
인삼 논재배 시 식물성 유기물 시용 수준에 따른 인삼 생육특성 및 생리장해 분석
© The Korean Society of Medicinal Crop Science
This is an Open-Access article distributed under the terms of the Creative Commons Attribution Non-Commercial License ( http://creativecommons.org/licenses/by-nc/3.0 ) which permits unrestricted non-commercial use, distribution, and reproduction in any medium, provided the original work is properly cited.
This study was carried out to investigate the difference of the content of soil chemical components and growth characteristics in six years old ginseng affected by application of decomposing plant residues in paddy-converted field. The results show that aerial parts of ginseng are no difference between press cake (PC) 200 ㎏/10a and control but subterranean parts of ginseng PC 200 ㎏/10a, especially quantity related root fresh weight and tap root diameter, are statically about 1.6 times heavier and about 1.2 times thicker than the ginseng control. Furthermore, the survival rate of PC 200 ㎏/10a is 67.1% rise significantly compare with the control 50.7%. But compared with the PC 200 ㎏/10a and the PC 400 ㎏/10a, ginseng root growth and survival rate of PC 400 ㎏/10a get worse and that increase physiological disorder occurrence rate than PC 200 ㎏/10a. Even though there are no significant differences between the ginseng of decomposing plant residues except press cake treatment and the ginseng of control in growth characteristics, it does tend to increase the survival rate and decrease the physiological disorder occurrence rate in most fertilizer treatment except for RSC 2 ton/10a, RSC 4 ton/ 10a and RH 4 kL/10a. Noted that EC is highly increased and exceeded 1.7 ds/m in RSC 2 ton/10a, RSC 4 ton/10a and RH 4kL/10a. It would be caused physiological disorder in many ways and affected ginseng growth characteristics, survival rate.
Keywords:
Korean Ginseng, Paddy-Converted Field, Decomposing Plant Residues, Ginseng Physiological Disorder, Press Cake서 언
인삼 (Panax ginseng C. A. Meyer)은 산형목 두릅나무과 (Araliaceae)에 속하는 다년생 약용작물로 4 ~ 6년 동안을 동일 한 위치에서 자라기에 일년생 작물에 비하여 토양의 이화학적 성질에 따른 영향을 더 많이 받는다 (Jin et al., 2009). 이 때문에, 인삼의 생리장해 발생 저하 및 수량증대를 위해서는 토양의 이화학적 성질을 변화시킬 필요가 있는데 (Lee et al., 2004), 예정지관리 시 적합한 유기질 투입과 적정 시비량 설 정으로 토양환경을 인삼생육에 알맞도록 변화시킬 수 있다 (Woo et al., 2004).
