendopeptidase inhibitory activities of plant extracts, The Korean Journal of Community Living Science, (2005), 16, p95-102.
- Lim, JD, Yu, CY, Kim, MJ, Yun, SJ, Lee, SJ, Kim, NY, Chung, IM, Comparision of SOD activity and phenolic compound contents in various Korean medicine plants, Korean Journal of Medicinal Crop Science, (2004), 12, p191-202.
-
Omata, N, Tsukahara, H, Ito, S, Ohshima, Y, Yasutomi, M, Yamada, A, Jiang, M, Hiraoka, M, Nambu, M, Deguchi, Y, Mayumi, M, Increased oxidative stress in childhood atopic dermatitis, Life Science, (2001), 69, p223-228.
[https://doi.org/10.1016/s0024-3205(01)01124-9]
- Park, JC, Hur, JM, Hwang, YH, Choi, MR, Kim, SN, Choi, JW, Hepatoprotective activities ofRosa davuricaroot extract in rat intoxicated with bromobenzene, Journal of Life Science, (2003), 13, p230-235.
- Sa, JH, Lee, W, Shin, IC, Jeong, KJ, Shim, TH, Oh, HS, Kim, YJ, Cheung, EH, Kim, GG, Choi, DS, Antioxidant effects ofRosa davuricaPall extract on oxidant of human low density lipoprotein, Korean Journal of Food Science and Technology, (2004), 36, p311-316.
- Sa, JH, Lee, W, Shin, IC, Jeong, KJ, Shim, TH, Oh, HS, Park, SK, Cheung, EH, Kim, SN, Kim, GG, Choi, DS, Kwon, YS, Kim, CM, Catechin contents and antioxidative effect fromRosa davuricaPall, Korean Journal of Pharmacognosy, (2002), 33, p177-181.
- Seo, EJ, Hong, ES, Choi, MH, Kim, KS, Lee, SJ, Antioxidant and skin whitening effects of Rhamnus yoshinoi extracts, Korean Journal of Food Science and Technology, (2010), 42, p750-754.
- Shin, KH, Lim, SS, Lee, SH, Seo, JS, Yu, CY, Park, CK, Vitamin contents inRosa davuricaPall, Korean Journal of Medicinal Crop Science, (1998), 6, p6-10.
- Sivaranjani, N, Rao, SV, Rajeev, G, Role of reactive oxygen species and antioxidants in atopic dermatitis, Journal of Clinical and Diagnostic Research, (2013), 7, p2683-2685.
-
Walker, JL, McLellan, KM, Robinson, DS, Heat stability of superoxide dismutase in cabbage, Food Chemistry, (1987), 23, p245-256.
[https://doi.org/10.1016/0308-8146(87)90112-9]
-
Yang, HJ, Park, MJ, Lee, HS, Antioxidative activities and components ofGardenia jasminoides, Korean Journal of Food Science and Technology, (2011), 43, p51-57.
[https://doi.org/10.9721/kjfst.2011.43.1.051]
- Yoo, ID, Kim, JP, Kim, WG, Yun, BS, Ryoo, IJ, Development of new natural antioxidants for cosmeceuticals, Journal of the Society Cosmetic Scientists Korea, (2005), 31, p349-357.
- Yoon, WJ, Lee, JA, Kim, JY, Oh, DJ, Anti-oxidant activities and anti-inflammatory effects onArtemisia scoparia, Korean Journal of Pharmacognosy, (2006), 37, p235-240.