우리나라의 인삼 재배면적은 2000년 12,445ha였으나 2009 년 19,702ha로 약 1.6배 증가하였다 (MIFAFF, 2013). 그러나 2009년 이후 연작장해 회피를 위한 초작지 부족은 신규로 유 입되는 재배면적을 감소시켜 2012년에는 16,174ha에서 인삼 이 재배되고 있다. 이에 대한 해결책으로 연작장해를 극복하 기 위해 논을 밭으로 전환한 토양에 인삼을 재배하는 경작방 법 (Jo et al., 1996)이 점차 늘어나고 있다. 논에서는 인삼 뿌리썩음병원균의 기주 범위에 포함되지 않는 벼를 4 ~ 5년간 피해 없이 재배할 수 있을 뿐만 아니라 (Lee et al., 2004) 담수에 의해 인삼 연작장해의 주요 원인균인 Cylindrocarpon. destructans 등의 밀도가 감소하고 인삼생육을 억제하는 독소 물질이 희석되어 다시 인삼을 재배할 수 있기 때문이다 (Cho et al., 1995; Kang et al., 2007; Lee et al., 2007; Rahman et al., 2005). 또한, 인삼 논재배는 관행 밭재배와 비교하여 인삼의 수량성, 수삼등급비율 및 사포닌 함량에서도 차이가 없 는 것으로 보고되고 있어 논전환밭 인삼의 재배면적은 늘어날 전망이다 (Lee et al., 1995, 2004). 하지만, 논전환밭 토양은 밭토양과 달리 잦은 담수와 배수로 산화와 환원 상태가 반복 적으로 일어나는 한편 (Yoo et al., 1999; Fagan et al., 2006) 유기물 분해속도가 느려 인삼의 잎과 뿌리에 황증이나 적변 등의 생리장해를 발생시켜 수량과 품질을 떨어뜨릴 수 있다 (Park et al., 1982, 1994). 생리장해는 인삼 생육 중 수 분결핍 및 산화 스트레스 등에 의해 심할 경우 인삼을 고사시 킬 수 있으므로 (Lee et al., 2008) 기존 밭재배보다 예정지관 리 시 유기질비료 시용에 주의가 필요하다 (Hyun et al., 2009). 인삼 논재배 예정지관리 시 유기질비료로 화학성비료 와 같은 속효성 비료나 축분퇴비를 시용하게 되면 토양 내 EC와 무기염류 농도를 빠른 시일 내에 증가시켜 적은 시비량 에서도 쉽게 생리장해를 발생시킬 수 있기 때문이다 (Jang et al., 2013; Jin et al., 2009). 따라서, 생리장해에 취약한 인삼 논재배의 경우 그에 맞는 적합 유기질 비료 선택 및 적정 시 비량에 따른 연구가 필요하나 전무한 실정으로 대부분의 연구 가 밭재배 예정지관리 시 유기질 비료 시용에 따른 인삼의 수 량성에 관한 연구 (Lee et al., 2003)와 그에 따른 토양의 이 화학적 성질 (Lee et al., 1995; Ko et al., 1996)로 한정되어 있다.
본 연구는 인삼 논재배 예정지 관리 시 생리장해를 감소시 키고 한편 수량과 품질을 향상시킬 수 있는 적합한 유기물을 선발하고 이에 따른 적정 시용량을 설정하기 위해 인삼의 생 육특성과 생리장해를 분석하여 인삼 논재배 안정생산에 기여 하고자 수행하였다.
재료 및 방법
1. 유기물 처리
본 연구는 2006년까지 벼를 재배하던 논을 밭으로 전환한 농촌진흥청 국립원예특작과학원 인삼특작부 시험포장에서 2008 년부터 수행하였다. 시험 전 토양 분석결과 화학성이 양호하 여 수단그라스만 5월 3일에 파종하였다 (Table 1). 수단그라스 수확은 7월 15일에 하여 생고수량이 4,488㎏/10a이었다. 경운 과 로터리는 7월 20일부터 10월 30일까지 10일 간격으로 각 각 10회 실시하여 수단그라스를 부숙시켰다. 시중에서 구입한 식물성 유기물을 2008년 11월 5일에서 10일 사이에 난괴법 3 반복으로 처리하였고, 1처리구당 면적은 5.4 × 1.8 m로 하였다 (Table 2). 처리내용은 무처리구를 두고 볏짚퇴비 (1 ton/ 10a, 2 ton/10a, 4 ton/10a), 왕겨 (1 kL/10a, 2 kL/10a, 4 kL/ 10a), 왕겨숯 (1 kL/10a, 2 kL/10a, 4 kL/10a), 유박 (100㎏/10a, 200㎏/10a, 400㎏/10a)을 처리하였다. 1년생 자경종 묘삼을 2009년 3월 17일에서 30일 사이에 줄 간격은 20㎝로 하여 1줄에 7주씩 이식하였다. 해가림은 3월 23일에서 4월 11일 사 이에 설치하였고 polyethylene 4중직 차광망 (청3 +흑1)은 4 월 13일에서 4월 24일 사이에 설치하였다. 이후 병해충 방제, 잡초제거 및 기타관리는 인삼 GAP 표준재배지침서에 준하였다.
2. 토양화학성 분석 및 생육조사
토양시료는 처리구별로 약 10㎝ 깊이의 토양 다섯 곳에서 오거로 채취한 후 골고루 혼합하였다. 혼합된 토양시료는 상 온에서 건조 후 보관된 토양 시료를 이용하여 토양화학분석법 (NIAST, 2000) 에 따라 pH, EC, 유기물, 총질소, 유효태인산 및 치환성양이온을 3반복으로 분석하였다. pH와 EC는 초자전 극법, 총탄소 및 총질소 함량은 CN분석기 (Vario Max CN, Elementar Anal-ysenesysteme, Germany)를 이용하여 측정하 였으며 토양유기물 함량은 측정된 총 탄소함량을 이용하여 계산하였다. 유효인산함량은 Lancaster법으로 측정하였으며, 치환성 양이온함량은 1N NH4OAc (pH 7.0)으로 침출한 후 그 여과액을 ICP (Integra XL DUAL, GBC Scientific Equipment, Australia)를 이용하여 측정하였다. 인삼의 생육과 적변 및 은피와 관련된 생리장해 등은 농업과학기술 연구조사 분석기준에 준하여 한 구역 당 20개체씩 조사하였다.
3. 인삼 조사포닌 분석
6년근 인삼시료를 50℃에서 48시간동안 완전히 건조 후 마 쇄한 다음 80% methanol 50ml를 넣고 추출하였다. methanol 추출액을 농축 후 증류수 25ml와 ehter 25ml로 분리층을 만 든 다음 상부에 위치한 에테르층만 제거하였다. 물층에 수포 화 부탄올 50ml를 넣어 분리층이 생기면 물층을 제거 후 수 포화 부탄올 층을 다시 증류수 25ml을 첨가하여 흔들어 정 치하고 물층을 제거하였다. 수포화 부탄올을 감압농축기에 서 농축하여 조사포닌 함량을 계산하였다. 계산은 다음과 같다.
W: 시료 무게 (g),
W1: 플라스크 무게 (g),
W2: 잔유물을 농축 후 건조시킨 플라스크 용기의 무게 (g)
4. 통계분석
식물성 유기물 시용 수준에 따른 논전환밭의 토양화학성, 인삼의 생육 및 생리장해에 대한 효과는 Duncan’s Multiple Range Test (DMRT)로 분석하였으며, SAS v9.2을 이용하여 수행하였다.
결과 및 고찰
1. 생육특성 및 생리장해 발생
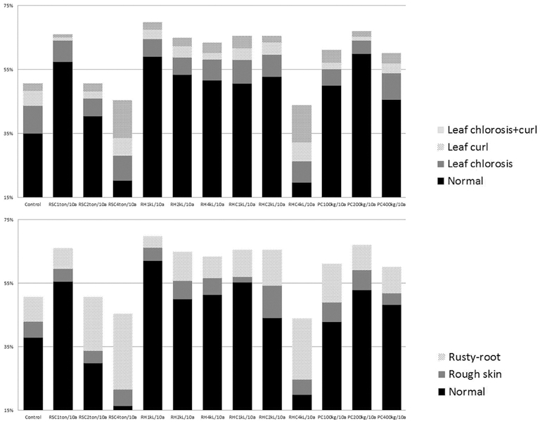
식물성 유기물 처리 및 시용량에 따른 인삼의 생육특성과 생리장해 발생은 Table 3 ~ 6 및 Fig. 1과 같다. Rice Straw Compost (RSC) 처리구 인삼의 생육특성은 유기물 시용량에 상관없이 무처리구와 비교하여 유의성 있는 차이를 발견할 수 없었고 오히려 1 ton/10a 처리구의 인삼에서는 무처리구에 비 해 근장이 짧은 경향이었다. 생존율은 RSC 1t on/10a에서 66.1%로 높았으나 시용량이 증가할수록 낮아져 4t on/10a에서 는 45.4%로 무처리구 인삼보다 낮은 생존율을 보였다. 인삼의 지상부와 지하부 생리장해 발생률 또한 RSC 4 ton/10a처리 시 엔 각각 25.1%와 27.8%로 무처리구에 비해 높아져 수량성 이 크게 감소하는 것으로 나타났다. 유독 RSC처리구 인삼의 생리장해 발생률이 높고 생존율이 낮은 원인은 타 처리구보다 적은 처리량에도 불구하고 처리 후 토양 내 염류농도가 높기 때문이라고 판단된다 (Table 7).
Rice Husks (RH) 처리구 인삼에서도 생육특성면에선 시용 량에 상관없이 유의성 있는 차이를 발견할 수 없었고, 단지 2 kL/10a 처리 시에만 인삼의 지상부 생육이 불량하였다. 생존 율은 1 kL/10a가 69.8%인 등 전반적으로 높았으나 이 역시도 처리량이 증가할수록 조금씩 감소하는 추세를 보였다. 생리장 해 발생률은 RH 2 kL/10a에서만 지하부가 16%로 약간 높았 을 뿐 시용량에 따른 큰 차이가 없었다. RHC에서는 2 kL/10a 시용 시 근장과 동직경이 작았고, 4 kL/10a 시용 시엔 지상 부 생육이 불량하고 동직경이 작았다. 생존율은 1 kL/10a와 2 kL/10a 둘 다 65.6%로 높은 생존율을 보였으나, 4 kL/10a 처리에선 급격히 떨어져 43.9%에 불과하였다. 생리장해 발생 률 또한 1 kL/10a와 2 kL/10a에선 높지 않았으나 4 kL/10a에 선 지상부와 지하부 각각 24.5%, 24%로 높았다.
Press Cake (PC) 200㎏/10a 시용 시 지상부 생육은 무처 리구와 차이가 없었으나, 지하부 특히, 동직경과 생체중에서는 유의성 있는 차이로 수량과 관련된 요인이 증가하는 것을 확 인할 수 있었다. 생존율도 67.1%로 무처리구 50.7%보다 높아 인삼의 수량성이 크게 증가하였다. 하지만, 400㎏/10a 시용의 경우엔 뿌리생육이 200㎏/10a 시용 인삼보다 불량하고 생존 율도 60.2%로 낮아졌다 (Fig. 2). 이는 2008년 처리 후 토양 내 염류농도가 200㎏/10a과 400㎏/10a에서 큰 차이를 보이 지 않았으나 2013년에는 각 0.80 dS/m, 1.35 dS/m로 해가 지 남에 따라 염류농도에 차이가 발생하기 때문으로 판단된다.
엽연형 +갈색 반점형 황증이 중복으로 발생한 인삼의 생리 장해 발생비율을 보면 EC와 P2O5이 과다하기 때문에 발생하 는 엽연형의 경우 RHC 4 kL/10a > RSC 4 ton/10a > Control 순이었으며 환원상태에서 NO3− 과다 시 Fe+2 조장으로 발생하 는 갈색 반점형 황증의 경우 RSC 4 ton/10a > RHC 4 kL/ 10a > Control 순이었다 (Fig. 1). 건조한 강산성 토양에서 많이 발생하는 은피의 경우 RSC 4 ton/10a > RHC 4 kL/ 10a > RSC 2 ton/10a 순이었고, 염류농도가 과다한 포장에서 발생하는 적변삼의 경우 (Lee et al., 2007)는 RHC 2kL/ 10a > RH 2 kL/10a > RSC 4 ton/10a 순이었다 (RDA 2009).
모든 식물성 유기물 처리구에서 시용량이 일정수준을 넘어 서면 인삼의 생존율이 낮아지고 생육이 불량한데는 인삼에서 의 생리장해 발생 때문이며 (Jang et al., 2013; Jin et al., 2009), 인삼 논재배 예정지관리 시 유기물 선발뿐만 아니라 그 에 따른 시용량도 인삼생육에 중요함을 알 수 있다.
2. 토양 이화학성 및 인삼 조사포닌 함량
2008년 처리구별 식물성유기물 시용 후 토양의 이화학성을 분석한 결과, EC 등의 무기염류는 처리에 따른 시용량이 증 가함에 따라 증가하였으며 증가폭은 RSC 처리구가 다른 식 물성유기물 처리구에 비해 더 컸다 (Table 7). 이는 시용 된 RSC의 무기화 비율이 보다 높았기 때문으로 판단된다 (Table 2). 하지만, NO3에선 PC의 T-N율이 높아 RSC처리구 보다 시용량에 따른 증가폭이 보다 컸다. pH는 무처리구를 포 함한 모든 처리구에서 5.6-6.3의 약간 높은 범위에 있었으며 처리량에 큰 영향을 받지 않았다. 인삼을 심고 횟수로 6년째 되는 2013년 처리구별 식물성유기물 시용 후 토양의 이화학 성을 보면, 2008년에 비해 모든 처리구에서 EC를 포함한 무 기염류가 높아졌는데 이는 수단그라스와 투입된 식물성유기물 이 논전환밭 토양에서 부숙 되었기 때문인 것으로 보인다. 특 히 2013년 EC를 보면, 생존율이 낮고 인삼 지상부와 지하부 생리장해 발생률이 높은 RSC 4 ton/10a와 RHC 4 kL/10a 처 리구에서 모두 1.70 이상의 높은 수치를 보인 것으로 보아 예 정지관리 초기에 토양화학성 분석으로 인삼재배에 적합한 지 역으로 판정이 나도 투입된 유기물 종류와 그 양에 따라 토양 의 화학성이 변화되어 인삼에 생리장해를 유발시킬 수 있다 는 것을 의미한다.
식물성유기물 처리에 따른 인삼 조사포닌 함량은 무처리구 가 86.48㎎• g−1로 모든 식물성유기물 처리구 인삼의 조사포 닌 함량과 비교하여 유의성 있는 차이를 발견할 수 없었다. 이는 인삼의 조사포닌 함량은 토양 상태와 논과 밭 간에 큰 차이가 없거나 비슷하다고 한 기존의 연구 결과 (Lee et al., 2009)와 유사하였으며, 인삼 논재배 시 식물성유기물을 처리 하여도 인삼 조사포닌 함량변화에 큰 영향을 끼치지 않을 것 으로 생각된다 (Table 8).
감사의 글
본 연구는 농촌진흥청에서 주관하는 유기물퇴비 종류별 생 리장해 조사(과제번호: PJ00860501) 연구비 지원으로 수행된 결과로 이에 감사드립니다.
REFERENCES
- Cho, DH, Park, KJ, Yu, YH, Oh, SH, Lee, HS, Rootrot development of 2-year old ginseng(Panax ginsengC. A. Meyer) caused byCylindrocarpon destructans(Zinssm.) Scholten in the continuous cultivation field, Journal of Ginseng Research, (1995), 19, p175-180.
-
Fagan, LL, Didham, RK, Winchester, NN, Behan-Pelletier, V, Clayton, M, Lindquist, E, Ring, RA, An experimental assessment of biodiversity and species turnover in terrestrial vs canopy leaf litter, Oecologia, (2006), 147, p335-347.
[https://doi.org/10.1007/s00442-005-0262-6]
- National Institute of Agricultural Science and Technology (NIAST), Methods of soil chemical analysis. National Institute of Agricultural Science and Technology, Rural Development Administration. Suwon. Korea, (2000), p103-130.
- Hyun, DY, Yeon, BY, Lee, SW, Kang, SW, Hyun, GS, Jin, YC, Kim, UJ, Yang, C, Effect of nutritional environment in ginseng field on the plant growth of ginseng(Panax ginsengC. A. Meyer), Journal of Ginseng Research, (2009), 33, p234-239.
-
Jang, IB, Hyun, DY, Lee, SW, Kim, YC, Kim, JU, Park, GC, Bang, KH, Kim, GH, Analysis of growth characteristics and physiological disorder of Korean ginseng affected by application of manure in paddy-converted field, Korean Journal of Medicinal Crop Science, (2013), 21, p380-387.
[https://doi.org/10.7783/kjmcs.2013.21.5.380]
- Jin, HO, Kim, UJ, Yang, DC, Effect of nutritional environment in ginseng field on the plant growth of ginseng(Panax ginsengC. A. Meyer), Journal of Ginseng Research, (2009), 33, p234-239.
- Jo, JS, Kim, CS, Won, JY, Crop rotation of the Korean ginseng(Panax ginsengC. A. Meyer) and the rice in paddy field, Korean Journal of Medicinal Crop Science, (1996), 4, p19-26.
- Kang, SW, Yeon, BY, Hyeon, GS, Bae, YS, Lee, SW, Seong, NS, Changes of soil chemical properties and root injury ratio by progress years of post-harvest in continuous cropping soils of ginseng, Korean Journal of Medicinal Crop Science, (2007), 15, p157-161.
- Ko, SR, Choi, KJ, Kim, HK, Han, KW, Comparison of proximate composition, mineral nutrient, amino acid and free sugar contents of several Panax species, Journal of Ginseng Research, (1996), 20, p36-41.
- Korea Tobacco and Ginseng(KT&G), Annual report of ginseng-culture part. KT&G. Daejeon, Korea, (1997), p36-38.
- Lee, GS, Lee, SS, Chung, JD, Effect of several kinds of composts on root yield of ginseng seedling, Journal of Ginseng Research, (2003), 27, p32-36.
- Lee, IH, Kim, MS, Park, CS, Byen, JS, Oh, SH, Studies on the ginseng cultivated in paddy field, Ginseng Research Annual Report, (1995), p299-317.
- Lee, JC, Byen, JS, Ahn, DJ, Ho, JS, Effect of physical properties of soil on ginseng seedling growth in nursery bed, Journal of Ginseng Research, (1995), 19, p287-290.
- Lee, SW, Kang, SW, Kim, DY, Seong, NS, Park, HW, Comparison of growth characteristics and compounds of ginseng cultivated by paddy and upland cultivation, Korean Journal of Medicinal Crop Science, (2004), 12, p10-16.
- Lee, SW, Kang, SW, Seong, NS, Hyun, GS, Hyun, DY, Kim, YC, Cha, SW, Variation of growth characteristic and quality of ginseng(Panax ginsengC. A. Meyer) grown under upland and paddy field. Korean, Korean Journal of Medicinal Crop Science, (2004), 49, p389-393.
- Lee, SW, Kim, CG, Hyun, DY, Yeon, BY, Lee, KW, Cha, SW, Effect of light transmission ratio and soil moisture content on growth characteristics of seedling inPanax ginsengC. A. Meyer, Korean Journal of Medicinal Crop Science, (2008), 16, p207-210.
- Lee, SW, Kim, GS, Hyun, DY, Yeon, BY, Kang, SW, Kim, YC, Comparison of growth characteristics and ginsenoside contents of 3-year-old ginseng(Panax ginsengC. A. Meyer) by drainage class and shade material in paddy soil, Korean Journal of Medicinal Crop Science, (2009), 54, p390-396.
- Lee, SW, Yeon, BY, Hyun, DY, Hyun, GS, Park, CG, Kim, TS, Cha, SW, Effect of compost application level on seedling growth ofPanax ginsengC. A. Meyer. Korean, Korean Journal of Medicinal Crop Science, (2007), 15, p138-141.
- Ministry of Agriculture, Food and Rural Affairs(MAFRA), Statistical source book of ginseng 2012, Ministry of Agriculture, Food and Rural Affairs. Sejong, Korea, (2013), p2-3.
- Park, BG, Jeon, TH, Kim, YH, Ho, QS, Status of farmers' application rates of chemical fertilizer and farm manure for major crops, Journal of Korean Society of Soil Science and Fertilizer, (1994), 27, p238-246.
- Park, HS, Mok, K, Kim, KS, Relationship between soil moisture, organic matter and plant growth in ginseng plantation, Journal of Korean Society of Soil Science and Fertilizer, (1982), 15, p156-161.
-
Rahman, M, Punja, ZK, Factors influencing development of root rot on ginseng caused byCylindrocarpon destructans, Phytopathology, (2005), 95, p1381-1390.
[https://doi.org/10.1094/phyto-95-1381]
- Rural Development Administration(RDA), Ginseng cultivation standard farming textbook, (2009), (2nd ed.), Suwon, Korea, Development Administration, p31-37.
- Woo, SY, Lee, DS, Kim, PG, Growth and ecophysiological characteristics ofPanax ginsenggrown under three different forest type, Journal of Plant Biology, (2004), 473, p230-235.
- Yoo, SH, Choi, WJ, Han, GH, An investigation of the sources of nitrate contamination in the Kyonggi province groundwater by isotope ratios analysis of nitrogen, Korean Journal of Soil Science and Fertilizer, (1999), 32, p47-56.

